The East Carolinian, August 23, 1988


[This text is machine generated and may contain errors.]





FEATURES
Micah Harris reviews the remake of a classic Grade
B flick, "The Blob7 see page 29
SPORTS
Art Baker is interviewed, and discusses the upconv
ng football season, see page 43
She i?ust Carolinian
Vol.63 No. 12
Tuesday, August 23,1988
Serving the East Carolina campus community since 1925.
Greenville, NC
54 Pages
Circulation 15,000
Pirate Walk to resume in October
Bv TAMMY AYCOCK
Sufi Writer
This fall the SGA, in coopera-
tion with the SRA, plans to rein-
state Tirate Walk under the lead-
ership oi Kelly Jones, SGA vice-
president.
Tirate Walk is an escort sen ice
which provides walking coom-
panions for female students on
campus after dark.
In regard to the operation ot
Tirate Walk, Jones says that her
start date tor the program to go
into effect is October 1. Escorts
will be available from the time it
becomes dark outside until 12:30
am. The cut-off time for walks will
be extended 30 minutes later than
in the past to respond to the ru-
mors that unreported rapes have
occurred behind Joyncr Library
J J J
which closes at 12:00 am.
Also, unlike past years, Jones
has appointed two co-directors,
Barbara Froio and Ami Banncr-
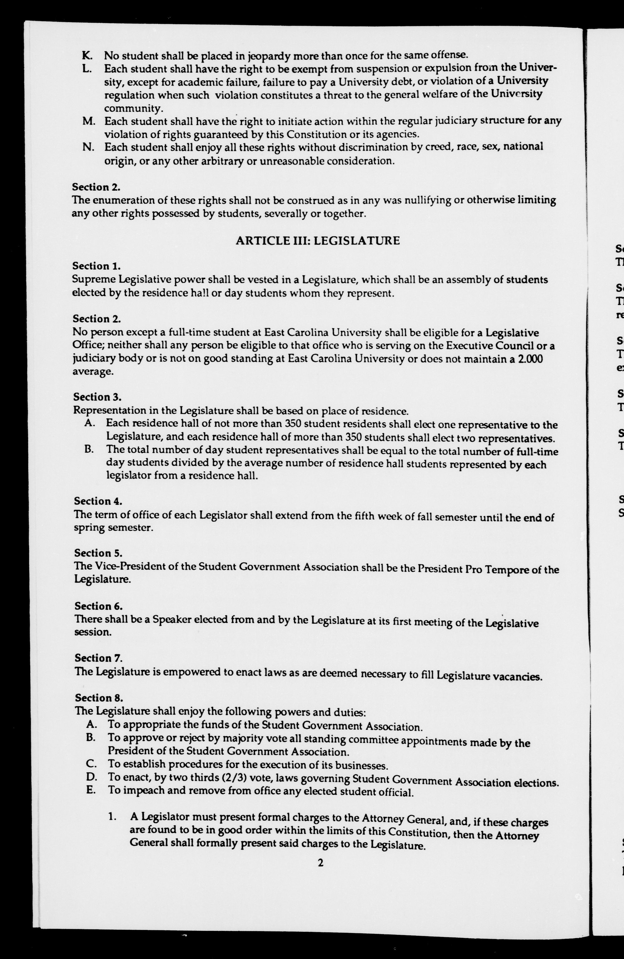
A 20 year eatiing institution in Greenville sucumbs to progress.
The building is to be flattened, and coondos will take its place.
(Photo TOM WALTERS)
The price of parking climbs
man, as opposed to a director and
assistant director.
"I thought that would make it
easier on both of them because it
was defined what the director
and assistant director did. But the
director alwaysended up with the
brunt of the work; I just made
them co-directors and split the
salary that would have been given
to the assistant director and the
director fifty-fifty said Jones.
Another departure from the
past which Jones strongly empha-
sizes is the fact that this will be the
first year that Tirate Walk has had
female directors. Jones said,
"Females are the one who are
going to use it so I feel that a girl
would know what kind of walk-
ers she would like to have or what
we could do to make the program
better so it would be more attrac-
tive to other females
In addition to the co-directors,
Jones has selected Mandy Mar-
lowe to serve as the seeretarv
treasurer of Tirate Walk. Trcs-
ently, no funds have been appro-
piated to pay for this position, but
Jones intends to request money
for this purpose. Not onlv will
Mariow have traditional duties
such as keeping track of money,
but she will also be responsible tor
recordii-k information such as:
how many walks were taken each
night, points of departuredesti-
nation, and suggestions for im-
provement. Jones went on to say
that this is a crucial position for
statistical purposes.
As for the walkers and the op-
erators, they will be on a strictly
voluntary basis. Larry Murphy,
SGA president and the most re-
cent director of Tirate Walk, feels
that there is a possibility that Ti-
rate Walk will encounter opposi-
tion if it is heavily funded.
Ele said "Troblcms come when
the girls don't use it. Last year we
had plenty of walkers, plenty of
operators, it just was not being
used Murphy, who is also in
support of using volunteers said
that many honor societies require
that their members provide vol-
unteer services.
In the past, Murphy estimates
that they usually had 10 to 15
operators and 20 to 25 walkers.
The walkers are always screened
to ensure the safety of the callers,
and all volunteers work shifts of
two to three hours.
The way that the program
works is that they have a central
station which receives phone
calls. The operators contact the
walker which is closest to the
caller. Usually, the waiting period
for the caller docs not exceed 10 to
15 minutes because the walkers
arc strategically stationed on Col-
lege Hill, West Campus, Central
Campus, etc.
One of the major problems fac-
ing the staff and organizers of
Tirate Walk is where the central
station of operation will be lo-
cated. In the past, Mendcnhall has
been used, but Murphy said, "it
might be in the Erwin Building.
With the reconstruction of Men-
dcnhall, we are jamming three or
four people into an office An-
other idea mentioned by Jones is
"We are thinking about having
two locations, one out of Mendcn-
hall and one out of the library
itself Jones said, "A lot of times
people just forget that it exists
unless they see it sitting right
there. It would be more accessible
to people if it was right there. I'm
not sure exactly how that would
work
Even though the plans for Tirate
Walk are still incomplete, the SGA
(and SRA) are getting an earlier
start than did last fall. Jones has
already selected two co-directors.
The program, like last year, is
scheduled to begin in October,
but Jones said, "AI don't want to
start Tirate Walk when it's still
kind of up in the air. I want every-
thing to be planned and organ-
ized. So, my goal date to start
operation is October 1. I think
everything should be set to go by
then
During the SGA elections last
spring, Tirate Walk and its recent
failure was a major campaign is-
sue. Both Murphy and Jones in-
cluded its reinstatement as part of
their campaign platform.
When questioned on why Ti-
rate Walk folded last semester,
Murphy commented, "I resigned
at the end of fall ? and it never
started back up, the SGA vice-
president is in charge of it, it's one
of his duties
Jones answered a similar ques-
tion saying, "The director had to
step down and another qualified
director was never found so
things kept going downhill and
organization got really badit is
always the vice-president of Stu-
dent Government's job to ensure
that it is in working order.
See PIRATE, page 2
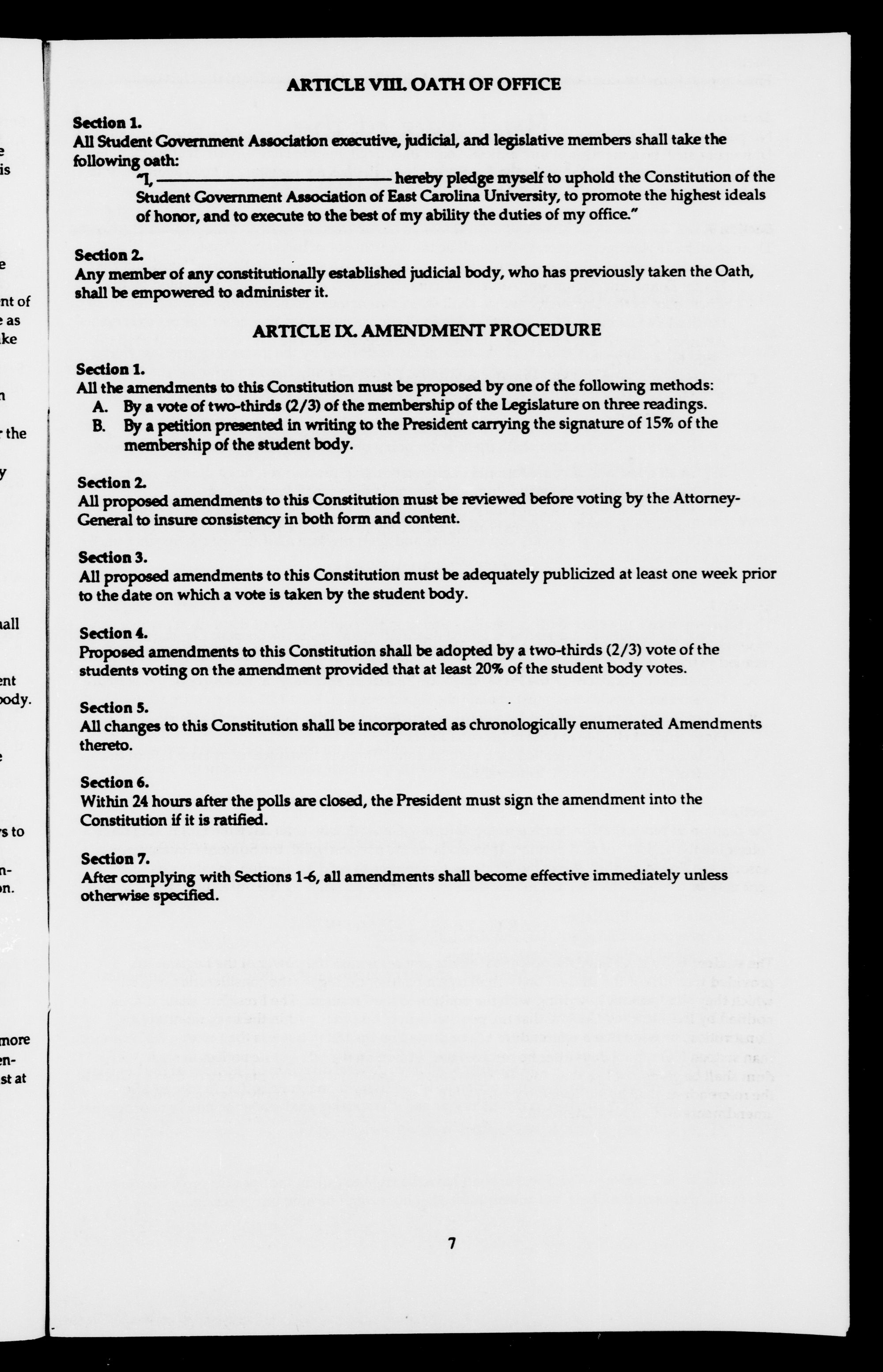
Since the long distance service is not in operation yet, dormotory students are forced to find other
means to call home. (Photo TOM WALTERS)
By JOE HARRIS
News Editor
The price of all parking stickers
has gone up due to the lack of
parking spaces on campus.
Trices rose to $50 for all stickers.
The most dramtic increase is tor
freshman parking, where price
jumped from SI 2 to $50. Reserved
parking prices went from $120 to
$150and temporary parking priv-
iledges will increase also.
The increase according to
Clifton Moore, Vice Chancellor of
Business Affairs is to provide
money to pay back intereset on a
loan tor the development ot 950
new spaces.
"We hope to raise around
$183,000 this year with the in-
creased price. With this money
we'll pay back interest on a loan
tor nearly $750,000 provided that
the prime rate stays around six or
seven percent
The money from the loan will be
used for the construction of 950
new parking spaces. College Hill
parking lot will receive 100 addi-
tional spaces and Minges Coli-
seum parking lot will be ex-
See PARKING, page 2
Appointments cut down on infirmary waiting time
By SEAN HERRING
Assistant N'ews Editor
There is no longer a need to be
frustrated about the long length of
time that is spent in the waiting
room of the ECU Student Health
Service. An appointment system is
in affect to eliminate the time it
takes students to see a physician or
health care provider.
Director of Nursing at the SHS
Dianne Marshburn said, "We (the
SHS) initiated the appointment
system in the Fall of 1987. We feel
as though it is important to make
the students aware ot the appoint-
ment system since it is a fairly new
practice According to Ms.
Marshburn there are several ad-
vantages to the appointment sys-
tem.
"Because so many students are
working jobs, as well as trying to
go to school full-time, the appoint-
ment system allows us to work
around their schedule she said.
"Some other advantages are the
decrease in the students waiting
time; which physician the student
would prefer; and what time of
T
day the student would like to
come. So, they have an opportu-
nity to have an input into their
health care, she said.
A small sample study of 290
visitors to the SHS was done by a
class in the ECU School of
Buisness. It shows that the visitor
waited 9.08 minutes after making
an appointment compared to
waiting 28.03 by walking in.
Even with making an appoint-
ment the survey shows that the
student usually has to wait a short
period of time.
'They (the students) do have to
wait a little while, because one
student might have a problem that
requires more time than antici-
pated, which conflicts with the
next persons appointment. But,
we try to keep it within a few
minutes of the scheduled appoint-
ment said Ms. Marshburn.
Even though appointments can
be made at the infirmary, students
still have the option of walking in
without an appointment.
'The SHS still uses the other
system which we call the walk in
See APPOINTMENTS, page 2





t
T IE EAST CAROLINIAN
AUGUST 23, 1988
Car crashes kill eight
(AD? Traffic a i idents killed
eight people on North Carolina
roads this weekend, including
three people from South arolina
whose car skidded on a rain slick
road, the state Highway Patrol
reported.
lean Harps Grant, 36;
Evangeline Grant, 10; and? car
Davis, 65, all of Mullins, SO
were in a car th it skidded into the
path of anothei on U.S. 20 near
Asheboro in Randolph County on
Saturday night, the patrol said.
Thecai earn ing the Grants and
Davis was struck broadside All
three occupants were killed, re
ported a state trooper. Four other
people were also injured
In another accident, Jean Powell
Plurin of Camp I.ejeunc was
1 tiled about 7 p.m. Friday when
his motorcycle struck a car at a
stop sign on a rural road just south
of Jacksonville, trooper said.
At 2:20 pm Saturday, Brent Jef-
frey Howell, 20, of Pikeville, died
when his vehicle skidded on a
rural road in Wayne County east
of Pikeville and struck and on-
coming vehicle, troopers said.
rhrec people were injured.
At 7:45 pm Saturday, a car trav
i ling on N.C. 186 in Northampton
( ounty struck a puddle of water
near Seaboard and overturned,
throwing 10-year-old Farrah
Tamara Fitchett of Queens, N.Y
from the car and killing
troopers said. Five other ;
were injured.
About 11 20 pm
Leslie lark M of
clesficld died when
whkhshewasa i
the road, struck a ditch and
turned. The ac id rtl I t ,
on N C 124 v est ol hei I
town Two otln-r peoj le
jured, troopers said
The a - id
number of i
( arolina roads th c
pared with 966 at tl
last year, the patrol said.
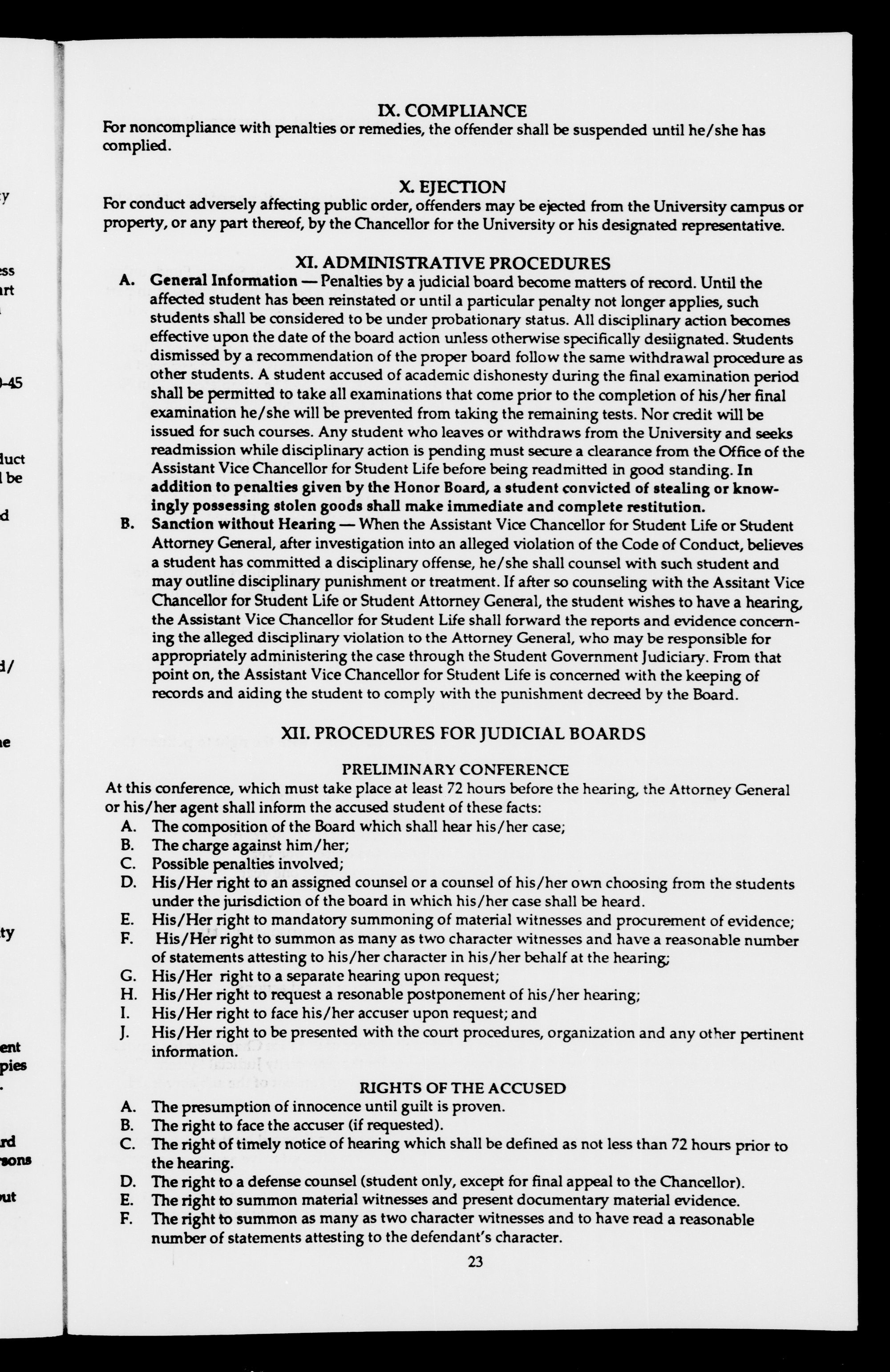
Mendenhall additions continue to grow. Returning students were surprised at how much had
con itructed during the summer break. (Photo by Thomas Walters, ECU Photolab.)
Pirate Walk will run
JLarsh's
SURF SHOP
Continued from page 1
? lin Keith Knox, Crime
? )fficer for the Depart-
? ol Public Safety, recom-
? : .jam. "1 just think
i don't know how for-
itc they are to have such a
ice a : le to them and that
? it. Pirate Walk
reduces the chances of
femalesbecause it
. id a walking compan-
ion for that individual and makes Crisis Center and the Greem
that individual a less likely target Police to ensure that all three
because of pairs Knox said. agencies have consistent reports.
Last school year, according to
Knox. two rapes and a sexual as-
sault case were reported on cam-
pus.
Knox occasionally hears ru-
mors that other unreported rapes
have occurred (when submitting
statistics, Knox emphasized that
onlv about 15 percent of all rapes , j "
, ' boclv uses it (
are reported), upon hearing ru-
mors, Knox checks with the Rape
Jones plans to work closely with
Knox this scho 1 ear to make the
ECU campus safer. Both sh I
Murphy expi i that the c:
service needs more publicit) I
advertisement than it ha;
pre ious y ars ol operati
Murphy said ' Wh( th r
ir not (1
we w ill have it
rate Wall)
Appointment system gets great response
ied from page 1
- tem. We always
have . . ? -?? m and nurses
n that area which are not
I iking appointments she saud.
happens with emer-
r walk-in students is if
? gencies come in at
te time, then a nurse will
em. Then, the severity
: accident deter-
?w they will be seen in the
ill ii area
She further stated, "Some emer-
gency walk-ins cannot be helped,
but some walk-in students can
make it more convenient for
themselves by reducing their
waiting time, through making an
appointment
Last year the response to the
appointment system was so great
that there was a problem with
getting through on the telephone
line
Ms Marshbum stated, "We
have tried to work on that prob-
lem by implementing a new
phone system in May of this year.
will allow mi re ca -
thi ugh to the appointn
retai).
So, we hope that ??. ill d i re ase
o
if concern
iat
cause the st i : nts il I i
through on the she
said.
Appointn
I ? ? ?
a.m. to 12 p.m I
rh( apj tment tel
number i
Parking spaces to be
very expensive rows
50 OFF
SUMMER STUFF!
20 OFF
NEW FALL STUFF
0KIY
RAZORS & BLADES
25 OFF
THE PLAZA MALL ? GREENVILLE
MON. SAT. 109; SUNDAY 16
Radio hack SALE!
Welcome, Students!
J
1
Continued from page 1
iby245spaces.A600space
area will be constructed
. fFicklinandChar-
? f
;ach space will be
u h Moore said, "This is a
alternative compared to
th I a parking deck. If we
I to go with a parking deck
e would cost areound
we can't go with an
. ; ind garage because
Greem tile is below sea level.
Moore added that the only
probl m with the price increase of
the sticker is that if 10 percent of
p. ople who bought stickers last
j ar do not buy this year, the
University will only break even.
When asked if Moore felt like
thi the solution to the park-
in he said, "Yes, this is
definitely a beginning. I know
adding 950 spaces is not the solu-
tion, but right now we're working
v. ith all we have
Moore went on to say another
alternative is to totally eliminate
freshman parking. Thus, not al-
lowing freshmen to have cars at
school. If this plan went into effect
an estimated 1000-1100 spaces
would be available.
The only thing about this plan
is that it could affect freshmen
enrollment. This is a priviledge
that neither State or Carolina give
their freshmen, E.C.U. does
Because of the record enroll-
ment this year additional spaces
at the Carol Belk building of Al-
lied Health have been opened for
freshmen parking. A shuttle sys-
tem has been designed to bus
students to and from the new lot.
This came about through an
agreement between traffic safety
and the student transit authority.
Tandy 1000 TX
PC Compatible
89995 lee-
Stereo Rack System
With Dual Cassettes
Save
$80
GET AN EXTRA
10
OFF!
ANY ITEM IN THIS AD'
WITH THIS COUPON ONLY
OFFER GOOD ONLY AT
LOCATIONS SHOWN BELOW
(BaclIn School and
you 9eed a (Date:
If you (Don't TQiaut ll'fiat to
Say Send tier 'towers
wers Say a Thousand Wards
JOHN'S FLOWERS
AND GIFTS
503 E. Third St.
Greenville
3
752-3311
20 Off All Merchandise
With Student I.D.
(Wire Orders Not Eligible)
230 Carolina East Mall
3400 South Memorial Dnve
756-8938
Pitt Plaza Shopping Center
756-3950
Most Major
Credit Cards
Welcome
A DIVISION Of TANDY CORPORATION
PRK"ESA a- participating
? AifcRs
Psycho-k
his T.V. I
vvr
chael (
mons coi
and ra 1 rs b
was a
and
fricn 1
Den ;
them.
like II
? 't
i 1 r. ?
Recoi
?
the .
I
I
is n '
I
B
,0?
P
F
I
I
I
l
I
I
I
I
I
I
I
I
I
I
l
I
I
I
I
I
I
I
ft.
2
3
$
Ex





THE EAST CAROLINIAN
Al'C,L!ST 1988 3
ight
.
Psycho-killer heard demons from Tobacco farmers compete with fast food
his T.V. before killing four people
WHMSTON-SA1 EM (AP) - Mi-
chael C. Haves raved about de-
mons coming from the television
and radio in the hours before he
w as accused of killing four people
and wounding five others, a
friend says.
"1 could fell he was like this
Derek Wayne Frye said,
extending his hands, holding
them stiffly and making them
shake as if he could not control
them.
He was nervous and shaky-
like. It was like he was scared that
somebody had put something in
pot or cocaine or whatever he
is doing didn't know 1
idn't seen him do anything
e said.
Frye said he had gone to see
1 Lives on the afternoon of uly 17,
t hours before Haves was ac-
sed ol shooting motorists along
a Forsj the County road.
Frvesaid 1 laves believed some-
one had altered drugs he was opened fire on the occupants of
using, and said Hayes raved the vehicles.
about demons coming from the
television and radio.
"He said: 'Somebody did this to
me. Somebody put something on
me Frye said. "He thought
somebody had put something in
his stuff. He meant the way he
was feeling
Hayes is being held at Central
Frison in Raleigh after recovering
from wounds suffered when For-
syth County sheriff's deputies
opened fire on him.
According to a medical report,
tests of Hayes' urine revealed five
drugs in his system: barbituates.
Frye said that later that day, diazepam (Valium), THC (the
Hayes telephoned three people, active ingredient in marijuana),
telling each one that he knew one an opium alkaloid and Placydil, a
of them had added something to depressant-hypnotic,
his drugs and vowing revenge Whatever the cause, Frye said
"He said, 'I'm gonna find out Hayes thought something had
which one of you did this, and I'll been done to him - and his bchav-
get you back Frye told The ior became wilder as he spoke on
Winston-Salem Journal.
Hayes, 24, is charged with four
counts of first-degree murder and
several assault and weapons
charges in the July 17 shooting
spree. Authorities said several
cars were stopped, beginning
around 11:20 p.m and a gunman
the telephone, and afterward.
Frye said: "After he hung up on
the last person, he started acting
kind of weird. He was more nerv-
ous. He was moving around a lot
and looking through drawers "
"He was talking wild
EDEN, N.C. (AP) ? Tobacco
farmers are competing with fast-
food restaurants for unskilled
laborers, and as temperatures
climb well into the 90s, most
people opt for air-conditioned
comfort rather than work in the
fields.
representative.
"We need that many more
Green said.
Larger farmers usually are able
to find enough migrant help to
harvest crops, Green said. Not so
for the small farmers
Eula Quate, a Guilfod County
tobacco farmer, said work begins
around 7 a.m. and ends about 10
a.m.
"I ride and ride trying to find and a name, you don't get the
help Rockingham County migrants Green said, "Thesmall
farmer Ossie London Sr. said, farmer is out Struggling
'Then the ones I find don't want Farmers in the Piedmont are in
to work. They come stay an hour a crunch when it comes to finding
or so and leave help, Green said. Migrant work-
Most farmers in Rockingham crs travel up the East Coast and
County are heavily dependent on many have stopped in the
migrants workers to harvest Sandhills or South Carolina and
crops, Agricultural Extension don't make it this far.
Agent Scott Shoulars said. As for the local labor pool, the
"Without the migrants, a lot of lower the unemployment rate, the
our farmers wouldn't be in busi- harder it is to find help,
ness today Shoulars said. "It's "I could find a job for anybody 1
extremely critical that they have can find Green said. "But there's
the migrants not a lot of people out there
There are about 375 migrant Farmers pay an average of $3.50
workers in Guilford County and to $? an hour. Although that's
300 in Rockingham, said Staley above the $335 an hour minimum
Green, Employment Security wage, tobacco workers only work
Commission Rural Manpower three or four hours a dav.
"People don't want those short
If you don't have resources tours Mrs. Quate said. "They
want longer days and more
money. But we can't afford ei-
ther
Carl Sofley, director of tobacco
affairs in the marketing division
of the I Vpartment of Agriculture,
said he hasn't heard of any real
crisis situations but that as the
peak harvest season approaches,
help gets harder to find.
The Quates need about a dozen
workers. So far, they have been
able to find two steady workers
md a relative.
"We' redoing to lost some of our
tobacco because we just can't get
to it Mrs. Quate said. "We just
don't have the help
OFF!
I FF!
L STUFF
BBl ADES
I OFF
1
i AN bTRA ?
IS VCR With HO
29995
Most Major
Credit Cards
Welcome
Recording captures event
MOREHEAD,
the ph(
rec
KY. (AP)
zy sound as
die touches
rd Then a voice fills the
room, a voice from history.
Identified as a live broadcast
from the Uruguayan harbor, the
store of a German ship being
scuttled to avoid Allied cruisers
waiting tor it in the south Atlantic
is relayed by a network radio
reporter.
The recording was made in
40, at the beginning of World
War 11. But the high quality of the
record and the feeling oi immedi-
acy as the announcer gives up-
dates on the situation affect the
listener's sense ol time.
"There ha cbecn times, when 1
have spent days working on a
project, that 1 have to be brought
bacl. to rcalih said Dr. Michael
Diel is
irt researcher, part de-
tective and part historian, all
packaged as a Morehead State
University associate professor of
radio and television.
He has a collection of more than
40,000 records dating back to the
late 1800s. About 40 percent of
those, including the early cylin-
ders and the 78s that followed, are
stored in his basement.
His love of records, from early
radio-news broadcasts to Soviet
jazz, began when he was 7 years
old. He discovered about 200
1920s-era pop-music 78s belong-
ing to his father stored in the attic
of the family's New Jersey home.
The pop sound of the '20s remains
his favorite.
He said he never imagined his
love would lead to a career in
teaching and research at a univer-
sity.
"1 didn't even know you could
study such a thing when I first
went to college he said.
Over the years. Bid's expertise
in older recordings has been rec-
ognized by national organiza-
tions such as the Library of Con-
gress in Washington.
"More than once we've called
on him to help verify whether a
recording is genuine said jerry
Gibson, curator of the records at
the library.
Biel said the ability to detect a
fake is a matter of listening
closely. Many times, the quality of
the sound is the key. Often he can
recognize if the cracks and pop-
ping on a record are genuine or
have been applied.
Right now he is tracing the ori-
gin of a recording that is tagged as
the voice oi Oscar Wilde on a cyl-
inder from the late 1800s.
Biel is also president of the
Association for Recorded Sound
Collection.
II
DIRTY DANCING
CONTEST

FRIDAY NIGHTS AT 9:QO
BUY ONE, GET ONE FREE
CRUSTY'S
WE
DELIVER
.ev'
oOY
GE1 A SLICE
0F THE
apop
LIFE!
2 Small
3 Item
Pizzas
2 Medium
3 Item
Pizzas
Plus Tax
Delivered
Expires 9-15-S8
2? CRUSTY'S
s10
Plus Tax
PIZZA
vt
Delivered
Expires 9-15-88
H CRUSTY'S
1 P177A ?
2 Large
2 Item
Pizzas Plus
4 Cokes
$1 Q
JLm J Plus Ta
& Deposit
Delivered
Expires 9-15-S8
Price Buster 2
Large With
Everything
Plus lax
Pick L'p Only
Items - Pepperoni, H.am, Beef,
Italian Sausage, Green Peppers.
Onion, Hot Peppers, Black Olivei
and Anchoves. .No substitions
Expires 9-15 8-8
CRUSTY'
PIZZA
gft CRUSTY1
5 PIZZA m





StJre iEaat (ftarnltman
Scnimg tw Esf ?rciim BHH c?mnrtify nurr 1925
Pete Fernald, g?wmim?ux?
Chip Carter, M?r?? mor
lAMES F.J. MCKEE, Director ofUwrhsm
Ioe Harris, n? unm
Doug Joi inson, os, m
Tim Hampton, rro &
Michelle England, c? ???!??
Debbie Stevens, s?T??ry
Paul Dunn, co spwr i,
Jeff Parker, i-zor
TOM FURR, Circulation M?uger
Susan Hovvell, production m.?
John W. Medlin, m &??
Mac Clark, Bi?i?ssM?mjigeT
August 23,1988
OPINION
Page 4
Image
New semester brings changes
The East Carolinian is glad to vvel- tablish the school's reputation. It
come incoming freshmen, returning obviously worked ? witness the
students and transfers. This year's high enrollment figures,
enrollment is at an all time high, so But rebuilding is only half of the
things are going to be crowded this job. Now it's time to go beyond that
year. and prove ourselves. With the pleth-
Although this would seem to ora of new freshmen, school organi-
prove to the administration, trustees zations have a wealth of resources to
and anyone else who worried that explore.
ECU is finally shedding the dreaded Freshmen and yes, returning stu-
"party school" image, it also brings dents, look into what you can do
up new facets to the same old prob- within the school framework.
lems. Classes aren't the only reason you
Internal problems such as parking come to college, but drinking isn't
and registration overloading can the only other option. It sounds
only be solved by the university it- cheesy, but ask not what your school
self, if it recognizes that solutions can do for you
need to be sought immediately. There are many organizations on
External problems, such as the campus that you can get involved
school's image, require the student with that involve a minimum of time
body and administration's working and effort, and some that involve
together. obsessive participation. But all of
them are worth investigating.
In the last year, ECU suffered So again, welcome. Enjoy your
many setbacks in the image depart- stay at ECU and especially this year,
ment. The SGA, the chancellor and You never know. You might end up
yes, even the students helped rees- learning something important.
PflWOCRAT,
PUKAK5-
PSYCHIATRIC
Help 5t
tW7OR?P0657WIS
MEAN I CAN NBI6R
RONFORpRgSlPgNT
Jackson, Cuomo to meet
The front-page news in this part of the world is that Jesse compare me with Ronald Reagan?" Ronald Reagan preju-
Jackson and Edward Kick are going to meet, with Mario
Cuomo as referee. There can't have been as much interest in
this meeting since Casablanca, where Franklin Roosevelt first
met Josef Stalin. They distrusted each other about as much (at
the first meeting), but they had a common enterprise, even as
Jesse and Ed have one: namely, a Democratic victory in
November. To this end, they are supposed to heal their
hostility to one another.
In fact, they will not. And the reasons for this are almost
always kept quiet, but every now and again need to be
enunciated, so that we can stare the problem in the face. It is
diced? "Why, sure. Do you remember where he launched his
1980 campaign for the presidency? Philadelphia, Ms-
Philadelphia what? "Philadelphia, Miss one of the deepest
of the segregated towns in America. And then, recall, i: was
Reagan who went to Bitburg in Germany while I, Jesse,
reproached him for doing so even as 1 called on Soviet lcadc rs
to release Jews who wished to emigrate
All of this Mr. Rosenthal duly reported in his coluumn,
without much commentary of his own. But running through
his mind, one supposes, is what will run through the mind of
Ed Koch at the summit. Here is Jesse Jackson anxious to label
simply true that there is a high degree of black anti-Semitism Ronald Reagan a racist (what he has been called by the
in New York City, even as in Chicago it is said to be a serious
problem. ???????????
And it is true that there is a certain amoun t of reciprocal ?
anti-black feeling would not describe it exactly. There is a
feeling among many Jews in New York that some leaders of
the Mack community arc misleading their followers and that
they arc not grateful as they ought to be for Jewish leadership
in a generations-long struggle against racial discrimination.
It is quite simply to be expected that a Jewish mothei and ???????? -??
father proud of the attainments in high school of their 17-year-
old son curse under their smile when congratulating the black NAACP) for political acts utterly empty of racial mearmc
parents of a classmate of that son who made it into Harvard, whatever vvas later made of them. If one is prepared to call
notwithstanding conspicuously inferior qualifications. The Reagan a racist, then call anybody you like a racist, including
transformation of affirmative action (help the guy who starts George Washington Carver and maybe St. Paul. To get cut
off behind) into a quota system generates resentment of those from under the racist label by calling everyone else a racist is
On the Right
By
William F. Buckley Jr.
bid technique.
And then we nave another problem with Jesse Jacks
which is that he does not give evidence of caring about
nodern totalitarian practices, save as these are discovered in
outh Africa. If Reagan had gone to Bitburg to toast the
memory of Adolf Hitler, he'd have properly earned the
TUgPOCTDR
15 og
Wct&$ve? s&ficz
?Uf
J3
who profit from a synthetic upward mobility.
Now, that is one problem that separated Ed Koch as a ncar-
chauvinistically proud Jewish leader, and Jesse Jackson, who
has proclaimed his blackness as the most important of his
attributes as a human being. And then there is an extra-
corporate problem, one that transcends the generic distrust of
Jews by blacks and vice versa. It is quite personal. Ed Koch adamant and perpetual contempt of everyone,
does not trust Jesse Jackson, andJesse Jackson dees not rust But Jackson went to Havana and toasted not only Fidel
Ed Koch. In a sense, they arc both correct. Castro a live totalitarian, but also Che Guevara, a
Afortnightago,JcsseJacksoncalledcolumnistA.M.Rosen totalitarian. He has not apologized for these gesture :
thai of The Neio York Times, the paper's former executive missing them merely as diplomatic amenities that led to his
editor, renowned as perhaps the most creative daily newspa- success in bringing home a few political prisoners,
per editor in America. Roscnthal's feeling loward Jackson has Ed Koch is reasonable suspicious of the bona fides of a
not been disguised, though it is perhaps fa;r to say that the moralist who makes time with Farrakhan, speaks of Hymie-
privatc feeling has been expressed more colorfully than the town ?, sides always with the Palestine Liberation Organ
public feeling. tion denounces Reagan as a racist and applauds Fidel Cas
Jesse Jackson (Rosenthal duly reported in his column) Suc'? people show an incapacity for discrimination, and un-
called to say, in effect: "Abe, ct this crap about my being an ti- crimination of the proper kind is what brought Koch to
Semitic. Sure, I had that little fling with Farrakhan, and sure, denounce Jesse Jackson in the first place. And that p
Heel that the Palestinians are entitled to a little room of their kind of discrimination had nothing whatever to do with
own, but how can you think ei me as prejudiced when you Jesse's being black.
Intelligence needs to be campaign factor
By MICHAEL KINSLEY
The New Republic
The weekend before the Moscow superpower
summit in May, National Security Adviser Colin
Powell appeared on television to reassure the citi-
zens that their president was prepared. Reagan had
done his homework, Powell declared. In fact, Re-
agan had just headed off with a thick briefing book.
It was a pathetic moment. Pathetic that the White
House should feel it necessary to claim that the
leader of the free world had read a briefing book
before confronting his superpoer rival. Even more
pathetic, though, was that surely almost no one
believed it. Reagan may have toddled away with
that briefing book, but who thinks he even made it
through the executive summary?
Most pathetic of all is that neither the need to assert
the president's mastery of the issues, nor this
assertion's inherent implausibility, caused the sligh-
est stir. We've grown completely used to the idea
that the nation's chief executive doesn't exercise his
brain very much. Imagine anyone bothering to claim
publicly that Margaret Thatcher was prepared for a
meeting of any sort. And imagine anyone doubting
But the past 12 years hae seen a reversal in
conventional notions about brains as they relate to
the presidency. First came Jimmy Carter to give
intelligence a bad name. Then came Ronald Reagan
to elevate thickheadedness into some kind of mysti-
cal power.
Carter's appeitite for options papers and his ob-
session with detail (the infamous tennis court sched-
ule) were seen as one reason for his failed presi-
dency. Reagan's "success meanwhile, was attrib-
uted partly to a supposed clarity of vision achieved
by not trying to keep too many things in his head at
once, and not adding any new ingredients to the
stew after about 1964. Three years ago, when
Reagan's reputation was at its apogee, an active
intelligence was widely considered not merely
unnecessary to great leadership but very likely a
handicap.
With Reagan's decline, maybe this is changing.
One thing I find appealing about Michael Dukakis is
obviously smart. Or, to avoid an argument aobut
genes, let's just say he'samanof great mental energy
and intellectual curiosity. George Bush doesn't radi-
ate Reagan's sublime sense that the computers are
down.
But he doesn't give the impression of operating
with extra RAM, either. Yes, what a president thinks
is more important than how much he thinks. Yet
surely brains are an advantage in leading the coun-
try.
But is the perception of brainpower an advantage
in winning the election? It shouldn't be hard to
convince the voters that intelligence is a desirable
quality in the person who'll have his finger on the
button, his hand on the throttle of the economy, his
backside planted across the table from Gorbachev,
and suchlike metaphors. But there are two perils.
One is the Carter analogy. Mike Dukakis, as every
profile informs us, once took a book on Swedish land
use planning to read on the beach. That raised the
specter of a humorless bureaucrat who lacks human-
ity and can't see the forest for the trees. Too much
"management not enough "vision etc. But the
Dukakis people have done a pretty good job of
turning this one into an endearing foible. Good old
Duke, earnestly plugging away on Swedish land use .
planning while the rest of us play volleyball.
The second peril is the somewhat phony anti-
elitism that has gripped the strategists of both par-
ties. Democrats are portraying George Bush as a
desiccated artistorcrat; Republicans want to portray
Dukakis as what used to be called a "pointy-headed
liberal In this atmoshphere, any attempt to make a
virtue of the fact that Dukakis is the more (shall we
say) mentally alert of the cwo is likely to play right
into the hands of the enthusiastic young dema-
gogues who are running the Bush campaign.
No figure even remotely resembling the original
pointy-headed liberal, Adlai Stevenson, could be
nominated for president by either party today. Sen.
Paul Simon had his moment during the primaries,
but thaf s because he managed to create a persona
artfully combining the professional demeanor of a
Stevenson with a down-home, straight-talk carica-
ture of Harry Truman. On the Republican side, even
former football star Jack Kemp was considered too
erudite because he kept talking about the gold stan-
dard.
It was not always thus. John F. Kennedy put a great
emphasis on appearing brainier than he really was.
When the Kennedy imageers contrasted their man's
"vigor" with the lethargy of the Eisenhower years,
intellect was part of the package, right along with
glamor, athleticism and youth.
LBJ and Nixon were both traumatized by intellec-
tual insecurities, and certainly made no issue of their
intelligence, although it was formidable. In Nixon's
case, his detractors probably respected his brain-
power more than his admirers did; intelligence took
on a negative spin with adjectives like "crafty" But
as recently as 1976, when Carter defeated Gerald
Ford ? the man who allegedly couldn't walk and
chew gum at the same time ? mental capacity was
held to be a plus, not a minus, in running for presi-
dent.
Maybe Dukakis can figure out a way to make
brains a political asset once more. If he's smart
enough.
The Tost Curofinian ue(-
comes your Utters. Send type-
written, douSU-spaced fet-
ters to The 'Last CaroCinian,
the (Fu6fications Bui(ding.
"We reserve the right to edit
for content in the event of poor
taste.
Bush d
Oliver
By MICHAEL
The Sc? Ki-d
Michael Dukakis, notes
dain, is "a card-carrying n
And what is wrong with
Texas, Bush explained that
erties Union is "pretty far oi
not reflect "Texas value
tucky, he declared that the
the mainstream of Kentuckj
composed of "liberals" v.
technicalities.
I wonder if Bush would
ACLU's Litest cause: Oliv
tion has filed a rr
against North and his Iran-
be dropped. Reason: N j
right against self-incrimii
compromised when I
his will in Con.ji nal
has eag r I
when ? icnt. Is this I
Ollie one of the criminal
In i l
Albert Hal
and refusing ! I
gross gave
That means noth
future pre-
actional immur i
prosecuted at all
Use immunity in
ized b "Omnibus CJ
Streets I ?
to the turn
grab bagI actl) the
complain- seimm
to get a criminal's tc
without I
Iran-contra special
and
their pi
mony. They put "u
thee bad accumulate
prove it's not tail
how they t I
During the tcstirr
the newspaper and v i j
North's la w
so wide cized tl J
American folklore S
Despite their b
have avoided exp
said, and can't p
anv decision they rr
D
I
N
I
N
G






fcNTitfN
V

Reid-
N?V !
meet
an?" Ronald Reagan preju-
mbcr where he launched his
:r.c-7 Philadelphia, Miss
ia, Miss one of the deepest
? tea. And then, recall, it was
in Germany while I, Jesse,
?n as 1 called or. Soviet leaders
?migrate
reported in his coluumn,
us own. But running through
: will run through the mind of
jesse Jackson anxious to label
e has been called by the
On the Right
By
F. Buckley Jr.
?rly empty of racial meaning,
tern. If one is prepared to call
dy you like a racist, including
d maybe St. Paul. To get out
illing everyone else a racist is
problem with Jesse Jackson,
jvc evidence of caring about
ve as these are discovered in
(gone to Bitburg to toast the
d have properly earned the
ipt of everyone,
la and toasted not only Fidel
: also Che Guevara, a dead
zed for these gestures, dis-
Imatic amenities that led to his
political prisoners.
ncious of the bona fides of a
Farrakhan, speaks of Hymic-
Palestine Liberation Organiza-
cist and applauds Fidel Castro.
for discrimination, and dis-
1 is what brought Koch to
e first place. And that proper
thing whatever to do with
or
largy of the Eisenhower years,
the package, right along with
Ind youth.
Jc both traumatized by intellec-
certainly made no issue of their
it was formidable. In Nixon's
Iprobably respected his brain-
ladmirci s did; intelligence took
lith adjectives like "crafty But
hen Carter defeated Gerald
o allegedly couldn't walk and
ie time ? mental capacity was
It a minus, in running for presi-
lan figure out a way to make
set once more. If he's smart
Carolinian wel-
letters. Send type-
cubic-spaced let-
'East Carolinian,
ations 'Building.
the right to edit
in the event of poor
THE EAST CAROLINIAN
AUGUST 23,1988 5
Bush doesn't apply laws to
Oliver North hearings
By MICHAEL KINSLEY
The New Republic
Michael Dukakis, notes George Bush with dis-
dain, is "a card-carrying member of the ACLU
And what is wrong with that? Campaigning in
Texas, Bush explained that the American Civil Lib-
erties Union is "pretty far out in left field" and does
not reflect "Texas values Campaigning in Ken-
tucky, he declared that the ACLU "is not exactly in
the mainstream of Kentucky politics" because it is
composed of "liberals" who ge criminals off on
technicalities.
I wonder if Bush would apply this analysis to the
ACLU's latest cause: Oliver North. The organiza-
tion has filed a brief arguing that criminal charges
against North and his Iran-Contra colleagues should
be dropped. Reason: North's Fifth Amendment
right against self-incrimination v. as hopelessly
compromised when he was forced to testify against
his will in Congressional hearings a year ago. Bush
has eager to wrap himself in North's popularity,
when convenient. Is this one of the loopholes, and is
Ollie one of the criminals, Bush is referring to?
In order ot prevent North, John Poindextcr and
Albert Hakim from pleading the Fifth Amendment
and refusing to testify at last year's hearings, Con-
gress gave them what is called "use immunity
That means nothing they said could be used in any
future prosecution. The alternative is called "trans-
actional immunity meaning that you can't be
prosecuted at all for any crime you testify about.
Use immunity in federal prosecutions is author-
ized by the "Omnibus Crime Control and Safe
Streets Act of 1968 That act, a conservative rcponse
to the turmoil of the 1960s, was supposed to correct
a grab bag of exactly the sort of liberal excesses Bush
complains of. Use immunity was intended as a way
to get a criminal's testimony against his colleagues
without having to let him go free.
Iran-contra special prosecutor Lawrence Walsh
and his sta H went to enormous lenghts to assure that
their prosecution does not use any "immunized"
testimony. They put "under seal" all the evidence
they had accumulated before North ct al testified, to
prove it's not tainted. They kept detailed records of
how they acquired each new piece of evidence.
During the testimony itself, they stopped reading
the newspaper and watching TV.
North's lawyers and the ACLU argue that in a case
so widely publicized that it has become "part of
American folklore such steps are insufficient.
Despite their best efforts, prosecutors can't possibly
have avoided exposure to what North and the others
said, and can't possibly prove that this didn't afert
any decision they made. Nor czn they prove that
witnesses and jurors weren't affected.
Walsh argues that what prosecutors, witnesses
and jurors may incidentlly have learned is irrele-
vant. What matters is what they use. In all criminal
cases, witnesses are sworn to testify only from per-
sonal knowledge, and this one's no different. As for
jurors (although Walsh didn't put it this way),
there's never a shortage in America of people amaz-
ingly ignorant of the most important public affairs.
District Judge Gerhardt Gesell ruled for Walsh,
though he said the questions could be reviewed
again after any conviction. For myself, I'm glad I'm
not a judge because I just can't decide.
It's certainly clear that whatever tiny advantage
the prosecutors may have gained from the testimony
is far outweighed by the disadvantage of all the
knots they tied themselves into while trying to avoid
being influenced.
But the point for Ollie North fans like George Bush
to keep in mind is that this dispute is over presuma-
bly accurate and presumably incriminating infor-
mation. That's what the Fifth Amendment protects.
An American criminal trial is Is: a venue of truth-
seeking than it is an elaborate game in which the
truth is only one consideration.
And the game is never more elaborate than when
in the hands of someone like North's lawyer, Brenda
Sullivan. The Fifth Amendment question alone has
already generated a foot of documents. And this is
onlv one of many promising avenues of delay and
obfiiscation defense lawyers are pursuing.
Sullivan's mentor, Edward Bennett Williams, once
remarked puckishly that the right to a speedy trial is
the least-exercised right in the Constitution.
No other country in the world would give Oliver
North so many opportunities to "get off on techni-
calities" that have nothing to do with whether he
broke the law. If the North prosecution is thrown out
on Fifth Amendment grounds, people like me will
find it terribly frustrating that the Constitution
should rescue someone who clearly holds its values
in contempt.
But we will also recognize that it is one of the
glories of America that it allows such things to
happen. And we'll recognize that the American
Civil Liberties Union is helping to protect that glory.
Even if we think that in this case or some other the
ACLU goes too far, we're glad to have it around
because we know that zealots keep the rest of us
honest.
George Bush, by contrast, would like us to believe
that there is something urTcxan, un-Kcntuckyan -
you. know what he's trying to say - downright un-
American about the zealous, even excessive, con-
cern for individual rights.
Gen. Assembly
votes on bill
This week, the N.C. General
Assembly is expected to vote on a
$160 million education spending
bill which includes land acquis-
tion and renovations line items
for ECU.
"We are still working on the
bill in the House and i t hasn' t been
finalized said Rep. Ed Warren,
D-Pitt County on the education
spending pact. In the bill in the
state house, Warren said ECU is
expected to be the beneficiary of
$500,000 request for land acquis-
tions and of a $3.5 million request
for renovations to Memorial
Gym.
Warren, the chairman of the
Appropriations Base Budget
Committee on Education, said
appropriations for a new library
to replace Joyncr library are not
yet in the planning stages.
The appropriation for land
acquistion will provide for new
avenues for growth of the ECU
campus. With ECU enrollment
increasing each year in the recent
past, the land purchased with the
appropriation will remedy con-
cerns of not enough space.
The possibility of renovations
on the 31 year-old Memorial Gym
comes eight months after the SG A
signed a resolution calling for the
need of improvements in ECU's
recreations. The renovations to
Memorial will compliment the
new recreation facility which is
still in the planning stages.
In addition to the two appro-
priations, Warren said the pact is
expected to include a $50,000
grant to the ECU Geology Depart-
ment.
The spending bill reaches the
floor one week after the legisla-
tors passed a supplemental pact
which included $100.9 million in
operating expenses for ECU.
"I Should've Bought From"
V.A. Merritt & Sons
f!88?47X
6 Pack
Fits
In Door
Read
The East Carolinian.
Every Tuesday and Thursday.
Why
Rent
When
You
Can
Own
Model TA5SJ
4.5 cu. ft. capacity.
Ice compartment with 2 ice travs.
Extra deep door shehes hold six-packs or 3-liter bottles.
3 cabinet shelves (2 adjustable.
Vinvl teak woodgrain door
and countertop.
18 wide. 33" hiKh.
$189.95
V.A. MERRITT & SONS
"Electrical Appliances Since 1928"
A product is never better than the service behind it
(rl PMPl DOWNTOWN GREENVILLE
8:30 A.SL-3:30 f -M. HODAY-FRJDAY
ft 00 A-MlOO P.M. SATURDAY
EAST CAROLINA
UNIVERSITY
?
CANTEEN
Welcomes All
Incoming Freshmen
And Upper Classmen
To A New Year At ECU
Three Locations For Your Dining Needs:
College Hill Dining Hall
(Ground Level of Jones Residence Hall)
Serving: MonFri. Breakfast-Lunch-Dinner
Sat. - Sun. Brunch and Dinner
"All You Care To Eat" Dining Center
Mendenhall Student Center
Serving: MonFri. 7:15 a.m. to 7:30 p.m.
SafSun. 10:30 a.m. to 6:30 p.m.
A Continuous Self Serve A La Carte Dining Facility
The Gallev
(Located Next To College Hill Dining Hall)
Serving: Mon. - Thurs. 10:30 - 2:30 4:30 -11:00 p.m.
Fri. 10:30 - 2:30 4:30 - 9:00 p.m.
Casual Dining and Late Night Snacks
On An A La Carte Basis.
Daily Specials - Monthly Specials - Theme Nights
ON AND OFF CAMPUS CATERING





THE EAST CAROLINIAN
AUGUST 23, 1988
Classifieds
FOR RENT
GIVE YOUR LANDLORD THE AX
Purchase your own 3 bedroom home for
as little as $145.00 a month! Call Gail at
756-9874!
FEMALE ROOMMATE WANTED:
Non-smoker, upperclassman or grad.
student, at Wilson Acres, own room ?
furnished, wd provided, rent $190mo.
utilities call ML 758-6906.
OWN YOUR WON HOME FOR HALF
THE PRICE OF RENT 1989 models are
here so 1988 models have been specially
reduced to move fast. Low down pay-
ments and monthly payments. We
handle the financing! CALL DEE, 756-
9874, STUDENTS & SINGLE-PARENT
FAMILIES WELCOME
NEEDED: FEMALE ROOMMATE: at
Plantation Apts 13 rent, 13 utilities
private room 2 12 baths, fireplace,
microwave, tanning beds, pool, hot tub
and much more Call Stacy at 355-5610
before 2pm ASAP.
ROOMMATE NEEDED: to share 2 bed-
room trailer ? 612 miles from campus.
$95mo. 12 utilities. Only responsible
people apply, please. Call 752-6433.
ATTENTION STUDENTS NEW 2 & 3
bdrm homes, fully furnished, AC,
withing 5 mins of ECU campus, ONLY
$215.00 a month! Call 756-9874.
APT FOR RENT: Located 3 blocks from
campus. Low rent, great location. Call
Luke or Steve for more details. 830-0339.
ROOM AND BOARD: available near
campus, for Female non-smokerwork
exchange. Call 757-1798.
ROOM FOR RENT: SI65.00 per month.
Utilities included. Near ECU campus.
Call 758-1274 after 5:30.
FOR SALE
FOR SALE: Occanfront, beautiful Myrtle
Beach condo, RCI timeshare property.
Buy this low season week at a very rea-
sonable price and enjoy excellent world-
wide exchanges through RCI any time of
the year. You may decide to use it for
rentals or for a quiet week at the beach
yourself! Call 756-7846 for details after
5:30 p.m.
FOR SALE: Queen size sofa bed; rcfin-
ished oak table; easy chair; long table; 2
end tables; twin bed frame. 355-4717.
IS IT TRUE: you can buy jeeps for $44
through the U.S. government? Get the
facts today! Call 1-312-742-1142 Ext
5271 A.
FOR SALE: Telcvideo 64K Computer
Model TS-803, CPM Operabng System
(With GSX), 14-inch Monochrome Moni-
tor, Two Built-in Double-Sided 5 14 Inch
Floppy Disk Drives (Each disk holds 368.6
K), Okidata Microline 82A Dot-Matrix
Printer With Tractor Feed and Estra Rib-
bons! Includes Tele-Solutions-80 Software
Package (Word Processing, Business Plan-
ning, and Business Graphics) Also In-
cluded is a Property Management Pro-
gram as Well as a Demo Utility. CPU I las
a Keypad on its Right Side and Function
Keys at the Top as Well as Ports For a
Printer, Modem, and Mouse. This com-
puter system is around eight years old and
originally cost over $3000! The system is in
perfect operating condition. We have e
panded our system so this one must go! We
are asking $450 or best offer. To inquire,
call Remco East at 758-6061.
FOR SALE: 1978 Nova, Automatic, Power
Steering, AC & New Tires $800. 756-8692
or 523-8354 (Kinston).
RUSTIC HARD-WOOD FRAME: Furni-
ture for sale ? In good shape! Price nego-
tiable. Call 757-1635.
SERVICES OFFERED
SCHOOLS IN: Time to party! Call us for
your music needs. We'll beat all prices and
videotape your party. The Power Station
DJ's. 752-0946.
FRENCH TUTOR AVAILABLE: To help
students with the language. Contact: Ter-
rier Anne-Sophie 758-9769 Jones Hall.
Wage neg.
HELP WANTED
ARE YOU A COLLEGE STUDENT: or
faculty member looking for part-time
employment? Are you enthusiastic, de-
pendable, and excited about working in a
fashion environment? If you are sincere
about working & have a flexible schedule,
apply in person, Brody's, Carolina East
Mall, M-W, 2-4 pm.
HELP WANTED: Laundromat attendant
mornings and evenings. For more info call
752-5222.
WANTED: College student for occasional
work, must have own pick up truck. If
interested, please call 756-9874 M-F, 9-5.
HELP WANTED: Now hiring buspcrsons
and kitchen staff at Professor O'Colls res-
taurant. Apply between 8:00 am -10:00am
Tues thru Thurs. No phone calls please.
Located behind Quincy's and Ace cleaners
in the Farm Fresh Shopping Center.
BRODY'S FOR MEN: is looking for con-
scientious, part time associates who are
personable, responsible, and fashion for-
ward. Must enjoy people and be able to
work flexible hours. Apply in' person:
Brody's, Carolina East Mall, M-W, 2-4 pm.
3 WAITRESSES NEEDED: lunch shift,
weekend shift and evening shift avail-
able Apply 3-5 pm at Szechuan Car-
dens. No phone calls please.
WESTERN SIZZIIN: now accepting
applications for all positions. Apply
after 2 pm.
PHOTOGRAPHERS WANTED. Inter
ested in making money part-time pho-
tographing people' No experience nec-
essary; we train. If you arc highly so-
ciable, have 35mm camera and trans-
portation, give us a call between 12 noon
and 5 pm M-F at 1-800-722-7033.
HELP WANTED: AEROBIC IN
STRUCTORS NEEDED Applv in per-
son this week at The Spa
OVERSEAS JOBS: Also Cruiseships
$10,000 ? S105,000vr! Now Hiring!
320Listings! (1)805-6000 Ext. OJ-1166.
"HIRING! Federal government jobs in
your area and overseas. Many immedi-
ate openings without waiting list or test.
$15-68,000. Phone call refundable. (602)
838-8885. Ext. 5285
COLLEGE REP WANTED: to work 5
15 hours per week on campus starting
Fall term. Good income For informa-
tion and application write to: Collegiate
Marketing Services, 251 Glenwood
Drive, Moorcsville, NC 28115.
FREE HAWAIIAN TRIP: could be
yours! World's largest party plan com-
pany hiring demonstrators. Excellent
pay, bonuses! Free $300 kit; supplies. No
investment, collecting or delivering.
Call Chelle 758-6141.
PERSONALS
KA BROTHERS & LITTLE SISTERS:
Hope your summer was awesome! Get
psyched for a great semester ? we're
going to make it one
CLASS IS NOT CLOSED Enroll in the
University Chorale. Open to males -n-
females. Meets M-Th from 12:00 - 1:00.
Credit towards Fine Arts Requirement
309 School of Music 757-6331.
$ NEED CASH? $
Loans On tc Buying Guns
TV's, Stereos, Gotd Jewelry, coins,
most anything of value ? ?
. Southern G?n & Pawn, Inc.
$ 752-2464 $
HEY MON!
WEDNESDAY NIGHTS
ARE
HAPPENING AT
PROFESSOR O'COOLS
JAMAICAN
CELEBRATION.
GREAT SPECIALS AND
REGGAE MUSIC ALL
NITE LONG MON! DON'T
MISS IT! LOCATED
BEHIND ACE CLEANERS
IN FARM FRESH
SHOPPING CENTER
NEED EXTRA
CASH!
Holiday Inn is now
hiring for full and
part-time waitress
and waiter
positions.
Opportunities
available in the
restaurant and
banquet areas.
Accepting
applications M-F 1
p.m. - 4 p.m. 702 S.
Memorial Drive.
Hoscoe
SHOES
FULL AND PART TIME SALES
MANAGER TRAINEES
Opportunity for better than average
pay with room for advancement.
?Health and life insurance
?Incentive bonuses
?Paid vacations and holidays
?Pension plan
?Employee discounts
?Flexible hours
Immediate openings, experience help-
ful but will train. Apply in person at
The Plaza or Carolina East Mall.
EL-TOftO
$1.00 OFF
HAIRCUTS
OR STYLING
Eastgate Shopping Center
(Across from Highway Patrol Station)
Dchtnd Car Quest Auto Parts
2800 E. 10th Street
Greenville
Johnny Weathington
752-3318
JJLarsWs
FOR SALE: HUNTER
CRUISER BIKES IN
STOCK REGULARLY
$239.95. SALE PRICE
$169.95. BRAND NEW!
FOR MORE INFORMA-
TION. CALL MARSH S
SURF SHOP 355-6680
FOR SALE: 50 OFF
SUMMER STOCK. COME
BY MARSH'S SURF SHOP
FOR THE SCOOP!
GREENVILLE RECREATION AND
PARKS DEPARTMENT
SOCCER COACHES NEEDED
The Greenville Recreation and Parks Department is recruiting I r
10-14 part-time soccer coaches for the fall semester program.
Applicants must possess some knowledge in soccer skills and
have patience to work with youth. Applicants must be able to
coach young people, ages 5-15 in soccer fundamentals. Hours
approximately 3-7 p.m. Monday thru Friday. Some night and
weekend coaching. Program will extend from September to m:d
November. Salary rate is $3.55 to $4.35 per hour. Applicants will
be accepted starting August 20. Contact Ben James at 830-454
NOW HIRING
FOR ALL POSITIONS
25-30 Delivery Drivers. Earn $4 - $8 per hour.
Flexible hours. 8-10 inside personnel.
Must have own car and insurance.
Apply in person at 1414 Charles Streets.
CARPET
REMNANT
& PAINT SALE!
Carpet Remnants as low as $30!
Paint as low as $7.99 per gallon
Located in the K-mart Parking lot beside BB&T.
Hours
Monday-Friday 730 am-6 pm PhOllC
Saturday 8 am-5 pm 7f) filOft
Sunday
Closed
WELCOME BACK SPECIAL
UP TO $300 OFF!
Greenvilles
Most
desirable
address
APARTMENTS
? Two full baths in all two and three bedroom apartment
? Patio with all first floor apartments. Private deck with
second floor apartments. Each with sliding glass docs
and enclosed storage room.
? Cable T. V. available
? A real wood-burning fireplace in each apartment
? Wall-to-wall carpeting; drapes for all windows, tile foyer
? Lighted tennis court
? Swimming pool
? Club room
? All energy efficient appliances

' J"w
?i?
r ? 'Mr ? ? - fajws
.Jj?HORSl$Wt DKIVE
HILTON -?-ai
SHEIATOK fA?:?
X ???
VV re MMTXM
rf,V.

Office Phone (919) 355-2198
Office Hours M-F 10 a.m 6 p.m.
Saturday 12 p.m. - 4 p.m.
Sunday 1p.m. - 4 p.m.
r
i
WELCOME BACK
ROOMMATE SPECIAL
Up To $300 01
I Towards the First Three Months Rent On A
12 Mor-rh Lease For A 2 ER Apartment
Announcements
WALK-ON TRY-OIJTS
The ECU football team will hold registra-
tion for walk-on try-outs Tuesday from
noon to 3 p.m. and Wednesday from 10
a.m. to noon, at the Scales Ficldhouse. Try-
outs will begin Wednesday at 3 p.m. in
front of Scales Ficldhouse. Bring work-out
gear and shoes for grass. Please be on time
and bring student ID.
SENIORSGRAD STUDFNTS
The Career Planning and Placement Serv-
ice, located in the Bloxton House between
Mendenhall and Greene Residence Hall,
is where graduating students may put
resumes and establish a credentials file.
Interview signups begin soon, and you
must be registered to sign up. General
Information meetings will be held Aug.
30,31, Sept. 7 and 15 at 3 p.m. and on Sept.
7 in the Bloxton House.
CAMPUS MINSTRY
All students are invited to enjoy Christian
fellowship, good food & good jazz music
at the Methodist Student Center OPEN
I lOUSE, Tuesday, 5:30-7:30 p.m. (501 East
Fifth St across from Garrett Dorm). Tor
more information contact Rev. Dan
Earnhart or Rev. "Mike" Burcher 758-
2030752-7240.
COLLEGE WORK STIjny
If you have been awarded college work
study for Pall Semester andor Spring
Semester, you are encouraged to contact
the Co-op office about office campus
placements. Call 757 6979 or come by the
General Classroom Building Room 2028.
UNIVERSITY CHORALF
Enroll in the University Chorale. Open to
males and females with musical experi-
ence without audition. Meets Monday-
Thursday from 12-1. Credit applies to-
ward Fine Arts requirement. See Dr.
Rhonda Fleming 309 School of Music, or
all 757-6331.
IRS
The first annual King of the Hill competi-
tion will be held August 31 at 3:30 p.m. on
the College 1 Iill Recreational facilities. An
information meeting will be held August
30 at 5 p.m. in Bio 103. College Hill Resi-
dents bring SRA cards for participation.
Sponsored by Intramural-Recreational
Services. For additional info call Mary
Malone at 757-6387.
IRS
A mandatory meeting will be held
Wednesday at 10 p.m. in Memorial Gym.
Contact Mary Malone at 757-6387 if you
are unable to attend. Only returning
employees need attend!
FREE TICKETS
FREE tickets to Judas Priest and Cindcr-
alla. The show is Sept. 9th at the Greens-
boro Coliseum. Listen to the Metalshop
this weekend on WZMB 91.3.
ECU AMBASSODORfl
First general meeting will beheld in Room
221 Mendenhall, Wednesday at 5:15 p.m.
FOOD FEST
The American Heart Association and
Purdue will sponsor Food Fest, 1988 at
Krogers and Harris (Bells Fork location)
Sept. 13 and 14. "Hcartsmart" tours will
be given by qualified nutritionists at 10
a.m. and 6 p.m. daily for a $5 donation to
the AHA. The tours teach consumers to
shop for healthy foods found in local
grocery stores. For more information call
752-7374.
UNIVERSITY COMMTTTFF;
Applications are now being accepted for
students wishing to serve on University
Committees for the 1988-89 school year.
Thirty student positions are open.
Committees with vacancies are: Alcohol
Drug Education Committee (1), Resi-
dence Life and Housing Committee (2),
Status of Minorities Committee (4), Status
of Women Committee (5), Student Health
Services Committee (3), Admissions
Committee (1), Calendar Committee (1),
Career Education Committee (1), Con-
tinuing Education Committee (1), Credits
Committee (1), Curriculum Committee
(1), General College Committee (1), Li-
braries Committee (1), Student Recruit-
ment and Retention Committee (1).
Teaching Effectiveness Committee (3),
and Faculty Computer Committee (1).
Applications are available at the follow-
ing locations: Oltice ot trie Vice Chancel-
lor for Student Life, 204 Whichard; Men-
denhall Student Center Information Desk,
SGA Office, Mendenhall Student Center;
and Residence Hall Director's Offices.
Questions about University Committees
and memberships may be directed to the
Office of the Vice Chancellor for Student
Life (757-6541). Applications must be
turned in to 204 Whichard Building by
Sept. 1.
A meeting for prospective academic ru-
tors for athletes will be held Wednesda)
4:30 p.m. to 6 pm at the Pirate Club For
more information, call Lisa at 757-6053
CHORAL SOCIFTY
The Greenville Choral Society will beg n
rehearsals for its 19th season at 7:30 pm,
Sept. 6. Singers interested in fining
should audition on Sun da v at St James
United Methodist Church, 2000 E. 6th St
between 2 p.m. and 4 pm Contact the
musical director. Dr. Rhonda Fleming at
736-3618.
YEARBOOK STAFF
Staff positions are available for the follow-
ing positions, layout artist, business man
agers, writers and sport editors. To applv
go by the Buccaneer office or the Media
Board Secretary's office for application
We arc located on the second floor of the
Publications Building. Application dead
line is September 2
Don't stress on cash, let your neighbors
NEW YORK (AP) ? For a re- cial horrors worrvvou not Krr?i;?r ??,?;??ij ?????.? ???. . . .?? .
NEW YORK (AP) - - For a re-
freshing change, try the long-term
economic view.
It can relieve you of stress,
improve your disposihon, allow
cial horrors worry you not. boggling, emotion-juggling expe-
Good riddance to the daily rience, made all the worse by the
worries; yours is the long-term realization that there isn't a thing
vicw- that can be done to overcome the
Incredibly, the long-term view forces affecting the investments,
you to appreciate simple things has been almost forgotten over It is helplessness,
like a good night's sleep, and the past year, although experi- in contrast, the long-run view
probably put a few dollars in your ence shows it is the only realistic requires little activity of any sort. r ; U1(111 , pncc
pocket too. way to view a portfolio. Investors Itiseasyonthencrves. And, while earnings ratio for the 500 stocks
While your neighbors in the have bben caught, instead, in the assurance of profit can never be added another 2 1 percent for I
game of financial survival cast game of trading. accepted as a given, there's a good total return ofl4.2 percent'
furtive glances over their shoul- Traders try to outguess the chance the long-term investor While five years often includes
ders, your demeanor is carefree. market. They are nearsighted, so will win out. a complete cycle of bull and bear
la ted the annual rates of return for
the stocks in the Standard &
Poor's 500-stock average for the
past five years, and found this:
Divident income of 3.7 percent
and earnings growth of 8.4 per-
cent, for an earned return of 12.1
percent. Changes in the price-
All the bad news bounces off
you: Interest rates, the consumer
prive index, the balance of pay-
their view extends from a few
hours to a few months. They cal-
culate the value of their invest-
After all, over the long-term, markets, the latest five-year pe-
economic booms and busts cancel riod is an exception. But, tracing
out each other, as do volatile the periods all the way back to
? . ,? ? i i 3 i ,? J j -i .tm ? wul c??i uuni as uu vuidiiic me penoas ail tne wav back to
ments deficit, the budget deficit, ments daily They can see them- swings in stock prices. Over time, 1929-1934, Wright found the an-
the decline of your particular selves as rich or poor in the same sound stocks move jn line with nual return still came to 10 9 oer-
stocks. Warnings of future finan- day. fundamental equity values. cent.
It is a nerve-wrecking, mind- Wright Investors'Servicecalcu- After examining this evidence
Wright projects that over the next seven years,
five years, to June 30, 1993, we Sevcnycars might seem like an
might reasonably expect an an- age to those who have been fo-
rmal average of 3.5 percent divi- a, on the ncxt fcw wccks but
dend return and 7.7 percent earn- it isn't ior gome of the most re-
ings growth. spected and successful investors.
Because current pnee-earnings They know they can't outguess
ratios average somewhat higher the market; but thev understand
than they have over the past 40
years, Wright projected no
growth in this sector. In fact, he
deducted 0.6 percent, for a total
annual return of 10.6 percent.
These returns are averages,
which means some quality stocks
may perform even better, perhaps
doubling in the next five-year
period. But even if your stocks
perform only to the average,
you'd double your money in
also that time and a growing
American economv favor them.
Int he long-term view, what
might seem mountainous ob-
stacles get reduced to specks.
Even bear markets, terror of
short-termers, are not feared. In
fact, patient investors consider
them opportunties.
o
c
S
o
s
S
I
t
t
ti
s
o
t.
S
c
c
a
8
d
b
tl
a
tl
R
w
e
U
3
ti-
le
a
r?
i
1
cc
t
m
w
v
U
A
e.
si
is
ir
ex
a
P
"i
ti.
sc
ex
re
w
tr
cl
ti
ai
b
ft
v
P
n
Rai
NR LHI, In.
Monsoon rains ramp
to dig through mount
today for m
earthquake thai -
peopk :
homes in the Ind
region.
The d? at! -
climb in Sunda
quake, which tr
slides ai
mountain .
in years '
extensive dama.
third o( its
they had yel I ?
from t!
hardi ?
knocked out
riK il
least
The I
fi
Shan
Bihai
arc isii
The
the !r
ten:a ? - "
u ?
the d
crumbled
morg
les v. rap I
darr
w itl
In Ind
medicine a
overcrowded
arrr .
for
But the ?
subcontin - I
usu
han
11he i i
hinder
work- to SOI
thi-
f ?
ministei
fain ?
He said
dlStl
age The hard
be Dharai
bordv r region v.
Main res
avoided d
CREP LO
hone -? I Mai
said ? ? '
the I v '
ser i
me
? 3
Nearl
?
the
aw
Corps ivas ? n
would 1 resci
wei
Dui
Gr.
scr. (
SUN ' - '
joined in Ii
Wee -
ing
on S 1 Sur
t)ll their m
Q
. ?
cm
and and a
tiveon
to enter t ' i j
is
men! was aotj
John R
boro bus
that thx
on him in! s I
Guilford I fi
posed l
sire to tight in it
'But I st I
countr) and I - as
it said R ?
Air Force - Air Postal)
When he applied,
brass were in
education backgi i
ceptcd him.
He was like ow I
They were busini
the week, and PPC a:
stripes on weekend
white, and many
degrees A few uj
wealthy. A Reynold
Winston-Salem I
and a Cone from the
textile family were
the local Coast Guaral
Many of the rcscrf
Triad joined tot the
Quayle, who is bcifj
using the Guard to
nam, has said he
wanted to fulfill tl
obligation as painlessj
as little interruption





JLars Ws
VR aLE: HUNTER
llJISER BIKES IN
OCK REGULARLY
59.95. SALE PRICE
9.95. BRAND NEW!
rR MORE INFORMA-
NT. CALL MARSH'S
liF SHOP 355-6680.
R SALE: 50 OFF
MMER STOCK. COME
MARSH'S SURF SHOP
iR THE SCOOP!
iATION AND
ITMENT
S NEEDED
Apartment is recruiting for
11 semester program.
ge in soccer skills and
icants must be able to
r fundamentals. Hours
riday. Some night and
id from September to mid
per hour. Applicants will
Ben James at 830-4543.
SPECIAL
300 OFF!
Greenvilles
Most
desirable
address
?e bedroom apartments
fnts. Private deck with
with sliding glass doors
in each apartment
j tor alt windows, tile foyer
Phone (919) 355-2198
Hours M-F 10 a.m 6 p.m.
lay 12 p.m. - 4 p.m.
ky 1p.m. - 4 p.m.
1
I
WELCOME BACK
I00MMATE SPECIAL
Up To $300 Off
Ids fie First Three Months Rev On A j
fenfi Lease for A 2 BR AparTient
J
ATHLETIC TUTOR
Sting for prospective academic tu-
h athletes will be held Wednesday
m. to 6 p m at the Pirate Club. For
Jr.formation, call Lisa at 757-6053.
CHORAI SOCIETY
Ireenville Choral Society will begin
als for its 19th season at 7:30 pm,
6 Singers interested in joining
audition on Sunday at St. James
Methodist Church, 2000 E. 6th St.
en 2 p m and 4 p.m. Contact the
a! director, Dr. Rhonda Fleming, at
118.
YEARBOOK STAFE
sitions are available for the follow-
sitions layout artist, business man-
I writers and sport editors. To apply
I the Buccaneer office or the Media
Secretary's office for application.
c located on the second floor of the
jtions Building. Application dcad-
September 2.
rs
years,
cnyears might seem like an
to those who have been fo-
on the next few weeks, but
't for some of the most re-
ted and successful investors,
know they can't outguess
larkct; but they understand
that time and a growing
ncan economy favor them.
he long-term view, what
it seem mountainous ob-
is get reduced to specks,
bear markets, terror of
termers, are not feared. In
patient investors consider
opportunries.
THE EAST CAROLiNlAN
AUGUST 23,1988 7
Rain complicates rescue efforts in India
NEW DELHI, India (AP) - at least 131 people died. Indian states and central and east-
Monsoon rains hampered efforts "It may be three days before em Nepal,
to dig through mounds of debris communication is restored and Rail tracks sank into the soggy
today for more victims of an we get reports of the damage ground and bridges over rising
earthquake that killed at least 650 said one Nepalese Foreign Minis- rivers cracked, paralyzing train
people as it flattened thousands of try official, speaking on condition service and road travel in many
homes in the India-Nepal border of anonymity. parts of the devastated areas.
region. Prime Minister Marich Man Parts of northern Bangladesh
The death toll was expected to Singh Shrestha of Nepal visited and the capital, Dhaka, also felt
climb in Sunday's pre-dawn some of the victims at Bir Hospital the tremor. There were reports
quake, which triggered land- in his capital, Katmandu. that 50 people were injured, most
slides and floods and was the The quake roused people from by jumping from their houses
mountainous region's deadliest their sleep in Bihar and nine other during the quake,
in 38 years. Nepal reported
extensive damage in nearly a
third of its territory.
Officials in both countries said
they had yet to receive reports
from the remote Himalayan areas
hardest hit by the trcmblor, which
knocked out power and commu-
nications and was said to injure at
least 3,000 people.
"The tolls have come in only
from urban areas said V.K.
Sharma, a deputy secretary in
Bihar state, one of the hardest hit
areas in India.
The quake, centered almost on
the India-Nepal border, regis-
tered 6.5 on the Richtcr scale.
Indian television today showed
the devastation in Bihar:
crumbled buildings, makeshift
morgues lined with rows of bod-
ies wrapped in white shrouds,
damaged hospital wards packed
with survivors.
In India, medical teams carried
medicine and other supplies to
overcrowded hospitals and the
army was deployed to help search
for victims.
But the monsoons, which hit the
subcontinent in late June and
usually last through September,
hampered relief operations.
"The rains have been a great
hinderancc in carrying out rescue
works. Access to some areas of
this mountain country is impos-
sible Niranjan Thapa, Nepal's
minister of State for Home Af-
fairs, told a news conference
He said 21 of the kingdom's 75
districts suffered extensive dam-
age. The hardest hit appeared to
be Dharan, a sparsely populated
border region where Thapa said
Witnesses in Darbhanga, an flooded nearly 50 villages. Offi-
Indian city of 800,000 about 45 cials said at least 45 people died,
miles south of the epicenter, said but it was not known whether the
the only warnings were hissing
sounds, rattling doors and crack-
ing windows.
In India, more than 25,000
houses were flattened in
Darbhanga, as well as the districts collapsing buildings
deaths were due to floods or col-
lapsing houses.
Indian officials reported at least
200 people dead and more than quake, as measured by ground
2,000 injured, most by debris from motion recorded on a seismo-
climb.
It was the worst quake to strike
the region in 38 years.
The Richter scale is a gauge of
energy released by an earth
of Munger and Madhubani, offi-
cials said.
In Madhubani, the Bhootahi
Balan River jumped its banks and
graph. Every increase of one
In Nepal, Thapa told a news number means the ground mo-
conference at least 450 were dead tion is 10 times greater. A quake of
and up to 1,000 injured and that magnitude 6 can cause severe
officials expected the numbers to damage in populated areas.
Welcome Back Students 81 Faculty
Many reserves
avoided draft
GREENSBORO (AP) ? "Be
honest the Marine Corps major
said that day in the early 1970s at
the old Naval-Marine Corps Re-
serve Center in Greensboro. "Tell
me, how many of you joined this
reserve unit to avoid the draft?"
Nearly all 250 hands shot up.
Vietnam was winding down
then. There was talk of doing
away with the draft. The Marine
Corps was worried about how it
would fill reserve units if no draft
were hanging over the heads of
young American males.
During the Vietnam era,
Greensboro was a haven for re-
serve and National Guard units
such as the one Sen. Dan Quaylc
joined in Indiana in 1969.
Weekend warriors represent-
ing all branches of service came
on Saturdays and Sundays to ful-
fill their military obligations.
Questions have been raised
over whether Quale, the Republi-
can vice presidential nominee
and and a pro-military conserva-
tive on Capitol Hill, pulled strings
to enter the National Guard in
1969 as his college draft defer-
ment was aobut to end.
John Redhead II, now a Greens-
boro businessman, remembers
that the draft was bearing down
on him in 1966 as he was finishing
Guilford College. He was op-
posed to the war and had no de-
sire to fight in it.
'But I still v anted to serve my
country and t! is was a way to do
it said Redhead, who joined the
Air Force's Air Postal Unit.
When he applied, he said, the
brass were impressed with his
education background and ac-
cepted him.
He was like most reservists.
They wore business suits during
the week, and PFC and corporal
stripes on weekends. Most were
white, and many had college
degrees. A few were super
wealthy. A Reynolds from the
Winston-Salcm tobacco family
and a Cone from the Greensboro
textile family were members of
the local Coast Guard Reserve.
Many of the reservists in the
Triad joined for the same reason
Quaylc, who is being accused of
using the Guard to dodce Viet-
nam, has said he did. They
wanted to fulfill their military
obligation as painlessly and with
as little interruption to careers
OVERTON'6
SupmvM
iei o? ii
a
Prices Effective Tues. Aug. 23
i it
WE'RE CHANGING TO
BETTER SERVE YOU!
SALAD BAR
Build your "Perfect Salad" at "Greenville's
Freshest Salad Bar" featuring a rotating
variety of over 60 items all freshly prepared
for you!
Choose from the freshest ingredients
including meats, vegetables, cheeses, pasta
salads and more!
HOT FOOD BAR
Scoop up a hot meal with that "Home-
Cooked Goodness Choose from two
meat entrees daily, plus vegetables and
dessert. It's prepared fresh daily!
BAKERY
Take home a loaf of our freshly baked
bread! It's all natural and comes in many
varieties, including wheat, sourdough,
french, rye, pumpernickel, white, cheese,
and more! Our bakery also features freshly
baiced pies, pastries, and cookies!
SALAD BAR - 'TAKE OUT ONLY" EXCELLENT FOR THOSE OF YOU WHO
WANT TO EAT ON THE LIGHT SIDEOVER 50 ROTATING
ITEMSINCLUDING FRESH DESERTS,
BANANA PUDDIN YOGURT, AND LOTS OF FRESH
SALADS.
ONLY 2.19 PER LB. - TRY IT ITS GREENVILLE'S FRESHEST SALAD BAR!
THE BEST PART OF OUR FOOD BAR IS OUR QUALITY AND FRESHNESS.
Busch Beer
3.99
lb
12-12 oz. cansctn
Pepsi-Cola
79?
2 liter bottels - Limit 4
Hot Bar - Take out food. Cooked Fresh Daily From
Scratch. Taste Just Like Mom's Home Cookin - Also
Its Nutritional Lots Better For You Than Fast Food
Restaurants Only 2.19 per lb. Come See It
It's Very Very Good!
Fresh Ground
Beef
h
5 lb. pkg. or more
Shultz Pretzels
Buy 1 Get 1
FREE
16 oz. bag 1.59
See Our Large Selection of
party items! Foam coolers,
charcoal grills, picnic,
items plus much, much,
more!
Lays Potato
Chips
Western Sirloin
Steaks . .
1.99
lb
Great For Cookouts
Taste Great
Homogenized Milk
12 gal. plastic jug
lb
In Our Deli
Cooked Ham 2.99 lb.
Roast Beef 3.991b.
Kingsford
Charcoal
2.59
10
lb. bag
Golden Bananas
lb
"Greenville's Lowest Price'
Complete Variety of Budweiser
Kegs regular pony! Sorry
Budweiser Kegs Only! We do
not stock other brands!
Coupon book available at
U.B.E. use your E.CU. 10
Discount with student I.D.
CoTUrt
MAlL
MAu
HAU.
f8T ftuilitrt(r
Fiptm JsTfteer
fOiflTW
-Ufifi.
SToeer
srft?j
STORE HOURS:
OPEN 8 AM - 8 PM
MON. THRU. SAT.
SUNDAYS 1-6 PM
FOOD BARS:
OPEN 11 AM - 7 PM
MON. THRU SAT.
OVERTON'S SHOPPING CENTER IS
CONVENIENTLY LOCATED
WITHIN WALKING DISTANCE OF ECU
ON THE CORNER OF
3RD AND JARVIS STREETS! JUST
2 BLOCKS FROM ECU! ,
l?
&
h

Come by and visit our newly remodeled
laundromat!
New equipment and a fresh new look!
Watch for specials later!
SHOP WHERE THE PIRATES SHOP FOR PRICE,
QUALITY, AND CONVENIENCE!
THE PIRATES AND
OVERTON'S
A WINNING
COMBINATION
OVERTON'S
sl





8
THE EAST CAROLINIAN
AUGUST 23,1988
Bush covers for Quayle, takes the heat
(AP) - Republican presidential
nominee George Bush says he
thinks running mate Dan Quayle
will surmount flaps over his Viet-
nam-era National Guard sign-up
and his law school admission, but
that in the meantime, "I've got to
take the heat
Bush said Sunday that he re-
mains upbeat about his election
prospects despite questions about
the extent to which family influ-
ence helped Quayle avoid being
drafted and got him into law
school even though he didn't
meet admission requirements.
Democratic nominee Michael
Dukakis is responding to the con-
troversy by noting that the quali-
fications of his own vice presiden-
tial choice, Sen. Lloyd Bentsen,
have not come under attack. Oth-
erwise, Dukakis has kept to his
own campaign themes and today
was visiting northeastern Massa-
chusetts, a region he often cites
when discussing his record of
economic development.
Bush had a speech scheduled to
a Veterans of Foreign Wars con-
vention in Chicago.
Bush was clearly unhappy Sun-
day with the intense scrutiny of
Quayle's background and with
Democratic criticism of his own
decision-making. He said he's
sticking with Quayle, with 'no
hesitancy but that the Indiana
senator needs time "to get his act
together" before campaigning on
his own.
Bush, who conducted joint
appearances with Quayle in the
Midwest over the weekend, said
Quayle will begin campaigning
alone "as soon as he can get
squared away" with a staff and a
schedule of appearances.
Throughout their appearances
in Indiana and Ohio, questions
continued to be raised about the
circumstances of Quayle's enlist-
ment in the Guard at the height of
the Vietnam War in 1969. He was
22 then, and described himself at
the time as a supporter of the war.
Quayle has said that before his
student deferment from the draft
expired, he discussed with his
family his desire to join the
Guard. A former top newspaper
employee of the family said he
interceded with the Guard on
Quayle's behalf.
Questions also are being re-
leased about Quayle's law school ?
admission. The Cleveland Plain
Dealer reported Sunday that
Quayle did not meet the academic
requirements of Indian Univer-
sity law school but got in anyway
after meeting with the admissions
dean, a Republican judge in a city
where Quayle's family owned the
local newspaper.
The Plain Dealer quoted
Quayle's father, James C. Quayle,
as saying his son met with the
dean after being initially rejected
by the law school. "He talked his
way in the elder Quayle said.
Bush dismissed questions
about the law school admission
by saying "I don't see that there's
an enormous demand from the
public to learn this guy's high
school grades
Senate Minority Leader Bob
Dole, R-Kan appearing yn NBC-
TV's "Meet the Press said Bush
campaign chairman James A.
Baker III had told him that he
believed the military issue was
"pretty much behind them But
Dole said his own opinion is that
"it's going to last awhile
Democrats were quick to chal-
lenge Bush's decision-making
ability.
"Why did George Bush pick
Daniel Quayle? That's got to be
the question House Democratic
Whip Tony Coelho, D-Calif said
on CBS-TV's "Face the Nation"
program. "His first presidential
decision was Dan Quayle. Mi-
chael Dukakis' first presidential
decision was Lloyd Bentsen
Discussing his admission to the
Guard when many other young
men were being drafted and sent
to combat in Vietnam, Quayle
mmmmmmmmmmmmmmmmmmmmmm
said, "I got in fairly, no rules were
broken
He received a warm reception
over the weekend in his home-
town of Huntington, Ind where
the crowd booed reporters' ques-
tions about his military record,
but he also has run into some criti-
cism already on the campaign
trail, including chants of "Quayle,
who went in your place?" and
signs reading "This Quayle is a
chicken
Space Ghost? says, East
Carolinian Features are Boss!
HOME DELI VERY?
CONTACT TOM FURR, Circulation Manager
757-6366
Universities pay competitive
salaries to lure educators
RALEIGH (AP) - Competition
among universities for highly
regarded professors is nothing
new, but it is attracting national
attention as schools become more
unabashed in their recruiting tac-
tics, educators say.
For example, more and more
schools are offering double sala-
ries. Others promise jobs for hus-
bands and wives.
Some lure their big fish with
perks such as additional research
assistants or help in finding a new
home.
The reasons for such aggressive
approaches are many.
Gillian Cell, dean of the College
of Arts and Sciences at the Univcr-
sity of North Carolina at Chapel
Hilhattributed the keener compe-
tition for professors to a drop in
the number of students pursuing
doctoral degrees, a trend she said
started in the early 1970s when
college teaching jobs were scarce.
Others attribute the scholar-
chase to the fact that many of the
nation's professors are nearing
retirement age. Future-minded
schools are hiring now so as not to
be caught short in the coming
decade.
Perhaps most compelling, pro-
fessors with national reputations
are seen as magnets for top gradu-
ate students and lucrative re-
search grants. Both boost a
school's reputation and, at least in
theory, produce higher-quality
classroom teaching.
Yet since 1980, faculty salaries
at UNC-CH and N.C. State Uni-
versity have fallen behind those
offered by major research cam-
puses in many other states, re-
search shows.
In 1980, the American Associa-
tion of University Professors'
annual salary study ranked UNC-
CH in the top tier of major re-
search universities.
Since then, it has fallen to the
association's second tier.
During the 1986-87 school year,
the average salary for a full pro-
fessor was $52,800 at NCSU and
$53,200 at UNC-CH - roughly
$4,000 and $6,000 less than the
average professor's pay at Duke
and the University of Virginia.
This summer, North Carolina
legislators approved an average
pay raise for UNC system faculty
of 4.5 percent, of which 2.5 percent
is to be awarded according to
merit.
Thaf s not enough, say educa-
tors.
"How much merit can you give
when you have 2.5 percent?"
asked Lawrence Gilbert, chair-
man of the biology department at
UNC-CH. "At a private institu-
tion they can always find the
money
GREENVILLE RECREATION AND
PARKS DEPARTMENT
SOCCER COACHES NEEDED
The Greenville Recreation and Parks Department is
recruiting for 10-14 part-time soccer coaches for the fall
semester program. Applicants must possess some
knowledge in soccer skills and have patience to work
with youth. Applicants must be able to coach young
people, ages 5-15 in soccer fundamentals. Hours ap-
proximately 3-7 p.m. Monday thru Friday. Some night
and weekend coaching. Program will extend from Sep-
tember to mid November. Salary rate is $3.55 to $4.35
per hour. Applicants will be accepted starting August
20. Contact Ben James at 830-4543.
IMPORT SERVICE
? Finest in Foreign Car Repair
? We repair Toyota, Honda, VW, Fiat, Porsche,
Volvo, Datsun, Lotus, Mercedes, BMW,
Audi, Subaru and others
We Sell A Complete Line of Synthetic
Lubricant Products.
4500 Sq. Ft.
2204 Dickinson Ave.
756-9434
Welcomes Back
The
Students Of ECU
Wednesday, August 24
8:00 P.M. Hendrix
THE STEPFATHER
Thursday, August 25 - Sunday, August 28
8:00 P.M. Hendrix
SCHOOL DAZE
Wednesday, August 31
8:00 P.M. Hendrix
NUTS
TAKE A BITE OUT OF THE BIG APPLE
Sign Up Now For The New York Trip
Scheduled During Thanksgiving Break
For More Information Contact the Central
Ticket Office at 757-6611
Faceli
TEG A C AY, S.C. (AP) ? Rol
Rubino says he is completely
decorating the former home
Jim and Tammy Bakker,changu
it from an elegant, if somctim
gaudy, showplace to an open ai
airy California styk home
And Rubino says he hopes o
day, the infamy over the term,
parsonage will die down.
"It's just a house anelithappej
to be little famous Rubir
ofthel0,266-siuar?. fx :i
bought on Lake V. .
$685,000.
He said a lot of curious
still stroll dovn his di
!ook at the house t at once
longed to the PTL found
The gold-plated
room fixtures and the gi
pet that covers most of
will be rcmo
foot closet will be c
bedroom
The house he t n j u ne l
four bedrooms, f i e hat! r
36-foot-long swimming p
boatdock, a marble'
cise room, i mu
Strike p
authorit
GDANSK, Poland '
dreds of worker-
Hags and chanting S
seized the Lenin j
joining a strike wa
the most scry
Communist auth i
1981.
New labor
also reported today b
a tractor plant
and a defenses el
in southeastern P
In occupying the I
vard for a sc nd time
the worker- br
the number of enU rj
fee ted by a strii
began a week ago a I a i
Silesia.
In all, at least 76,4
were idled.
The outl
trade union movement h
theLcnin shipyard s 10 D00w
ersto walk oft the job t I
government t. i
ity and increase wag -
Striking min rs
coal mines in Sib
industrial heartland in I i
west, and transit and d k
ers were i lie in Sac;
country ? large at
Gdansk.
Not since the lab i
Joe Harris and The 1 last (
Tuesd
Gather the f
witl
Gene Ewii
exclusive
Cer,
T
? ? ? ? A
unique clotl
contempon
Arlington Village
652 E. Arlington J





I
THE EAST CAROLINIAN
AUGUST 23,1988 9
eat
, "I got in fairly, no rules were
Ie received a warm reception
Icr the weekend in his home-
n of Huntington, Ind where
crowd booed reporters' qucs-
pns about his military record,
t e also has ran into some criti-
n already on the campaign
1. including chants of "Quayle,
j went in your place?" and
is reading 'This Quayle is a
ken
h
mager
it
ust 28
PLE
Trip
reak
Central
I
I
?
?
I
Facelift given to Bakker house
Male stripper arrested
TEG A CAY, S.C. (AP) ? Robert
Rubino says he is completely re-
decorating the former home of
'imand Tammy Bakker, changing
t from an elegant, if sometimes
gaudy, showplacc to an open and
nry California-style home.
And Rubino says he hopes one
lay, the infamy over the former
parsonage will die down.
"It's just a house and it happens
to be a little famous Rubino said
t the 10,266- square foot house he
bought on Lake Wylie for
! 685,000.
1 ie said a lot of curious people
ill stroll down his driveway to
vk at the house t.at once be-
longed to the PTL founder.
The gold-plated swan bath-
room fixtures and the green car-
pet that covers most of the house
il! be removed, and a 19-by-22-
foot closet will be changed into a
cdroom.
The house he bought in J une has
our bedrooms, five bathrooms, a
6-foot-long swimming pool, a
vat dock, a marble foyer, an exer-
ise room, a music room, and a
kitchen full of appliances.
Some of the furniture and appli-
ances were included in the sale of
the house. Rubino said that he will
keep most of the appliances, but
the Bakkers' furniture is just not
his taste.
"This house just eats furniture
Rubino said in reference to its
sheer size. He has bought some of
his own furnishings and moved
others around, but can't seemed
to fill the rooms.
The dining room now has three
dining tables. Rubino will get rid
of them and replace them with
one larger table, which may have
to be custom made.
The decorators will soon be
knocking out walls, icaring up
carpet and paneling and creating
the relaxed atmosphere Rubino
wants.
"1 looked at the house and it was
just what I wanted he said. "1 am
going to make it into a very up-
beat California look
The iiving room is huge, but
dark. Rubino hopes to brighten it
by removing some of the brick on
one wall and perhaps even doing
away with some or all of the pan-
cling.
As part of a tour of the house,
Rubino notes the secret room built
in the basement. Hidden behind a
bookcase, the narrow room is
crudely built with shelves and
metal door to the outside.
An exercise room decorated
with silver carpet and wallpaper
will be made into a game room.
Rubino will bring in his pool table
and a video game belonging to the
Bakkers.
Outside the game room is what
Rubino calls the family room. It
has extensive ceiling lighting,
which makes Rubino speculate it
was once used as a studio for
taping.
A small room, which was once
filled with plants, could require
the most work. A lcakly roof
caused some structural damage,
but once all repairs are made, it
will be "a room right out of Casa-
blanca Rubino wants it to in-
clude wicker furniture and have a
South Seas motif.
Besides the damage from the
leaky roof, the fact that the house
has been vacant for a year is evi-
dent elsewhere. The paint on the
pool has chipped, the grounds are
overgrow a and the patio furni-
ture left outside has decayed.
A fishing pole sits on the patio
but Rubino said it is not his.
"I like to fish at a good restau-
rant he said with a chuckle.
Secluded behind trees is a two-
story playhouse. Heated in the
winter and coolod by an air condi-
tioner during the summer, it will
be spruced up and used for his
foster grandchild and any other
children who visit, Rubino said.
"It's in an attractive setting and
quiet he said.
Rubino has business ventures
in New York and Europe but will
move his headquarters to Char-
lotte, N.C to be near his new
home.
His main investment is in a
company that makes municipal
garbage-burning units that turn
garbage into electricity.
LOS ANGELES (AP) ? A male
dancer went too far during a
Chippendales nightclub strip-
tease being watched by 120
women anc1 two undercover po-
lice officers, who arrested the
performer for lewd conduct, au-
thorities said.
Bernard Tavis, 23, was booked
David Levi, Chippendales gen-
eral manager, said the arrest was
"another attempt by the police
department to harass Chippen-
dales The nightclub recently
faced closure for allegedly violat-
ing fire department regulations
on overcrowding.
"The same act has been done at
for investigation of committing thecluband on the 'Donahue' and
lewd acts, allegedly exposing 'Geralde' shows he said.
himself, during his solo perform-
ance Saturday night.
Tavis was released on his own
recognizance and ordered to ap-
pear in court Sept. 14, said police
Sgt. Kevin Kurzhals.
Strike poses challenge to Communist
authorities in newest Solidarity actions
'If it can be done on national
television I don't see why it can't
be done in a nightclub
Tavis' arrest was in response to
a complaint, said police officer
Jack Rinallo, who declined to
i describe the alleged lewd act.
GDANSK, Poland (AP) - Hun
dreds of workers carrying Polish
flags and chanting "Solidarity"
seized the Lenin shipyard today,
joining a strike wave that poses
the most serious challenge to
Communist authorities since
1981.
New labor disturbances were
also reported today by activists at
i tractor plant outside Warsaw
and a defense-oriented steel mill
i southeastern Poland.
In occupying the Lenin ship-
yard for a second time this year,
the workers brought to at least 13
the number of enterprises af-
fected by a string of strikes that
began a week ago at a co.il mine in
Sil( -ia.
i all, at least 76,400 workers
were idled.
l he outlawed Solidarity freed
trade union movement had urged
the Lenin shipyard's 10,000 work-
ers to walk off the job to force the
government to reinstate Solidar-
ity and increase wages.
Striking miners occupied 10
coal mines in Silesia, the country's
industrial heartland in the south-
west, and transit and dock work-
ers were idle in Szczecin, the
untry's largest port after
Gdansk.
Not since the labor unrest that
led to the 1981 military crack
down on Solidarity have authori-
ties had to confront strikes on
such a scale. Wages are lagging far
behind 60 percent inflation,
which is aggravated by average
40 percent price increases.
There was no sign of police in-
terference as about 400 workers
marched around the sprawling
Lenin shipyard and took over the
main gate 2 12 hours after the
day shift began.
They chanted Solidarity slo-
gans and posted strike banners on
the fence, helping some support-
ers who had been locked out to
scramble over the gate.
"Everything is closed and the
whole shipyard is on strike
Solidarity's national leader Lech
Walesa said by telephone f r om his
home in Gdansk.
He said he was inside the yard
briefly today aixi was surpribed
by the enthusiasm of the strikers.
Walesa offered Sunday not to
waiting for serious talks The government, which has
There was no independent veri- refused to negotiate with Solidar-
fication of Walesa's claim that the
entire yard had joined the strike.
Reporters were not allowed into
the yard and there was no an-
nouncement bv the official news
agency PAP.
The Lenin shipyard, where Soli-
darity was born eight years ago
this month, also was the scene of
an eight-day strike in May that
ended inconclusively.
An opposition activist in War-
saw reported an attempt to start a
strike at the 14,000-worker Ursus
tractor plant outside Warsaw A
rally at the plant was dispersed by
police during the morning shift,
resulting in three detentions, said
activist Maciej Jankowski.
In southeastern Poland, work-
ers rallied at the lS,000-employee
Stalowa Wola steel mill and
heavy machinery plant, said Ewa
Kuberna, a Soli darity organizer in
the city. She said a strike had
goahcad with the shipyard strike begun, but there was no official
it the government agreed to talks, confirmation of the report,
but he said today that authorities The government-controlled
had refused to engage in dialogue media has called the strikes illegal
with workers and stressed their rising cost to
"I wanted to avoid strikes he the economy. Coal is Poland's
said. "We shouldn't be striking, leadingexport and a major source
We should be working. But there o( hard currency to service its $39
was no other choice We are still billion foreign debt.
j foe Harris and The East Carolinian news team keep you on top of the school events. Join them every
Tuesday and Thursday only in The East Carolinian.
t5Si
Gather the fall harvest
with
Gene Ewing for Bis
exclusively at
Certain
Thines
unique clothing for the
contemporary woman
ity, has not stated how it intends
to deal with the strikes.
Police and riot troops were seen
gathering around two Szczecin
shipyards which have not gone
on strike, strike leaders said. They
also patrolled the streets of
Gdansk.
WELCOME BACK ECU TO
stem bo's
?THE ORIGINAL HARDEE
Corner 5th and Rcade St. (next to Stop Shop)
Phone 830-5476
Fresh Ground Hamburger
We Cook Our Own Barbecue
Serving:
SEVEN SPECIALS EACH DAY
1 4 lb. Hamburger Dressed, New style French Fries
&Large Drink $2.19
Serving:
Shrimp Dinners Bar-B-Q Dinners
Chicken Dinners Fish Dinners
Bar-B-Q & Chicken Shrimp & Fish
All dinners served with slaw, french fries, hushpuppies
Our French Fries will make your day.
Open 10 a.m. til 1 a.m. - Closed Sunday
offmaris
MENS WEAR
Khaki
and
Bucks
Khakis and Dirty Bucks
have been a by-word in
every young man's ward-
robe since World War II.
We're not sure who can take
credit for first putting the
two together, but the love
affair for these two timeless
pieces of clothing continues
both on and off campus.
This fall Coffman's con-
tinues to offer you some
great values to help you
build your fall wardrobe.
Khakis and Bucksbasics for a
young man's campus or
weekend wardrobe. At all
three of our Coffman's
stores you'll find these spe-
cial values during August.
Pre-washed cotton
Duckheadspleated
pair for
45.95
Our Own Coffman's
Fine Quality Khakisplain front 2 pair for 62.95
pleated Z pair for u9.95
Our Own Coffman's
? Dirty Bucks. . .

59.50
oPPmans
MENS "AR
DOWNTOWN GREENVILLE
CAROLINA EAST MALL
TARRYTOWN MALL - Rocky Mount





9
10
THE EAST CAROLINIAN
AUGUST 23,1988
Arabs protest Israeli taxs
JERUSALEM (AP) ? A Pales-
tinian died today of a bullet
Arab news reports said the inju-
ries came when plainclothes secu-
wound suffered in a nighttime rity agents opened fire after activ-
clash in the West Bank, hospital ists warned Palestinians through
officials said, and Arabs stifled loudspeakers that Israelis were in
commerce for a second day with a the camp,
general strike protesting Israeli After the incident, soldiers
tax raids. imposed a curfew on Askar, two
Meanwhile, the radical Pales- neighboring refugee camps and
tinian guerrilla group led by Abu the city of Nablus, the army said.
Nidal claimed responsibility for a The restrictions confined about
weekend grenade attack in the 140,000 people to their homes.
Israeli port city of Haifa that in- The Palestinian general strike
jured 25 people. was called in leaflets issued ear-
hurling a grenade at a crowded claim came in a statement from
sidewalk cafe Saturday night that njs Fatah-Revolutionary Council
wounded 25 people. faction, published in the Beirut
The Palestinian guerrilla group
led by Abu Nidal today claimed independent newspaper An-
responsibility for the attack. The Nahar.
Mayor Fitts imposes water restraints
Officials at Al Ittihad Hospital
in Nablus identified the dead man
as Ahamad Sharnobi, 22, of Askar
refugee camp.
He was the third Palestinian
fatality since Sunday and the
252nd in violence since Dec. 8,
licr this month by the under-
ground United national Leader-
ship of the Uprising.
It shut down public transporta-
tion and shops in Israeli-annexed
Arab east Jerusalem and major
cities in the occupied territories
when Palestinian revolted aginst including Nablus, Ramallah,
21 years of Israeli occupation in Hebron and Bethlehem, Arab
the West Bank and Gaza Strip, news reports said.
Four Israelis have been killed. Near Bethlehem, a group of 17
Three other Palestinians wer masked Palestinian youths gath-
also wounded in the nighttime ered on the Hebron-Jerusalem
clash, the officials said, speaking highway and stoned dozens of
SILER CITY, N.C. (AP) Mayor
Earl B. Fitts ordered strict limits
on water use today, and warned
that tighter restricitons would be
needed in another week unless
the town gets substantial rainfall.
"The level of our major reser-
voir has declined by 6 feet, 3
inches, " Fitts said in a news re-
lease.
"The town estimates that ap-
proximately 44 percent of our raw
water reserves from all sources
remain. This translates into ap-
proximately 41 days of consump-
consumption by 20 percent or try
to limit water use to 50 gallons a
day per person in the household
or business.
Town officials will check me-
ters of large water uses daily to
monitor consumption. Violators
will face citations for using too
much water, and those violating
the limits three times could have
water services terminated.
Chatham Hospital, Meadow-
brook Manor and Chatham
County schools are exempt from
the restrictions, but are being
tion remaining at a daily use of 2.2 urged to reduce consumption in
million gallons per day, " the every way possible.
fofe fed
t
A CARING CHRISTIAN COMMUNITY
Invites You To An
OPEN HOUSE
TONIGHT
5:30 p.m. - 7:30 p.m.
at the
Methodist Student Center
501 E. 5th St. (across from Garrett Dorm)
Featuring: Free Picnic Supper
and Jass Musician Wayne James
For more Information: Bill Stanley, president 758-2030:
Rev. Michelle "Mike" Burcher 752-7240;
Rev. Dan Earnhardt 758-2030.
Sponsored by Presbyterian & Methodist Campus Ministries
statement said.
Under the town's'
stage 4 water
on condition of anonymity. The
army said five Palestinians were
wounded in the clash and it was
checking the reported fatality.
A military spokesman said vio-
lence erupted after security
forced entered the Askar camp ment of Arabs who refused to pay
"for initiated operations" aimed taxes.
at preventing riots during the In Israel's northern port city of
strike. The spokesman refused to Haifa, police arrested four West
elaborate. Bank Palestinians suspected of
Arab cars carrying workers to jobs shortage crisis, " industrial and
large commercial users of water
are required to reduce consump-
tion by 20 percent. Two major
poultry operators, Mid-State
Farms and Townscnd Food, are
required to reduce consumption
by 30 percent, Fitts said in a news
release.
in Israel, forcing them to turn
back.
Leaflets said the strike was to
protest Israel's confiscation of the
property or restiction of move-
Residential and other light us-
ers are being asked to reduce
Bakker, on knees, begs
forgiveness from followers
CHARLOTTE, N.C. (AP) - Jim network that went around the fended say to the offender: Come
and Tammy Bakker asked for for- world. on back, all is well
giveness Sunday from the 2,000 "I love you, and I have sinned, The Southeastern Congress on
charismatic Christians gathered and I ask you to forgive me the Holy Spirit, which met Thurs-
Bakker said he had spent the day through Saturday at Heritage
for the final session of the South-
eastern Congress on the Holy
Spirit, and they received it.
"I don't consider this risky
said the Rev. Karl Coke, pastor of
Garr Memorial Church in Char-
lotte. "I threw my reputation
away when I walked into this
room and sat with you.
"I say let the reconciliation be-
gin
Bakker grabbed Coke in a long
embrace, then fell to his knees
onstage. Worshipers pressed for-
ward with cameras as platform
guests left their chairs to encircle
the Pentecostal preacher who
built and lost Heritage USA.
"Body of Christ Coke asked
the audience, "have you sinned
against Jim Bakker?"
"Yes the crowd replied.
"Do you forgive him?
The "yes
applause.
past year reading the Bible,
seeking God. He said he con-
fessed his sins "from childhood to
this minute" to a Catholic priest
he described as a former al-
choholic.
USA, was a follow-up to a na-
tional meeting that drew 35,000
charismatics to New Orleans last
summer.
Organizers said Sunday thev
had raised $40,000 of the $50,000
"I've repented until God said needed to pay expenses and plan
I'm tired of it Bakker said, weep- the next event,
ing. "I didn't trust anybody. I was mmmmHmtmmmmmmmmmKmmKm
stripped. But God was there.
Underneath it all, when every-
thing was gone, the gospel was
there
The Bakkcrs' appearance came
as a surprise to many participants
in the communion service, includ-
ing Charlotte Mayor Sue Myrick,
who opened the event with a trib-
ute to her husband, Ed.
"His walk with God became my
walk she said, fighting back the
A
LEADING EDGE
Model D
Complete System
with Printer
$1195
Includes:
Leading Edge Model D
? IBM PCXT compatible
? 2 - 360k floppy drives
? 512k RAM
? Monochrome monitor
? 20 month warranty
Leading Edge Wordprocessor
? 80,000 word spelling corrector
Citizen 180D printer
? 180 characters per second
? Graphics & Near Letter Quality
System Starter Kit
? I box diskettes
? all software installed
? printer cable
? 500 sheets clean tear paper
S & R Computer Associates, Inc.
530 Cotanche Street
Downtown Greenville (Next to Bicycle Post)
757-3279
tears. The Holy Spirit, we know
was drowned out by hi? well. Our being is dedicated
to serving God
Coke put the next questions to Coke, who helped organize the
Bakker. regional gathering, set the stage
"Have you sinned against the for the Bakkers' dramatic appear-
body of Christ?" he asked. ance.
"Yes came Bakker's tearful "This is history. This is the book
reply. of Acts. This is the generation that
"Seventeen years ago, I came to gets to welcome the King of Kings
this auditorium for the first time back to this Earth Coke said to
Bakker said. "The first time I ever loud applause,
ministered in this city was in this "The message for today is
room. People rallied and built a simple. Say with me, 'Let the of-
'No better paper for the price
WELCOME BACK
NEW AND
RETURNING
STUDENTS
Summit 2 -ply towels 751
Summit toilet tissue 99$ (4 roll pack)
2 liter Coke 89$
2 liter Pepsi 89$
81b. Bag of Ice 59$
CHECK OUR DAILY SPECIALS
ON OUR OTHER COLD
BEVERAGES
VAL-U-STOP
We Carry
Exxon Products
2753 E. 10th Street 5 blocks from campus
Why
is It?
A man wakes up in the morning after
sleeping on an advertised bed, in
advertised pajamas, he will brush
with advertised toothpaste, wash
with advertised soap, shave with an
advertised razor, have a breakfast of
advertised orange juice, cereal and
toast, sip his advertised coffee, put on
advertised clothes and glance at his
advertised watch.
He will ride to work in an advertised
car, sit at an advertised desk, and
write with an advertised pen. Yet this
man hesitates to advertise, saying
that advertising does not pay. Finally
when his unadvertised business goes
under, he will advertise it for sale.
g
s
L
e
t
y
a
u
e
I-
Pare
MARION, N.C. (All
of angry parents were
confront the street
Strode children and tl
on the first day of sell
school officials said.
McDowell Count!
Superintendent Dav?
told The Charlotte Ot
because of the Strode I
the children's pread
"whoremongers" anc
tors the first dav (
something he an :
officials "sincerely drc
Ricketts and EastficJ
tary School Assistan
Shirley Ramsey say
cerned about tl
children's effe
at the school, esj
garten students, who
day of school will be
by yelling children anj
They're urging
calm.
"We're hop
the county will b
and realize we a: 1
thing we can a- I
Ricketts said.
In the Mel
week, an editori i
ents to ignore'
letters to the
Strodes from Ken tuckj
tana was an t :
"Keep Peace I
Deserves Dignity
The last line
'The nuts in the j
left to the squiri
But the Strode
at it again toda)
resume, Robin Sti
day.
Home
the ris
(AD- It's An.
rhants of home comp
their annual hunl
of worried parent
a few before the qi rj
The hunters lurk in
computer stores an,
tween the line-
magazines as thev lurj
with the caHr it yot
vour children a compi
fall hopelessly behim
A computer will mal
easy and fun. Buy
Parents who fall
should onlv V
isn't hereditary.
Computers are ui I
ing tools and oik 1
education, but that i
awav form the idea tl
plus personal cor
"necessarv" tor any
ticularlv those in
school. Even by high
college, when long
reports make the
wont-processing
tractive, and ordinal
typewriter can still
chores.
Computers runnii
tional software can p
and reinforcement o
but so can a parent ai
flashcards or a worl
while learning to pros
puter is a handy ski
nating hobby, it's n
(
Daily LI
Soda Fountain ?
416 Evan SI Mall
$$E.
Serious a
nstandij
ft itNO
??
ft.
sservices to j
d
ea
g

tFor
kPRO
f
tl
fBREWS1







I
THE EAST CAROLINIAN
AUGUST 23,1988 11
f
IMMUNITY
IE
11 .
;iter
arrett Dorm)
upper
2 James
Ident 758-2030;
.2-7240;
)30.
ampus Ministries
tern
C.
xer
in
sh
lash
an
It of
nd
on
his
sed
nd
his
ing
ally
oes
Parents confront preacher
MARION, N.C. (AP) - Dozens
of angry parents were expected to
confront the street-preaching
Strode children and their parents
on the first day of school today,
school officials said.
McDowell County Schools
Superintendent David Ricketts
told The Charlotte Observer that
because of the Strode family and
the children's preaching about
"whoremongers" and "fornica-
tors the first day of school is
something he and other school
officials "sincerely dread
Ricketts and Eastfield Elemen-
tary School Assistant Principal
Shirley Ramsey say they're con-
cerned about the Strode
children's effect on other children
at the school, especially kinder-
garten students, who on their first
day of school will be confronted
by yelling children and parents.
They're urging parents to stay
calm.
"We're hoping the citizens of
the county will be understanding
and realize we are doing every-
thing we can as fast as we can
Ricketts said.
In the McDowell News last
week, an editorial counseled par-
ents to ignore the Strodcs. Besides
letters to the editor about the
Strodes from Kentucky and Mon-
tana was an editorial headlined:
Keep Peace. First School Day
Deserves Dignity
The last line of the editorial:
"The nuts in the yard should be
left to the squirrels
But the Strode children will be
at it again today when classes
resume, Robin Strode said Sun-
dav.
"They're not going to be yelling
and screaming like other kids
who yell and scream on the way
into school Mrs. Strode said.
"My kids are going to yell and
scream the scripture back and
forth. They're going to preach
from the school's gate but when
they get to the school doors,
they're going to stop and go in-
side
Mrs. Strode said a friend will
escort her children from the
school's gate to the front door. On
the way, the three children,
Duffey, 11, Matthew, 6, and Pep-
per, 7, will alternate shouting
Bible verses - the style of street-
preaching they learned from their
father.
"We hope that the Strodcs will
not repeat what they've done and
force some sort of issue Ricketts
said. "We cannot go through
another year like we did last
year
Mrs. Strode and her husband,
David, are barred from school
grounds. Ricketts notified them in
a registered letter Friday that if
they come onto the school
grounds, "appropriate action"
will be taken.
"They bar us because they said
we were disruptive, but when all
those other parents gathered at
the end of the year around my
husband and yelled and
screamed at him, I wonder how
many of them got letters barring
them from the property?" Mrs.
Strode said.
Mrs. Strode said her chief con-
cern, however, was that the order
bars her children from school
grounds except between 7:30 a.m.
and 3:30 p.m. on school days.
"My oldest boy loves to play
football Mrs. Strode said.
"The coach said he's really look-
ing forward to Duff playing and
he's trying to get permission for
Duff to play football
The three children were sus-
pended repeatedly from Eastfield
Elementary School last spring.
The trouble started when Duffey,
a fifth-grade A student, came to
school one morning in March and
stood near the back entrance
shouting Bible verses.
As teachers and students
passed, Duffey shouted verses
about whoremongers and fomi-
cators. When the principal asked
Duffey to come inside the school,
he refused.
Soon after, kindergartener Mat-
thew did the same thing. Pepper,
a first-grade girl, accompanied
Matthew but did not preach. Mrs.
Strode said Pepper will join her
brothers in quoting scriptures on
the way to school today. The
Strodes, who have said since
March they plan to sue the
McDowell County school system,
claim school officials violated
their children's rights to freedom
of speech and religion.
School officials said the chil-
dren were suspended for causing
a disruption and refusing to go in
the building when asked.
Over the summer, as the family
traveled around the country ap-
pearing on television and radio
talk shows in more than a dozen
cities, David Strode developed a
new tactic: this year, the children
will go into school.
School officials have spent their
summer consulting with attor-
neys and considering their op-
tions.
If the children's performance at
school is identical to last spring,
Ricketts said the school will re-
spond the same way - by suspend-
ing them the first time. Beyond
that, the school has "other op-
tions' says Richard Schwartz, an
attorney for the N.C. School
Boards Association in Raleigh
who is advising the McDowell
school board. Schwartz wouldn't
comment further.
"Stay tuned he said.
PIERRE CARDIN
For The Man Of
Discriminating
Taste
Among the most elegant cm it to?
by Pierre Card in- TV Couture
Century. For the man of discriminat-
ing taste who know what he wants
snd just how to get H The Card in
Century, a definitive statement in
masculine style.
Our staff of forma Iwear expert will
be pleased to assist you in choosing
formal attire for all those special
black tie occasion.
Student & Croup rate
756-6736
Home computer prices are on
the rise, people bargain hunt
(AP) - It's August and the mer- cessity" than learning how to in helping scout opponents.
chants of home computing are on build an automobile is necessary The same issue contains an ar-
thcir annual hunt for the wallets in driver's education. And many tide suggesting MS-DOS ma-
oi worried parents, hoping to bag schools provide computers and chines are making inroads into
a few before the quarry wises up. classes in computing as part of the the Apple-dominated school
The hunters lurk in the aisles of curriculum. market, but that's probably ex-
computer stores and hide be- If you can afford it, a careful portable in a magazine about MS-
tween the lines of computer selection of computer and soft- DOS computing
magazines as they lure their prey ware can provide you and your Software on the disk included
with the cattr "If you don't buy child with some fun and some with the issue includes a screen
vour children a computer, they'll learning, but it's not a magic bul- editor that allows you to create
fall hopelessly behind at school, lot that will turn an indifferent fancy opening screens that can be
A computer will make learning scholar into an honors student. called either from batch files or
easy and fun. Buy Teachers and coaches on the BASIC programs. Two of the files
Parents who fall for that line deliver)' side of the educational on the disk, one with source code
should only hope intelligence system might want to take a look and another with an appoint-
lsn't hereditary. at the September issu-e of ments-kecper, were compressed
Computers are universal think- COMPUTEI's PC Magazine and stubbornly refused todecom-
mg tools and one of their uses is ($12.95, COMPUTE! Publica- press.
education, but that's a big step tions). The bi-monthly magazine (Haveaquestionorcommentof
away form the idea that a $500- costs so much because it comes general interest about microcom-
plus personal computer system is with a floppy disk of programs, puters, especially those intended
"necessary" for any student, par- but the attraction here is a list of for home use? The address is The
ticularly those in elementary MS-DOS compatible software CompuBug,APNcwsfeatures,50
school. Even by high school and that helps with the job of teaching. Rockefeller Plaza, New York, NY,
college, when long papers and Programs listed offer help with 10020-1666.)
reports make the computer's tracking grades and attendance,
word-processing capabilities at- planning lessons, creating tests
tractive, and ordinary electronic and quizzes, crossword puzzles
typewriter can still handle the and flashcards. One program,
chores. School Dicipline Manager, by K-
Computers running educa- 12 MicroMedia, will help you
tional software can provide drill keep track of "35 different infrac-
and reinforcement on basic skills tions by students in as many as 20
hut so can a parent and a pack of different locations It costs $199.
flashcards or a workbook. And Cost of the other software ranges
while learning to program a com- from $22.95 to $295 for V-Scout, a
putcr is a handy skill and a fasci- program by Midwest Software
nating hobby, it's no nore a "ne- that is for football coaches to use
mSSTfFTEJS
(Soon to be "Pesca tore's")
Weclomes Back ECU Students!
Daily Lunch Specials From 11:30 'til 2:00
(1 uncheon pners range from $2 ?0 to S3 35)
Soda Fountain special for August: Butterscotch or Hot Fudge Sundae89c
2:00 to 4:00 p.m. everyday
416 Evans St. Mall (across from Cold's Gym)
752-3131
GUARANTEE
CREDIT
API
At Bob Barbour Quality Used
$$EARN MONEY IN YOUR
SPARE TIME$$
SeriGus students in good academic
standing are needed to provide
NOTETAKING AND OR
TUTORIAL
services to hearing impaired students on
campus. Will train any
qualified applicant.
For An Application, Contact:
PROGRAM FOR HEARING
IMPAIRED STUDENTS
BREWSTER BUILDING. ROOM A-114
or call 757-6729
1985
Nissan 300 ZX
Black wT-Tops,
Low Miles
.?'
1985 Honda Prelude Auto Sunroof-Low Payments
Clean condition
1987 Ford Mustang GT- SO V85 ?pd. AC Smote Cray
with only 14.000 mites. Lite New
1987 PontiacGranAm- 2 dr. Auto, loaded, excellent oond.
1986 Honda CRX - Red wmtaoat. low mi clean.
Low payments
1983 BMW 320143,000 miles sunroof, extra dean
1987 Toyota 4x4 Truck - AC Low miles dean condition
1986 Mazda 626 - 4 dr. Luxury Sedan. Low miles
Loaded. Extra Clean
If you have a 4 year
degree, and a job in your
Degree field you can
qualify to purchase
any preowned car
with NO CREDIT HISTORY
1988 Hyundai Excel Sport - 5 spd, AC Low mile
Low Payment Extra Clean
1987 Toyota Corolla SRS Sport Coup - S speed AC Low must
Excellent Condition
1986 Chev Z28 - Whtew T-tops. Auto, loaded, extra sharp
1985 Nissan 4x4 Truck - Extra cab. power windows, sunroof
Very low miles. Lite New.
1983 Nissan 280 ZX 40000. Auto, T-Tops, Excellent condlion
1987 Dodge Raider 4a4 - Red wckrome wfcatnv AC Loaded
Lite new
1985 Toyota MR 2 - 5 spd sunroof, red, nice car
Oualifv With No Previous Credit For Short HmeQalyI
? J ?NC
mM m ss? "Sr
Bob Barbour Quality Used
13006 S. Memorial Drive
'(South of Parker's Bar-B-Q)
355-5099
NOTICE ?
SAVJVAUE-SKIH. ALL
ARE THE BEST THEYVE EVER
BEEN. BUT YOU MUST HURRY.
WE MAY NEVER BE ABLE TO
OFFER VALUES UKE THIS
AGAIN. AND YOU DONT WANT
MBS THEM.





I
12
Till" PAST CAROLINIAN
AUGUST 23, 1988
N.C. prisons suffering
l ILLINGTON, N.C. (AD -
i lamett Correctional Center is an
example of North Carolina's
prison system at its worst. A place
where one day last month 576
inmates were crammed into quar-
ters built tor 324.
It people want to know what
prison's like inmate Garrctt
Bass, 31, of Greensboro said, "tell
them to open a can of sardines and
v onder how they all got in there
Harnett, converted trorrt a
:tli facility to an adult prison in
55, has been crowded foryears.
' p is on the way: Two new 104-
dormsare to be completed in
?it IS months. But tor now,
ttes sleep in bunks stacked
ee high, with stacks so close
at a man standing between two
t tuch each.
ook at the beds, how close
are Sgt. Ronald Thornton
aking his head.
i hot summer nights at I lar-
Thomton often opens the
emergency door behind his
; in the dorm so inmates can
more air. Because there's no
n over the doorway, insects
? too.
ntrast, prison conditions in
the south Piedmont have im-
ed remarkably si nee Septem-
'85 when U.S. District Judge
B. McMillan of Charlotte
,1 a consent order rcquir-
?ments in prison there.
inmate at the Lincoln
t) unit still complain about
harassment and avail-
ities, there's hardly a
r about living conditions.
tarn itel down here. This is
inmate Bill Parton, 38,
i said of the spacious
in dorm. "I'm tickled
re 1 le is serving
n : : p ssession of stolen
? md Lincoln units,
lium-sccuritv prisons.
are ripe for comparison. While
Harnett is hopelessly crowded,
inmates at Lincoln have plenty of
room. Harnett seems old, dated.
Parts were built in the late 1930s.
Most of Lincoln, thanks to court-
ordered construction, looks mod-
ern, livable. Three buildings that
inmates use all the time arc air-
conditioned, and Superintendent
Joseph Pickelsimer said a new
dormitory may soon be, also.
Since the Lincoln unit was con-
verted from minimum to medium
security fune 2 1987, and in-
mates moved into the new dorm,
there has not been a serious as-
sault, officials say.
"You don't have the flare-ups
guard Dewev 1 lenderson said.
Conditions at 1 larnett County
breed the kinds of social problems
- tension, distrust, violence - that
reduce prison life to a struggle.
"You're creating a subculture
that's below the social culture we
have out there said Bass, who's
serving 30 years for second-de-
gree rape. "You don't need your
fellow man in here. A friend can
turn on you at any minute. Emo-
tions are dead
"If 1 had a dog he said "I
wouldn't put him in a dog house
he couldn't turn around in
The summer heat makes life in
the packed dorms almost unbear-
able - especially at night when
steam from the showers rolls
through the sweltering buildings.
"It gets so thick you can feel it
said'Robert McGirt, 27, of
Wilmington, serving 17 to 20
years for assault with a deadly
weapon and armed robbery.
"You try to get off to yourself
"But you can't said Clifford
Hansford, 31, of Fayetteville,
serving 35 years for second-de-
gree rape. "There ain't no place to
go"
"Most of the time, you end up
mouthine off. Some people deal
with it in a non-violent way, and
some people deal with it vio-
lently
Harnett's guards, some of
whom earn less than $17,000 a
year, feel the strain, too. In some
cases, one officer must keep an
eye on 130 or more inmates
packed into two dorms.
Occasionally, the population
drops briefly. That's when the
staff really realizes how crowded
conditions take their toll.
"You could tell a lot of differ-
ence in the entire population
when the count dropped from 600
to 300 said Harvey Tripp, a pro-
gram supervisor at the Harnett
County unit. "There was less
stress on the employees and less
stress on the inmates
At these times, prisoners are
more relaxed. They move about
their dorms more easily. Lines at
the showers aren't as long. They
don't get into as much trouble.
A concern throughout the sys-
tem, even at places like Lin-
colnton, is the limited options the
crowded system has in managing
its prisoners. Inmates find it hard
to transfer to prisons nearer
home, to prisons wi th educational
opportunities and to lower-secu-
rity prisons when they have
earned more freedom
"They won't transfer nobody
complained Stephen Harris 2 r,of
Greensboro, who is at 1 larnett
serving u years for armed rob-
bery.
1 larris pointed to honor-grade
inmates in green uniforms ap-
proved for minimum security.
"That shows how crowded it is
he said. "They don't have no-
where to send them
"It's no fault of ours said
Harnett's superintendent, Lcn-
wood V. Stephenson. "It's lacl I
space
LUCKY SIZE REMNANT SALE
M BargaTrvCeiter
J ROLLS. REMNANTS, VINYL, WALLPAPER & TILE
MonFri. 8:00 a.m6:00 p.m.
Saturday 8:00 a.m5:00 p.m.
1009 Dickinson Ave Greenville 758 0057
Colling All Rudg.l Wotch.M' N.wlyw.oV & Stud.ntt! fou Con Hov. Corp And Havt It Now Tn?l? Roll End? And B.mnanll From Th. F,n??t Cor
pt At. Your? Ai A Froct.on Of Tn? R.gular Squarrj Yard Pric.j Moll F,om Fomoui Mokrjrt No Doubt About It Quolity Roll F.nd? Ar? Today ? B?t
Bargains So Practical, Yet So Thrifty'
DOOR BUSTER SPECIALS
Sill
10 ? 1
11 ?- I I
ii ;? i ii s-
ii i ii ll"
IJ i I I 7"
IJ I II ??
17 i H 4-
17 ? 14 I"
17 i 14 II-
17 i 4 II-
COlOt
llW
8I0WM
&01D
ICrtl
Gill
GUT
. - ?
IUST
OUT
-? -
?10
77S 00
44 50
m oo
340 oo
300 00
150 00
345 00
750 45
141 00
131 40
5111
41 II
41 II
41 II
It II
?4 II
41 II
99 II
99 II
? II
79 II
5121
17 i II
17 i I I
17 ? 17
17 ? 17
I
V
?-
5-
1J i 17 t"
11 ? 17
17 ? 13
11 ? 13
17 i 13
I? i 4
COIM
NIW IAITM
WALNUT
TAN
PLUM
TAN
IUIC WIM
11 Id
MINI
CH4IC04L
IIC
331 00
731 03
3 71 00
750 00
351 00
757 SI
379 7;
715 00
3 00 OO
47 70
51.1
94 II
41 II
99 II
41 II
94 II
44 II
44 II
41 II
41 II
14 II
Sill
17 I 14
11 1 14
11 ? 14 4
11 1 10 3
11 1 11 r
II 1 14
11 1 14 4'
7 ? 10 M
11 1 4
11 1 4 II-
II 1 4
11 S- 1 11
C 01041
11014
?I ??
?ID 1 1.4 ?
OUT
MIGHT VII
)HAi0 MOWN.
IUST 11011
4UCM MM
-41 ?
?t ??
NlCIOtT
aunt
tIGSilt
400 0099 II
3 50 0094 II
735 4461 II
4 34 0094 II
470 00n 11
774 00PI 11
I7S 35'i 11
614 45? 11
47 7019 II
' 31 4039 II
344 4041 II
394 0099 II
SI7I
11 1 10 3-
13 1 10 7-
II 1 11
17 1 6 10"
12.4 6"
17 1 6 9"
17 . 7
C0L0I
MAUVI
SMOM
IUST
MI10N
Dl BI0WN
TOAST
? UST
? 10
345 00
750 00
730 05
110 99
155 75
155 94
139 75
SALI
41 II
41 II
41 II
41 II
41 II
41 II
41 II
Sill
13 1 7 10-
17 1 7 3"
17.7 1'
17 ? I
17,1
13.9
13.9
coioi
SIIIIA
IUST
MOWN
IUST
GUT
PINI
iLUI
? 10
97 41
175 00
1 50 00
'65 00
I 54 4S
47 50
717 00
SALI
41 II
41 II
41 II
41 II
41 II
41 II
41 II
SIZI
13.4 I-
13.4 3-
13.4 5-
11.4 6'
13.4 6"
13.9 6"
9 10- . 1
C0L0I
OUT WAI0
COAL
OIIIN
GUT
PINI
KM
MOWN
? 10
155 05
300 00
?90 00
350 00
3 30 00
300 00
90 93
1 ?
41 II
?. . .
41 II
41 II
41 !l
41 SI
.
SIZI
11 II-
10
11
11
II 3-
II 5-
1? . 10 io-
ii . 10 7-
17 ? 10 5
11
111
13.11
11 1 11
11.11
13.11
17.11
11 . 13
C0L0I
sutot
SMBII
GUT
LGT MOWN
5UIDI
MAIZI
TAN
BIOWN
EVIIGLADt
GIIEN
5PICI
BIIGE
Bfl&f
KG
330 00
399 99
350 00
100 40
763 00
377 10
310 00
147 95
233 95
360 99
335 00
360 00
340 00
SALI
99 II
99 II
99 II
94 II
99 II
99 II
99 II
99 II
99
99 II
99 II
99
99 II
SIZI
13 1 13 I"
II . II 2"
13 ? 13 3"
II 1 13 IO-
II 1 11 4"
13 13 9-
II 1 13 9"
11.14
11 I 14 3-
13.14 5-
11 . 14 7"
13.15 -
II . 15 3"
C0L0I
ILUI
MAN0T
MOWN
MAUVI
SAND
AITIC
DAM ?lit.
MOWN
IIIGi
SAN0
MAUVI
MAUVI
TIAVII
IfG
200 00
310 00
344 9S
274 45
336 71
324 44
360 00
215 00
300 00
265 00
294 00
315 00
350 00
SALI
94 II
49 II
94 II
94 II
99 II
99 II
94 It
99 II
94 II
99 II
99 II
99 II
99 II
SIZI
12.16
11 . 16 3"
II 1 16 I"
11 . 16 6"
13 . 6 6'
13.17
13 . 17 3-
11 . II 6"
11 1 11 4"
II I 11 6"
11.4 4-
II 1 11 10"
COlOt
MOWN
TAN
SLATI
PU?Pll
GUT
OIIIN
ILUI
PLUM
CNAMB
LT MOWN
PIACK
OIIIN
? 10
435 53
395 99
350 00
330 00
3 50 00
450 00
349 00
550 00
450 00
570 00
300 00
3 35 00
4.l
99 18
99
99 II
99 II
99 II
99 II
99 ?!
99 II
99 II
99 II
99 II
SIZI
11 5" . 33
13 . 14 3-
13.15 I-
13 16
13 ? '6 I"
3 1 I 6 5 '
C0L0?
TAN
MANILLA
COLO G?liN
LONDON l"OG
MOWN
BLUI
? 10
421 65
375 00
300 00
319 95
400 00
399 00
SALI
I 59 II
159 II
159 II
159 II
159 II
159 II
SIZI
13.16 5-
11 1 16 T
13 . 16 7"
13.16 V
11.16 4-
11 . II I"
COIOI
MOWN
MOWN
GTPST ?OM
?UCISIIN
AQUA
MOWN PLAID
? IG
4 34 00
440 00
575 00
447 00
446 99
410 00
SALI
159 II
159 II
154 II
154 II
154 II
'54 II
SIZI
12 . 14
12.14
12 . 14 3-
12 . 14 r
12 . 21
COlOt
? ID ILACI
&IIT
TAN
MOWN
Mill
? IG
234 95
314 00
510 94
340 00
563 N
All
51 II
I 59 II
.59 81
'59 II
SIZI
11 !C
11 11
13 1
12 .
SIZI
Staff Writers needed!
Apply today at The East Carolinian Offices.
?
ikH
L
ToUATM
1009 Dickinson Ave. Greenville 758-0057 VISA-MASTERCARD, CASH OR CHECK
rJl
sJM!5
J-teani!
We change your oil with a major brand
We install a new oil filter!
We lubricate the whole chassis!
We check and fill transmission fluid!
We check and fill differential fluid!
We check and fill brake fluid!
We check and fill power steering fluid!
8. We check and fill window washer fluid!
9. We check and fill battery!
10. We check the air filter!
11. We check the wiper blades!
12. We inflate the tires to proper pressure!
13. We vacuum the interior!
14. We even wash vour windows!
PLUS a FREE Car Wash with Full Service!
lay thru Friday
7 30 j m til 630 p.m.
? 730 ?i m til i!Opm.
jiffy lube
126 Qreenville Blvd. .
Greenville
(Across from Golden Corral Steak 1 louse)
$2.66 OFF
Full Service
(with coupon)
Reg. $21.95
COUPON GOOD SEPT. 31. 1988
Dem
M A 1
question su
Carol ii
month
?
Jaci
a v. a '? : id
the
V.
in v
A
f
v
?
Iccl
He arin
dollar
?
?
bctwt
FCX 1
?
class
The wii
Cl
in
Sunda
??? "I
bottl
a Bur: ?
Next NA!
Satui
Make sure y
collecting th
cansfn





i
T
I
12
THE EAST CAROLINIAN
AUGUST 23,1988
N.C. prisons suffering
L1LL1NGTON, N.C. (AP) -
Harnett Correctional Center is an
example of North Carolina's
prison system at its worst. A place
where one day last month 576
inmates were crammed into quar-
ters built for 324.
"If people want to know what
prison's like inmate Garrctt
Bass, 31, of Greensboro said, "tell
them to open a can of sardines and
wonder how they all got in there
Harnett, converted front a
youth facility to an adult prison in
1985, has been crowded for years.
1 lelp is on the way: Two new 104-
man dorms are to be completed in
about 18 months. But for now,
inmates sleep in bunks stacked
three high, with stacks so close
that a man standing between two
can touch each.
"Look at the beds, how close
they are Sgt. Ronald Thornton
said, shaking his head.
On hot summer nights at Har-
nett, Thornton often opens the
hca w emergency door behind his
desk in the dorm so inmates can
get more air. Because there's no
screen over the doorway, insects
come in, too.
In contrast, prison conditions in
the south Piedmont have im-
proved remarkably since Septem-
ber 1985, when U.S. District Judge
lames B. McMillan of Charlotte
approved a consent order requir-
ing improvements in prison there.
While inmates at the Lincoln
County unit still complain about
policies, harassment and avail-
able activities, there's hardly a
whimper about living conditions.
" I got a motel down here. This is
beautiful' inmate Bill Parton, 38,
of Gastonia said oi the spacious
. 100-man dorm. "I'm tickled
to death to be here He is serving
10 years for possession of stolen
goods.
The I larnett and Lincoln units,
th medium-security prisons.
are ripe for comparison. While
Harnett is hopelessly crowded,
inmates at Lincoln have plenty of
room. Harnett seems old, dated.
Parts were built in the late 1930s.
Most of Lincoln, thanks to court-
ordered construction, looks mod-
ern, livable. Three buildings that
inmates use all the time arc air-
conditioned, and Superintendent
Joseph Pickelsimer said a new
dormitory may soon be, also.
Since the Lincoln unit was con-
verted from minimum to medium
security June 27, 1987, and in-
mates moved into the new dorm,
there has not been a serious as-
sault, officials say.
"You don't have the flare-ups
guard Dcwey Henderson said.
Conditions at Harnett County
breed the kinds of social problems
- tension, distrust, violence - that
reduce prison life to a struggle.
"You're creating a subculture
that's below the social culture we
have out there said Bass, who's
serving 30 years for second-de-
gree rape. "You don't need your
fellow man in here. A friend can
turn on you at any minute. Emo-
tions are dead
"If I had a dog he said "I
wouldn't put him in a dog house
he couldn't turn around in
The summer heat makes life in
the packed dorms almost unbear-
able - especially at night when
steam from the showers rolls
through the sweltering buildings.
"It gets so thick you can feel it
said Robert McGirt, 27, of
Wilmington, serving 17 to 20
years for assault with a deadly
weapon and armed robbery.
"You try to get off to yourself
"But you can't said Clifford
Hansford, 31, of Fayetteville,
serving 35 years for second-de-
gree rape. "There ain't no place to
go
"Most of the time, you end up
mouthinc off. Some people deal
with it in a non-violent way, and
some people deal with it vio-
lently
Harnctt's guards, some of
whom earn less than $17,000 a
year, feel the strain, too. In some
cases, one officer must keep an
eye on 130 or more inmates
packed into two dorms.
Occasionally, the population
drops briefly. That's when the
staff really realizes how crowded
conditions take their toll.
"You could tell a lot of differ-
ence in the entire population
when the count dropped from 600
to 500 said Harvey Tripp, a pro-
gram supervisor at the Harnett
County unit. 'There was less
stress on the employees and less
stress on the inmates
At these times, prisoners are
more relaxed. They move about
their dorms more easily. Lines at
the showers aren't as long. They
don't get into as much trouble.
A concern throughout the sys-
tem, even at places like Lin-
colnton, is the limited options the
crowded system has in managing
its prisoners. Inmates find it hard
to transfer to prisons nearer
home, to prisons with educational
opportunities and to lower-secu-
rity prisons when they have
earned more freedom.
"They won't transfer nobody
complained Stephen Harris, 27, of
Greensboro, who is at Harnett
serving 29 years for armed rob-
bery.
Harris pointed to honor-grade
inmates in green uniforms ap-
proved for minimum security.
"That shows how crowded it is
he said. "They don't have no-
where to send them
"It's no fault of ours said
Harnctt's superintendent, Len-
wood V. Stephenson. "It's lack of
space
LUCKY SIZE REMNANT SALE
Mon-Fri. 8:00a.m6:00p.m.fH? at7 D?LaTV5rhi,
Saturday 8:00a.m5:00p.m.c?2tiPkirD3irsUJirvcrVtCI
1009 Dickinson Ave.Greenville 798-0057Ljl lf.? ?-? ?? a. V ,W ? ?iiui tiiii i ninco ? Tc
HU A VuU! r" HULLS, HtMNAnia, VIHTL, nALLTArcn oi uu.
Colling All Bjdgat Watchari! Nawlywadi! 1 Studanti! You CanHov Carpal And Hova ll Now. Thata 1oil Ends And tamnonts From Tha Finast Cor
pal Ara Youri At A Fractiori Of Th Raguar Squara Yard PricaiMost FronFamous Makars.No Doubt About It, Quolty Roll Ends AraToday's B?s
Bargains. SoPractical, Yat So Thrifty!
DOOR BUSTER SPECIALS
SHICOUMIEGSAll .SIZIcototuc.MilHiCOUMHGSAll
10 i 4IIKT115 0041 IIii ? iri-PUMPtlN131 M99 II11 l 19MOWU400 0044 II
114- i MOWN94 SO41 Itii i i ro-NIW IAITN 111.0)41 II11 i 19MOWN3 SO 0099 II
117- i 115-GOLD119 0041 IIil I 12 4-WALNUT111 M99 II111 IffMO I ILACI115 4941 II
11 i It'll"tOM140.0099 II .111II J-TANISO M41.1111 I offMM414 0044 II
11 1 111"CIIIN100 0099 II ?11 i 11 7"PLUM2 51 0049 II11 i Hi-NIGHT SIT410M71 II
11 i 114"GUTISO 0041 II11 i na-TAN151 SI99 IIll i 14PtAlO MOWN174 0071 II
11 l 17 4"?(OWN14 5 0099.11il i 11 to-IU1G WIM 319.1799 II11 i 14 0-OUST MOWN415 1371 II
11 I 141-OUST250 4599.11il 111 1-11 I 11 4"IIIGI MINI111 M 3 00 0041 II 41 II11 i 10 11? 11 l 4PfAOt ?11 CHAKOAlH9 95 47 7071 II 14 II
11 I 1411"CUT141.0041 II11 i 4CHAKOAl 47 7119 II11 I 4 II"SH0IMP133 4024 II
11 l 4 11-SHtIM113.4029 II11 s 9 Iff I 11 7"NK1O0T CIOVII144 40 194 0041 II 94 II
sinC010IIEGSAllSIZIcototMGSALESIZICMMMGSAll
11 ? Ki-MAUVIMS 0041 II11 i 7 lO-sum91.4141 II11 i II" .Glir WA10155 0541 II
ll . 10 7"SM0M150 0041.11ll i ri-IUST17)04)41 II11 i 9 1"COAl100 0041 11
11 i 11IUST110 OS41 IIll i 7 1-MOWN1)0.M41 II11 s II"GliM140 0041 II
11 i 4 10'MELON110.4941 II1111IUST?45 0041.11It iffGMT150 0041 II
11 i 4 ??01. MOWN155.7541 II1111GIET1S4 9541 II11 i 94-MM230 0041 II
11 i 4???TOAST155.9441 II11 ifPINK97 SO41.1111 I 9 4'IIUI100 0041 II
11 i 7OUST139 7541 II11 i 9IIUI1I1.M41.11III" s II 11'MOWN90 9341 II
StliC010IIEGSALESillCOLOtMS.MilHMcototMGSAll
11 IK i 10SUIDI130 0099 II11 l 11 1'IIUI200 0049 II11 i It1104425 5344 II
113" i 11(Mill149.9999.1111 i 111'MANDT110.0099 II11 ? It 1-TAN395 9994 II
11 5" i 13 4"OUT350 0099.1111 i 11'3"MOWN144 45991111 i It 1-sun3 SO 0094
11 i 10 to-ICT. MOWN100 4099 II11 i 13 lO-MAUVE174.4594.1111 ? IffPUIP1I330 0044 II
il i 101"SUIDI140 0099 IIll i 134-SAND234 7199 II11 ? lt'tGMT350 0099 II
11 i 10 5"MAIZE277 1099 II11 i 119-AITtC314.4999.1111 i 17GtliN450 0099 II
11 i IITAN210 00991111 i 11 9"DAM GIEEN 340 0099 II11 ? IffIIUI3?4 0094 11
11 i IIBI0WN147 9599 II11 i 14MOWN215 0099 II11 i IffPIUM550 0044 II
11 i 11 1-EVIIGUOE233.9599 II11 i 14 3"BIIGE100 0099 II11 I II 4-CHAMS4 50 0044 II
11 i 11 I"GIEEN240.9999 II11 i !?'$-SAND245 0099.1112 i 11 1-IT MOWN520 0094 II
11 i II 9'SPICE135 0099 II11 l 14 7"MAUVI194. M99.1111 I 9 9"PtACM200 0094 II
11 i 11 9OEIGE340 0099 II11 ? is i-MAUVI115 0099 II11 i 11 10"GtliN235 00) II
12 i 11Bf 10240 0099 II11 i 15 1-TIAVEI350 0099 II
USC0L0IIEGSALESIZICOiOlIEGUllSIZICOlOtMGSAll
ll'J" 1 11TAN411 45159 1011 i i s-MOWN431.00159 II11 i 19?10 IUC1234 95159 II
II l 14 3"MANILLA375 001S9.II11 I 14 7"MOWN440 00159 II11 i 19GMT314 00159 II
11 i 1$ 1"COLO GIEEN300 00159. II11 i 14 7"GTfST IOSI 575 00159. II11 i 19 -TAN510 99159 II
11 i 14LONDON fOG319 95159 II11 i Hi-IUCKSWN 441. M154 II11 i 19 5-MOWN390 00159 II
11 I 14 1MOWN400 00159 IIll i 14 4"AOUA444.49159 II11 i 11EMIEISt 00154 II
11 i 14 1"ILUE399 00159 II11 l 11 rMOWN PLAID 410 00159 II
SIZiC0L0I?EGSAllSIZICOlOtMS.UllSIZICOLOtMGSAit
II 10- i II 3"son PEACH271 00149 II11 i 11PACIFIC259 95144 II11 I 19 rLONDON FOCS20 00254 11
nir i u? EIGE220 00129 II11 ? 13 lO-SCAIlfT310 00144 II12 i 10 4-TAUP13 30 00149 OC
li i uILUE233 99119 IIll i 13 3"MAUVE111 00104.1111 I 10 4-SMOtE400 00144 II
iii ii i-NUTIIA291 40109 II11 i 13 4"SAIIE110 00149 II11 I 11 4"SOUASSI 20259 II
11 i 11 9"BIOWN240 00149 II11 i 13 5-MOWN357 IS139 II11 I 11 5-MOWN4 30 00199 II
ii i iiCHAUIS210 00109 II11 i 13 4'DAM GIEEN 114 00109 II11 ? 11 7"IUST412 00259 11
11 i 15SNOWDlin299 00129 II11 i 111-GIAT174 45109 II11 i 11 I"ASM IOS4510 00199 II
lit uC0IAI294 0041 II11 ? ISMAIZE210 00149 II11 i 11CIOVII733 00259 II
n i uPOTTEIT399 00109 II11 i 14MOWN349.00199 II11 I 11 1'IIIGI PLAIO510 00259 II
n i u ii-CHAIC0AL345 00109 II11 ? 17IIUI340 00169 II41 i 14 1-MOWN ?.AC449 00159 00
11 i 11 5-PINE300 00109 II12 i II lO-SMOtl400.00119 II11 I 4 -IIIGI120 2720 II
11 i 25 7"AQUA435 00279 IIll I 11 7"MAIZI500.00159 II1 t' i 10 10'IIUI17 IS29 II
11 i 4 1"SILVEI12 0019.1112 i 21i-JAM571 23159 IIt f 111GMTtSM94 4431 II
Staff Writers needed!
Apply today at The East Carolinian Offices.
TOUAtuU
ROLLS, REMNANTS, VINYL, WALLPAPER & TILE
1009 Dickinson Ave. Greenville 758-0057 VISA-MASTERCARD, CASH OR CHECK
team!
Jiffy fube
T ,
?
We change your oil with a major brand!
We install a new oil filter!
We lubricate the whole chassis!
We check and fill transmission fluid!
We check and fill differential fluid!
We check and fill brake fluid!
We check and fill power steering fluid!
8. We check and fill window washer fluid!
9. We check and fill battery!
10. We check the air filter!
11. We check the wiper blades!
12. We inflate the tires to proper pressure!
13. We vacuum the interior!
14. We even wash vour windows!
PLUS a FREE Car Wash with Full Service!
I fours:
Monday thru Friday
7:30 a.m. til 6:30 p.m.
Sat. 7:30 a.m. 'til 5:00 p.m.
jiffy lube
i
126 Greenville Blvd.
Greenville
(Across from Golden Corral Steak 1 louse)
$2.00 OFF
Full Service
(with coupon)
Reg. $21.95
COUPON GOOD SEPT. 31, 1988
Dem
NEW ORLEANS (AP)
question surrounding th
Carolina delegation
month's Democratic P
Convention was whethc
Jackson supj ' i
brace the pn
away mad.
Jackson and Mi hael
ultimately made th.
the convention adjournei
mony, though
said the depth rent
would depend
nominee keej
involves them
A similar
the North I i
Party at last ?
vention. The
whether : i
tives who
Robert n -
lend ???
GcorgL I
The '
bv tradiI i
to Bush. B
right-wing ?
dissenters I
rasscd the
poisoned tl
fall can
must for the l
That didn't I
lected Sen Dar
preside
Hearin
dollar
RALEIGH
District (
was schdul
civil case ? ?
against tv. 1
farm banks ai
largest farm,
Carolina and S I
Ob rvers
pec ted ?
At stal
million to 1,7
bought I
RaJeig
between
FCX iihi Kir banki
Attorneys for the inves
tend FCX. a sup
goods v
umbia Bank I i
Columbia, Sa j
for C
failed to J
cooperasth. - I
when its
They v t
even as I
tion s3 they ? "
hell in
ney L.
repres
class-a m lavs - j
two mill
and-a-hall i I
for ban!
Me Pa:
Pi
hum:
hum
The wii
Cl
in
bunda
If you have t
bottle cap or c
with a
you've won $101
If you have juj
won a Burger Ki
Next N A!
5
Satuj
Make sure,
collecting th
cans
P?0 I r4jgtW?r0 tftdtmiv 0? I
?1968 i4?gislBT4)0 Tr?aew? J Bura





THE EAST CAROLINIAN
AUGUST 23, 1988 13
SALE
Center
NYL, WALLPAPER A TILE
?
t Tif?anf? FtomTh,Fin??T a
it. Roil End. Ar. Tsday B?t
MMJIGUkU
stow?
9ICWno 30 -
1 4.( I!JS ??)M SI
HI99 43
WCHT HI'I tl
. -I ?? !S
'1 II
KM MM? ? ?J'1 II
-l .
-1 ??? ? si
? ion244 40S 11
' '99 II
1 i,?.l
it'?I ?S .?
ltt4 1II II l II
?1 II ?S 8!
i 41 II
I Mt(01
1 . ??99 SI
i?9? II
99 II
?? ooM 1 99 S
99 It
it me- ? ? ?
raown


1 "HC? ? 5Q g
1 i k
1 tiC
1
1 ? " 11 II
1 s.? c
1 ?? , :ta? oo.
?APER & TILE
CASH OR CHECK
F
is

st
IS
e,
rs
n,
of
el
ic
It
??v
r.
in
ut
is
n,
ut
in
he
he
lei
ad
is-
iis
fa
ie-
ia-
ro.
is-
to
x
ith
Democrats ask for support
NEW ORLEANS (AP) A key
question surrounding the North
Carolina delegation to last
month's Democratic National jump on board.
Convention was whether Jesse "The fact that we didn't have
ackson supporters would em- rancor and division down here
brace the presidential ticket or go shows that we're part of the same
away mad. team, " said former Sen. Jim
Broyhill, the delegation chair-
Jackson and Michael Dukakis man. "We've got a feeling of
ultimately made their peace and coming together. We've got one
the convention adjourned in har- or two malcontents but you've
mony, though Jackson supporters always got that in every party
said the depth of their enthusiasm
The latter remark was an obvi-
ous reference to David Funder-
burk, Broyhill's vanquished op-
ponent in the 1986 Senate pri-
mary. Funderburk was a thorn in
the state party leadership's side
all week, charging that traditional
Republicans were snubbing the
"hard-core conservatives
"They just said, 'We don't need
you, wedon't want you, go to hell,
" he told reporters.
would depend on whether the
nominee keeps his promises and
involves them in his campaign.
A similar situation confronted
the North Carolina Republican
Tarty at last week's national con-
vention. Theevent posed a test of
whether ideological conserva-
tives who supported Pat
Robertson or Jack Kemp would
Send wholehearted support to
George Bush.
The delegation was dominated
by traditional Republicans loyal
to Bush. But if the outnumbered
right-wingers had become vocal
dissenters it would have embar-
rassed the GOP leadership and said last Wednesday at a delega-
poisoned the atmosphere for the tion caucus that had the trappings
fall campaign, when unity is a of a pep rally featuring fiery
must for the minority party. speeches by Bush surrogates, in-
That didn't happen. Bush se- eluding Cabinet secretaries Eliza-
lccted Sen. Dan Quayle as his vice both Dole, Donald Hodel and Jim
presidential running mate and Burnley.
gave his blessing to a staunchly "But there are factions in the
conservative platform, giving the Republican Party and one of them
New Right faction every reason to are even talking to each other
The complaints baffled and
angered other Republicans. State ?
GOP Chairman Jack Hawke in-
sisted no one had been excluded
from anything.
"When people go arund mak-
ing unfounded statements like
that 1 question their motives
Hawke said. He contended that
Funderburk and Garrott were
speaking for themselves and rep-
resented no significant pool of
dissatisfaction in party ranks.
Indeed, some Kemp and
Sen. Jesse Helms has been en-
listed as a state co-chairman.
Another co-chairman, state bank-
There may be too many cultural,
ideological and personal differ-
ences between the GOP's factions
for them ever to do more than
peacefully coexist.
But people and circumstances
do change. Some leaders of what
is now rcgrded as the traditional
wing were seen as right-wing fire-
brands in the 1970s.
One day at breakfast during last
week's convention, state Sen.
Larry Cobb of Charlotte and Gas-
CAN'S
See Us At Our New Location
VINTAGE CUM I IIN( 2I2 Tjsi tflh St
JEWELRY, COLIUTAIUIS (.rwiiullc NC
AND TUKN1TUKE ?m 7S2'l7S(J
Another outspoken dissident
was Bill Garrott, a Robertson
backer from Charlotte.
"This makes it sound like we're
all working together, " Garrott
Robertson partisans preached tonia businessman J.A. Dalpiaz
unity and praised Bush from the chuckled over memories for 1976,
beginning. The Quayle selection when North Carolina's GOP was
made them happier still, despite bitterly divided into camps loyal
the controversy over his military to Gerald Ford and Ronald Re-
record that ended the convention agan.
on a somewhat discordant note. , . , , ?
Dalpiaz was one of the Reagan
"I regret that some Pat troopers who banished Ford sup-
Robertson people are still making porters including Cobb and then
waves because George Bush rep- Gov. Jim Holshouser from the
resents a platform that just has convention delegation,
everything we stand for, " said "You fight and you cuss but
Bruce Legates, a Wilmington sooner or later you patch it up, "
delegate.
Bush campaign leaders are de-
termined not to provide ammuni-
tion for those who would describe
his North Carolina organization
as representing only one party
faction.
Dalpiaz said.
.
S
is now
Accepting Applictions
for all positions.
Deadline: September 1
Located on 2nd Floor Old Joyner
Library, WZMB Studio.
Hearings begin in 7.2 million-
dollar farm bank scandal
RALEIGH (AP) - A jury in U.S. with assets totaling $4.4 billion, bad debts, the cooperative's offi-
District Court in Raleigh today controlled the cooperative by cers have said. The debts were
was schduled to begin hearing a approving loans made by the owed by farmers who could not
civil case of financial deception cooperative and helping set terms repay FCX for purchases of sales
against two of the nation's largest for the sale of the bonds. and equipment they received, the
farm banks and top officers of the Lawyers for the banks, how- officers said,
largest farm cooperative in North ever, are expected to argue that Since the bankruptcy filing,
Carolina and South Carolina. while the Columbia bank was a most of FCX's assets have been
Observers say the trial is ex- major lender to FCX, it was not sold to repay creditors. But the
responsible for the cooperative's cooperative still owns stock that is
sale of bonds. The Denver bank, in scheduled to be sold. The first $5
turn, bought FCX loans from the million in proceeds from those
Columbia bank, but also claims sales is to be paid to the investors
not to have been involved in the
bond sales.
The investors each purchased
an average of $2,500 in bonds,
McDaniel said.
"They (the investors) are older
umbia Bank for Cooperatives in people, rural people and unedu- top officers, despite their claims
catcd people he said. "They had that they sold the bonds on their
lawyer's advice.
The former FCX officers who
remain defendants are Jack Tay-
lor, its president, and Robert
Lyford, vice president.
DELIVERY
SMALL
Cheese Pizza $4.95
Cheese and 1 Topping$5.60
Each Additional Topping$ .65
SPECIALTY PIZZAS
Cheese Lovers$6.90
Meat Lovers$6.90
Supreme $6.90
Super Supreme$7.55
MEDIUMLARGE
$6.85$8.95
$7.65$9.90
$ .80$ .95
$9.25$11.80
$9.25$11.80
$9.25$11.80
$10.05$12.75
pected to last several weeks.
At stake is the payment of $7.2
million to 1,700 investors who
bought bonds from FCX, the
Raleigh-based farm cooperative,
between 19S1 and 1985, when
FCX filed for bankruptcy.
Attorneys for the investors con-
tend FCX, a supplier of farm
goods, and two banks - The Con-
who bought the FCX bonds.
Earlier this year, U.S. District
Judge W. Earl Britt removed 17
FCX directors and 12 former FCX
officers as defendants in the case.
But he refused to remove FCX's
FAMOUS PIZZA HUTQUALITY
?GENEROUS TOPPINGS
?REAL CHEESE
?FRESH VEGETABLES
?DOUGH MADE FRESH DAILY - NEVER FROZEN
PEyVEyr qQVRS
DELIVERY AREA LIMITED TO
EAST CAROLINA UNIVERSITY
PHONE 752-4445
Columbia, S.C and Central Bank
for Cooperatives in Denver -
failed to disclose the
cooperastive's financial troubles
when it sold the bonds.
"They were selling (bonds)
even as their financial informa-
tion showed they were going to
hell in a handbasket said attor-
ney L. Bruce McDaniel, who is
representing investors in the
class-action lawsuit. "FCX sold
two million dollars in the two-
and-a-half months before it filed
bankruptcy
McDaniel said the two banks,
trusted FCX through the years.
. There is nothing wrong with
selling debentures for a finan-
cially toubled company, but you
have to show its financial condi-
tions
Before filing for bankruptcy in
1985, FCX had been losing money
for three years, blaming its troub-
leson high interest rates, low farm
prices and debt-burdened farm-
ers.
Nearly half of the cooperative's
$7.5 million loss in the year before
it went bankrupt was the result of
SUNTHURS, 4 PM TO MIDNIGHT
FRL&SAT: 4 PM TO 1:00 AM
DEUVBRY CHARGE 75'
? ? ? ? ? coupon ? ? ? ? ? ? ? ? ? ? ? ? ? ?
GOOD FOR JUST 7 DAYS!
j FREE GARLIC BREAD AND CHEESE
j WITH ANY PIZZA
(coupon expires Aug. 29, 1988) ?
Don't Let This Happen To You!
The winning car number
at the
Champion 400
in Brooklyn, Ml on
Sunday, August 21st was
CAR28
If you have this number on a specially marked
bottle cap or can and you also have a cap or can
with a "NASCAR 100" or "NASCAR 500" logo,
you've won $100 or $500!
If you have just the winning car number, you've
won a Burger King Whopper ?!
Next NASCAR race is the Busch
500 in Bristol, TN on
Saturday, August 27th
Make sure you, your family and friends keep
collecting those specially marked caps and
cans from Pepsi-Cola" products!
Pepsi is a registered trademark o? PepsiCo. Inc
"988 Registered Trademark o' Burger King Corp
1988 Geographic Marketing Group
MAKE YOUR RESERVATIONS WITH US. SHOW YOUR STUDENT I.D.
AND RECEIVE $10.00 OFF OUR RACK RATE.
Svwv
702 S. Memorial Drive ? Corner of 264 and Hwy. 11
Greenville, NC 27834
(919) 758-3401
OFFER EXPIRES DECEMBER 30,1988





I
14
THE EAST CAROLINIAN
AUGUST 23,1988
Academy provides alternative to simplistic,
devotional interpretation of Bible
DURHAM ? After 20 years of
teaching Sunday- school in the
United Methodist Church, Gor-
don Lahey of Burlington decided
it was time for a serious study of
Scripture.
"Many of us teach without
enough training he said.
Without a proper grounding,
he said, "You can take any verse in
the Bible and prove anything you
want to prove
Lahey, 63 and a retired engi-
neer, is among 87 North Carolini-
ans enrolled in the newly formed
Lay Academy of Religion at Duke
Divinity School. Roman Catho-
lics, jews, Pcntecostals and main-
line Protestant church members
come from as far away as High
Point and Oxford to learn about
the culture and circumstances
that influenced biblical writers.
"I think people are tired of sim-
plistic, devotional, homiletic bib-
lical interpretation said James
M. Efird, a Duke professor who
teaches the class. "They're willing
to risk having their minds
stretched
Efird has been a professor of
biblical interpretation for more
than 25 years and is the author of
an Abigndon Press scries called
"Contermporary Christian Con-
cerns
His lectures don't sound like
they come from a theology text-
book. Efird's Carolina dialect and
folksy languarge maKe the pro-
found seem plain. Over the years,
he has led numerous Bible studies
at churches of every denomina-
tion.
He said he's noticed a trend
toward serious biblical study
among many church members,
for who Sunday school doesn't
always satisfy.
"I think people are looking for
more in-depth answers to the
complexities of life he said.
"Answers just can't be that sim-
plistic because the world is not
simplistic
Lay academy classes meet two
hours each week for four weeks
and cannot be applied toward a
formal degree. They are an out-
growth of Duke's continuing
education program, which began
offering religion courses a few
years ago. The response was over-
whelming, Efird said.
"We thought we might have
eight or 10 folks he said. "That
first class drew 34 people
Duke's phone lines were buzz-
ing with callers saying "We want
more of this he said.
Betty Johnson, 56, a part-time
nurse and a Wesleyan, drove
from High Point to expand her
biblical horizons.
"I feel like I have gained a great
deal in understanding historical
circumstances, which makes you
understand Scripture in a right
light rather than taking it our of
context she said.
Efird's calss is very different
from Sunday school, she said. "I
think it's more objective ? not
trying to persuade anybody in
any doctrine she said.
Paraphrasing a line she heard
from Efird, Johnson said, "I think
that doctrine really has to be
judged by Scripture. We do not
judge Scripture by our doctrine
Sealy Cross of Raleigh, a candi-
date for ordination in the Epis-
copal Church, said the course has
heightened her interest in semi-
nary.
"It has made me extremely
eager to take Greek she said.
"It's convinced me that you don't
have to be a scholar to understand
what a scholar is saying
Efird is especially easy to un-
derstand, she said.
"He does it so casually she
said. "You don't really realize the
gems that he's dropped
At Wednesday's class on
"Paul's Prison Epistles Efird
tackled the book of Ephesians,
which contains a controversial
passage is the head of the church.
The passage is often quoted by
fundamentalist Christians to sup-
port their belief that wives are to
submit to their husbands.
Efird offered another interpre-
tation.
"He's using the social more of
the time to make a statement of
Christ's relationshop to the
church he said of the writer. "It's
not the social structure that is
being canonized here
At the end of each class, stu-
dents often ask questions about
how the Bible applies to a specific
issue in modern society. At a ses-
sion last week, the topic was
whether Christians who live to-
gether outside of marriage should
be banned from the Christian
fold.
"The church is called upon to
make those kind of judgments
Efird said, noting that the task is
never easy.
A gray-haired woman sug-
gested that some unmarried
couples who live together have a
more loving relationship than
some who are legally married.
Efird believes a clear standard
of morality must be upheld by the
Christian community, despite
changing social mores.
"When the church stands for
everything he said, "the church
stands for nothing
jM fe AAA EMPLOYMENT
mkJkm OF GREENVILLE
mmg f W 101 W 14th Street. Suite 203
I U I Greenville. N.C. 27834 4144
NEED A JOB WITH A FLEXIBLE SCHEDULE?
Stockto $3.65 Bookkeeperto $5.50
Maintenance to $4.00 Desk Clerkto $4.00
CAREERS TOO!
LOW FEE PERSONNEL
758-1393
Hirschfield still draws stars
NEW YORK (AP) ? At age 85,
Al Hircschfeld is still drawing in
the dark, capturing in his unidque
caricatures the essence and spirit
of Broadsay.
For six decades, the genial,
white-bearded artist has sat in the
theater and sketched, making
graceful line drawings that seem
to come alive on the page.
"I've learned to annoy as few
people as possible he was say-
ing the other day, reflecting on all
the hard work he has done during
performances with a small sketch
pad and a Venus HB pencil.
Hirschfeld was sitting in a bar-
ber chair in his studio on the top
floor of an East Side brownstone
where he has lived for more than
40 years with his wife, Dolly. It's
where he finishes all his draw-
ings.
Today, Hirschfeld draws more
than theater folk. Movie stars, tel-
evsion personalities, politicians,
even ordinary citizens are his
subjects, but it's the theater draw-
ings, particularly his sketches that
appear regularly in The New
York Times, that most people
remember.
On a slanted and well-worn
drawing table perched in front of
the barber chair. Hi rschfcld opens
a large sketch book. It's filled with
what look like random doodles ?
a cigar, wicker furniture, the de-
tail of window, a bow tie. They're
bits and pieces of remembrances
from the recent Broadway pro-
duciton of "Long Day's Journey
into Night
"These are very helpful in put-
ting together a sketch he says.
"You can't trust a faulty mem-
ory
These sketches were inter-
spersed with roughly drawn por-
traits of the play's two stars, Jason
Robards and Colleen Dcwhurst.
"She has a way of putting her
hand to her face all the time he
says.
Hirschfeld says he docs no re-
search before beginning to sketch
a new show.
"The characters arc what inter-
ests me, but as for the play itself,
sometimes I come out and I don't
know what it was all about He
says. "When I'm working, I con-
centrate on the actual design or
the image rather than the thought.
Later I go to the opening and can
see the play
Hirschfeld has always been
partial to drawing the larger-
than-life actors, particularly co-
medians.
"Most of them have invented
themselves he says. "They
know what they look like. People
like Carol Channing, Zero Mostel
and, in the eariler days, the Marx
Brothers, Buster KEaton, Charlie
Chaplin or Mae West. They were
all real inventions. The modern
actor is a little more the fellow
next door. The people in the street
are more theatrical than most ac-
tors today
The artist used to go out of
town, to Philadelphia, Boston or
New Haven, to see new shows
and do his sketches. Today, with
the Broadway tryout a rare occur-
rence, he goes to rehearsals or
run-throughs to do his sketching
or even draws from photographs
or videocassettes supplied by
producers.
Hirschfeld, born in St. Louis,
started out as a sculptor and later
turned to painting.
"Then suddenly I developed
this insane passion for line, and
what you can do with it, and how
it can communicate he recalls.
"It's always mysterious to me
how it happens"
His first drawing in The New
York Times appeared in 1925, a
sketch of Sir Harry Lauder, a
famous comedian of the day,
making one of many "farewell"
tours in New York.
From then on, Hirschfeld was
hooked on the theater and the
actors on stage.
Hirschfeld's drawings have
also intrigued people because he
puts Nina the name of his
daughter, in all his sketches. He
got the idea the day she was born
in 1945.
"I just wanted to record it his-
torically that she was here he
says. "I kept it up for two or three
weeks and then tried to stop it. I
would leave Nina out but the mail
was unbelievable
Nina will even make an appear-
ance on a postage stamp.
Hirschfeld has designed three 25-
cent stamps ? portraits of Laurel
and Hardy, Mary Pickford and
Rosa Ponselle ? that the Postal
Service will release over the next
year. It took a special decision by
Postmaster General Anthony
Frank to allow the stamps to have
Nina imprinted on them.
PIEIAI
PIIIAI
BUY ONE, GET ONE FREE!
ALWAYS!
ALWAYS!
TWO
MEDIUM
PIZZAS
"5 Topping Special
9
TWO
LARGE
PIZZAS
with chttjt and 1 topping
I No Urn EiofeM 1V31 m
756-7256 757-1212
5, 7S4-7JM 737-1211 w
? - ? ? - j
FREE MUG!
FREE REFILLS!
little Caesars Pizza
Open for Lunch at 11:00a.m.
E. 10th St. at Greenville Blvd. TCA-70tA
(rwit lo Food Lion) "?
323 Arlington Blvd.
? across frcm Farm F'esfii
757-1212
WELCOME BACK ECU !
T
SAY IT WITH BALLOONS
FROM
ANYTHING PAPER
Bouquets for those special times
Birthdays
I Love You
Anniversary
Get Well
Delivery Available to Campus
VisaMasterCard Accepted
Hwy. 43 S. Bells Fork Square ? 355-6212
Riverside
STEAK BAR
315 Stantonsburg Rd.
752-5001
Steak Sandwich SQ95
Served with trench tries -J
Salad Bar$375
Buffalo Wings
(12 pieces-served with choice ot sour cream, horseradish sauce or p -c iO
blue cheese dressing) 3
Beef Tips
5 Oz. served with trench tries or baked potato & bread
Billy E. Creech
Optician
Welcome Back Students
Greenville Opticians Has Remodeled
Come See Our New Image At
Doctors Park Building 1
(Same Office Complex With Greenville Eye Clinic)
Putting You First Makes Us 2
.? 752-4018
$495
Chicken Fingers $275
Served with choice ot sauce rf
Chicken Teriyaki ?
Grilled boneless chicken breasts-served with choice ot potato, ? ?JO
salad bar & bread i
Super Special 1 a 95
20 Oz. Sirloin for Two-potato & salad bar JL TC
Prime Rib
(Thurs Frl. & Sat.)-served with choice of potato & salad bar.
Melts in your mouth. ? q q ?
Small
Large
sll95
8 Oz. Rib Eye or New York Strip $ft95
Served with trench fries or baked potato vr
(Does not include salad bar.)
Visit our Hole-In-One Lounge for all your favorite beverages.
ardn
RALEIGH '
ha business uld be givd
icentives to pi ide druj
biton and treatm
l)T their emj iblica
eutenant j
m Gardru r said I la
But Gardner
Idvocatemanda
hr state em. thoufj
c look :
:st himscli several
'Asa can lid il
Iwojol
-tose in a lea
letest
Prevention
Can you
fcctim ' '
tuevi hen
feast ex ? ? whs
lou're flal
ring bu Iget i
ion, ft
?me-
I et's 1
?ent you I
ollegt
(lone. Can
hem ripped i
rooks are verj ?
ire in limited su
be easily r; I
have the mor ?
xks you art. - I I
re a necessary part of 1
ponalpr
BU'estment in your i
.
Unforl
Seven die in
kousfirc it a
piled seven and inj
lan 30 as pa
flaw, I
- b .
vho escaped "one
leath
Bet i '?
were in the Bi
El toy
i ignited sh? i
Sunday, said ohnM
department spokesman.
ave bodies were found tm
the "gutted club and t
d later, m
v :t's deadliest r
s said.
5c reaming p.
rtt club fought I
.i stairway
I arcntly startc
ne broke tl i
land were pulled I
Ifightcrs.
Some v. h
I standcrs in ru?
s save others, gt tl
lot firelight.
ir tools fire fighU i s
"It was sheer panic
fighter Dennis I
hike people tried to claw
the walls
"We had to br akad
to the first floor. - 1 hen vve
to break in th .
people helped frori
v pen the gate said I u
ne of those who scap
"1 was one -
:vl ven lu -
"All ol a sudden
flames come frori bar aj
There was a lot ot flai
here fast All ot a -
IvAtoosh said ai j
iFtancisco Dcla i 52.
Investigators w i
!rial from the ba
I presence . f flammable liq
according to Mulligan i ?
j the tire was sus - ?
spread rap :
Up to 150 t
I nearly three hours to brir
under control
j "There was h tire hlj
jirjg out into the street that w
didn't have am el
initial stages, said fin
limes Gallagb
The club was in a low ceil
5)-by-75-foot basement ot a
of stores and divided inl
poms.
t The bodies ol four men andl
vfoman were found toward)
fjont of the club, Gallagher s
?He said one "poor guy
fund with his Ikc in the
1? was trying to crawl inl
ifcr
J There was no s ridence
lasted license at the club. N'j
an said. Taverns are prohin
ip basements and there we
enough exits to satisfy builj
codes, said Deputy Fire '
Philip J. Burns.
Firefighters were "met be'
terical civilians streaming ur
staircase Mulligan said,
firefighter told me he litcralM





r
EMPLOYMENT
GREENVILLE
h 14th Street, Suite 203
lnvtlk, N.C. 27834-4144
jlBLE SCHEDULE?
i-eeperto $5.50
lerkto $4.00
OO!
IONNEL
?3
A!
A!
NE FREE!
lYS!
? ? ?
wo
1GE
IIIZAS
l??it ?nd 1 lopping
ElDM?t S56 75" 1 .??! "?-T?.?-1212 SOS ???J
fy 3 J73;iIVll
Pizza
11:00a.m.
6 7256
CU !
side
AR
$395
$Q75
tJ
$395
$495
$275
$795
$1495
$1195
$g95
te beverages.
ram
KM. HIGH (AP) ? North Caro- cofernernce, one of several sched-
ina businesses should be given ulcc around the state. But he said
incentives to provide drug edu- he docs no support drug testing
caiton and treatment programs for every state employee,
for their employees. Republican "Ir someone steps forward and
lieutenant governor candidate y5 lncy nav a drug problem,
im Gardner said today. mcn vvc should be in a position to
But Gardner said he does not help Gardner said.
Ivocate mandatory drug testing Gardner said a private doctor
tor state employees, even though administered his drug test, which
.took and passed ?a drug involved taking hair samples and
st himself several weeks ago. having them analyzed.
"I thought they were going to
under a coded file name
Asked what the results u -re,
Gardner responded: "Negati e
Gardner, who earlier endo ed
creating a new state agenc ' to
help local law enforcemnt a0en
.lie worKpiace ? is a long-term
cure.
"We want to get to the point so
that when a child reaches junior
high school and is approached
about using drugs, as they surely
s o job in state government, I feel
ose in a leadership role should
? tested Gardner said at a news
take one, but then ended up tak-
ing 50 he said. "I felt like I was
nearly bald. The resultscameback
cies fight drugs, said he intends to will be, they will say, 'Absolutely
make the war on drugs the top not" he said. "That is the point
issue in his campaign. when you start drying up dc-
"Pighting drugs is the Number mand for drugs and taking away
One thing 1 will be talking about the market
in my campaign Gar Iner said.
"As a parent, a grand 'arent I
see this as the most mportant
problem, but cducatioi. ? both of
children in school and parents at
Prevention, best combatant to thief
l an you afford to become a
ctim to theft? I would think not.
ves usually strike when we
it expect it, for example, when
iu re flat broke or on a shoc-
king budget from paying tui-
n, fees and buying books for the
mester.
1 et's look at what an invest-
ent you have just made as a
ollege student in academic books
:one. Can you afford to have
em ripped off? Some course
ooks are very expensive; others
ire in limited supply and cannot
e easily replaced even if you
ave the money to do so. The
boo
v a necessary part of the educa-
tional process. They are indeed an
nvestment in your future, and
hi cannot afford to lose them.
Unfortunately, at the beginning
and end of each semester aca-
demic books are a hot item on the
thieves list. Students steal books
from fellow students to take a
list of all your books by title, name
fo author and value, so you can
refer to it if your books are lost or
stolen. This not only helps posi-
tively identify the book as yours,
helps police recover it if it is sto-
len, and also protects it from theft
because it can be traced. It will not
hurt the resale of the book, and the
next owner simply writes their
identification number under
Gardner said he was working
on specific incentives to encour-
age businesses to offer drug edu-
cation and treatment programs
Cable car
wrecks,
injuries 3
SAN FRANCISCO (AP) ? A
cable car on a steep, damp hill
above Fisherman's Wharf lost its
grip and rolled backward, hitting
yours. a car and causing three minor in-
Academic books are usually juries, officials said.
The accident occurred on the
course instead of buying them.
However, the majority of books stolen from classroooms, offices,
are stolen for resale to the book hallways, snack bars and dorm Hyde Street hill, about a block
stores for instant cash. rooms, to name a few. Actually from a May 16 accident in which a
You can protect your invest- they are stolen from anywhere
ks you are required to have mentby first writing your student they are laid down. Books and
identification number (social se-
curity number) or drivers license
number inside the front cover and
on another page inside the book
known only to you. Then make a
other valuables should never be
left unattended. No one would
lay a twenty dollar bill down and
turn their back or walk off and
leave it. Most books cost much
more than that and should be
runaway cable car hit a truck, in-
juring 36 passengers.
On Sunday, the car carrying 25
to 30 riders was headed up the hill
when it disengaged from the
underground cable near Fran-
cisco Street, officials said.
The brakeman applied the
1 . , iir?? ??: man mat ana should be ine oraKeman applied tne
Seven die in night club fire .tcd z??3 wcrc moncy- lcTtrand TZTV brk?'
? fcen while books are in vour but the car rolled backward into
NEW YORK (AP) - A suspi-
us fire at a crowded social club
lied seven and injured more
an 30 as panicked patrons
lawed against the walls and
ors trying to flee, leaving those
ho escaped "one step from
?h
Between 60 and 100 people
were in the Bronx club known as
El Hoyo (The Hole) when the
blaze ignited shortly after noon
Sunday, said John Mulligan, a fire
department spokesman.
1 ne bodies wore found inside
the gutted club and two people
died later, making the blaze the
city's deadliest this year, fire offi-
cials said.
Screaming patrons in the base-
nt club fought for the lone exit,
) a stairway where the fire ap-
irently started, authorities said.
me broke through a rear wall
d were pulled to safety by fire-
hters.
Some who escaped joined by-
lers in rushine back in to trv
save others, getting in the way
firefighters and even grabbing
ir tools, firefighters said.
It was sheer panic said fire-
r Dennis Fennell. 'it looked
ice people tried to claw out all of
walls
. e had to break a door to get
1 the first floor Then we had
break in the gate and some
pie helped from outside to
? the gate said Luis Sone,
f those who escaped.
"I was one step from death. I
el very lucky
All of a sudden I saw the
' ames come from the bar area.
I lure was a lot of flames. It was
very fast All of a sudden,
???hoosh said another patron,
fancisco Delarosa, 32.
Investigators were testing ma-
:rial from the basement for the
presence of flammable liquid,
according to Mulligan, who said
trie fire was suspicious because it
?read rapidly.
Up to 150 firefighters battled
(arlv three hours to bring the fire
nder control.
"I here was so much fire blow-
g out into the street that water
idn't have any effect on it in the
Aitial stages, said fire Capt.
mes Gallagher.
?The club was in a low-ceiling,
)-by-75-foot basement of a row
f stores and divided into smaller
? Ooms.
i The bodies of four men and one
v man were found toward the
front of the club, Gallagher said.
j 1 le said one "poor guy was
iGund with his face in the wall like
!fe was trying to crawl into a cor-
rfcr
j There was no evidence of a
posted license at the club, Mulli-
gan said. Taverns are prohibited
n basements and there weren't
dnough exits to satisfy building
codes, said Deputy Fire Chief
Philip J. Burns.
Firefighters were "met be hys-
terical civilians streaming up the
staircase Mulligan said. "One
firefighter told me he literally had
to tight his way down the stairs
Most escaped through the
club's small front door and nar-
row staircase, but others were
able to break through a wall near
the back, he said. A second door
on the side of the club was locked
shut, he said.
Firefighter Joseph Kisonas said
hysterical people outside the club
"were trying to fight the tools
away from us" so they could re-
enter and help others.
Even while books are in your
room, apartment, office or house,
protect them by locking your door
when you arc out or away, even
for a minute.
Remember, you are the key to
protecting your investment.
What you do can make a differ-
ence by practicing crime preven-
tion and safety.
On behalf of the ECU Depart-
ment of Public Safety-Police,
"Welcome" and may you have a
safe and successful school year.
but the car rolled backward into
an automobile, which then hit a
parked auto. The cable car slid
down the hill for about 200 feet
before stopping.
Three passengers were treated
for minor injuries at the scene, and
the damage to the cars was minor,
officials said. The cable car was
apparently undamaged.
ECtl
Welcome Back ECU
Wachovia
Teller II
Cirrus
Relay
mmtm
?n
Anytime
6 Conveniently located Teller IFs througout
Greenville Including locations at Mendenhall
Student Center and 10th Street by Darryl's.
Wachovia
Bank&Tnist
i
HOMEMADE
ICE CREAM
Greenvilie.NC
Coupon ? ??????!
Hanks
Homemade Ice
Cream, Frozen
Yogurt and
Sorbet
321 E. 10th (Next to Wendy's)
758-0000
Now Open Til Midnight
Friday - Saturday - Sunday
"Start The Wave"
Bandanna
Ext a Large (22" x 22')
Regular Price $4.00
Just $3.75
with this coupon
Expires 8-31-88
? Coupon
HOMEMADE
ICE CREAM
Greenvilie.NC
Hank's
Homemade Ice
Cream, Frozen
Yogurt and
Sorbet
321 E. 10th (N'cxt to Wendy's)
758-0000
Now Open Til Midnight
Friday - Saturday - Sunday
Hank's Original
Tye Dye T-Shirts
Regular Price $14.99
$2.00 Off
With This Coupon
Expires 8-31-88
Coupon ????
Hank's
HOMEMADE
ICE CREAM
Homemade Ice
Cream, Frozen
Yogurt and
Sorbet
321 I lOtr Next to Wendy's)
16 3-0000
Now Open Til Midnight
Friday - Saturday - Sunday
Pirate Sunken
Greenvilie.NC
Treasure
The Upside Down Banana Split .
That's Worth Digging For"
50 Off
With This Coupon
Expires 8-31-88





;

i
16
THE EAST CAROLINIAN
AUGUST 23, 1988
K
IIM
OUR PHILOSOPHY
IS TO SERVE YOU A
HAMBURGER THAT'S
BETTER THAN
THE OTHER GUYS.
AND WE'RE PUTTING
OUR MONEY WHERE
YOUR MOUTH IS.
SAVE
SAVE
.40
SAVE.
.40 '
SAVE
.40
pw
9H Single
Hamburger!
99tf Single
Hamburger
99C Single T
Hamburger
Valid only at Participating Wendy s. Please present
coupon when ordering. One coupon per Customer
per visit Not valid with any other offers Cheese
extra. Tax extra where applicable
EXPIRES SEPTEMBER 31, 1988
Valid only at Participating Wendy s. Please present
coupon when ordering. One coupon per Customer
per visit Not valid with any other offers Cheese
extra. Tax extra where applicable
EXPIRES SEPTEMBER 31, 1988
S A V I.
s a v i:
BIG CLASSIC
COMBO
$1.99
Big Clastic, Regular Fries, Medium Drink.
Valid only at Participating Wendy a. Pleaae present
coupon when ordering One coupon per Customer
per visit Not valid with any other offers. Cheese
extra. Tax extra where applicable.
SAVE
.50
EXPIRES SEPTEMBER 31, 1988
CHICKEN
SANDWICH
NOW ONLY
Valid only at Participating Wendy s. Please present
coupon when ordering. One coupon per Customer
per visit Not valid with any other offers Cheese
extra Tax extra where applicable.
EXPIRES SEPTEMBER 31, 1988
BIG CLASSIC
COMBO
$1.99
Big Classic, Regular Fries, Medium Drink.
Valid only at Participating Wendy s. Please present
coupon when ordering. One coupon per Customer
per visit. Not valid with any other offers Cheese
extra Tax extra where applicable
EXPIRES SEPTEMBER 31, 1988
SAVE
.SO
CHICKEN
SANDWICH
NOW ONLY
$1.49
Valid only at Participating Wendy's. Please present
coupon when ordering. One coupon per Customer
per visit. Not valid with any other offers Cheese
extra. Tax extra where applicable.
EXPIRES SEPTEMBER 31, 1988
s V I
75 OFF
S A V I.
752 OFF
THE PRICE OF ANY
HOT STUFFED
BAKED POTATO
Valid only at Participating Wendy's Please present
coupon when ordering. One coupon per Customer
per visit. Not valid with any other offers. Cheese
extra. Tax extra where applicable.
EXPIRES SEPTEMBER 31, 1988
THE PRICE OF ANY
HOT STUFFED
BAKED POTATO
Valid only at Participating Wendy's. Please present
coupon when ordering. One coupon per Customer
per visit. Not valid with any other offers Cheese
extra Tax extra where applicable.
EXPIRES SEPTEMBER 31, 1988
99c Single
HamburgeiJ
1
valid only at Participating Wendy s. Please present
coupon when ordering One coupon per Customer
per visit Not valid with anv other offers. Cheese
extra Tax extra where aoohcable
EXPIRES SEPTEMBER 31, 1988
Valid only at Pertr Wendy s. PWaae present
coupon when ordering One coupon per Customer
per visit Not valid with any other offers Cheese
extra Tax extra where applicable
EXPIRES SEPTEMBER 31, 1988
SAVE
SAVK
BIG CLASSIC
COMBO
Big Classic, Regular Fries, Medium Drink.
Valid only at Participating Wendy's. Please present
coupon when ordering. One coupon per Customer
per visit. Not valid with any other offers. Cheese
extra. Tax extra where applicable.
EXPIRES SEPTEMBER 31, 1988
BIG CLASSIC
COMBO
$1.99
Big Classic, Regular Fries, Medium Drink.
Valid only at Participating Wendy's Please present
coupon when ordering. One coupon per Customer
per visit. Not valid with any other offers Cheese
extra Tax extra where applicable.
EXPIRES SEPTEMBER 31, 1988
S A V K
75(2! OFF
J8k,
m
S A v i
75? OFF
THE PRICE OF A
GARDEN FRESH
SALAD
Valid only at Participating Wendy's. Please present
coupon when ordering. One coupon per Customer
per visit. Not valid with any other offers. Cheese
extra. Tax extra where applicable.
EXPIRES SEPTEMBER 31, 1988
THE PRICE OF A
GARDEN FRESH
SALAD
Valid only-at Participating Wendy s. Please present
coupon when ordering. One coupon per Customer
per visit Not valid with any other offers. Cheese
extra Tax extra where applicable.
EXPIRES SEPTEMBER 31, 1988
savi:
s a v i
REGULAR SIZE
CHILI
REGULAR SIZE
CHILI
jffcnws
Valid only at Participating Wendy's. Please present
coupon when ordering One coupon per Customer
per visit. Not valid with any other offers. Cheese
extra Tax extra where applicable.
EXPIRES SEPTEMBER 31, 1988
Valid only at Participating Wendy's. Please present
coupon when ordering. One coupon per Customer
per visit Not valid with any other offers Cheese
extra. Tax extra where applicable.
EXPIRES SEPTEMBER 31, 1988
The best burgers
in the business.





k m
WELCOME BACK
students!
iWv
Items and Prices Effective
Sun. August 21. 1988 thru
Sat. August 27, 1988
Copyright 1986 Kroger Saw On Quantity
Rights Reserved None Sold To Dealers
ADVIRT1MD tTiM POLICY
.?Ch Ot thatS ad-artlfad Ittml 11 r?4ufr?0 to h. raadll.
favMlabl (or ??? in tich Kto?i tt.en atcapt M
spar ifit ad, "oi.O tn thts ?d II ? do run out of an item
-? will oNf rou your cholca ot ? compartblt Mom whan
available r af (acting h? tamo ?avlr?? or a ?, ,
which will ontltlo y ?-? ? lo purchoa iho ad H?ad Ml in at
lha ?t)vtiio arlca within 30 day Only ona vandor
coupon will h. accaplod par Mam
DEL MONTE VANILLA,
FUDGE. CHOCOLATE
OR BANANA
Pudding
Cups
INDIVIDUALLY WRAPPED
AMERICAN CHEESE
Kraft
Singles
16
Oz.
Pkg
IN THE DELI
PLAIN OR UNSALTED
Nacho
Chips
3-
REFRESHING
SERVE N SAVE
Lemonade
SfcRVJ
tiSAVL
jli ,aW
? iTiT -J ? S.
Luncheon
Meat
BATH TISSUE
White
Cloud
COORS LIGHT. COORS EXTRA
GOLD BUD LIGHT OR
Budweiser or
Coors Beer
12-Oz.
Cans
REMINDER: WE CHECK ID'S - YOU MUST BE 21
(RED 5-OZ. TUBE) TARTAR
CONTROL REGULAR OR
GEL. OR RED
Colgate
Toothpaste
LIMIT 1 WITH S10
ADD L PURCHASE
-09
At Kroger,
your
pharmacist
fills your
prescription!
while you
fill your
shopping list.
IN THE KROGER DELI
TAKE N BAKE
Fresh Pizza. . .
FRESH FRIED DAILY
Yeast Donuts . doz
FRESH BAKED 8
Sandwich Buns pCk9
WPies 'O
$199
99
NEW!
Rental
Mail
Boxes
now irii7
UNITES STATES
POST
OFFICE
MON. - FRI.
8:30 - 5:00
SATURDAY
8:30 - 12:30
?IL
???.
HAIL
I
AVAILABLE AT OUR
IN STORE POST OFFICE
OPEN 24 HOURS EVERYDAY
600 Greenville Blvd. - Greenville
KjBjDjGiuaiviua
1,000 TITLES
TO CHOOSE FROM
Movie
Rentals
MULTIPLE COPIES
OF NEW RELEASES
New
Releases. . .
mtja ejHBlHaS
99?
M W Per Day
H99
Pw Day I






i
18
THE EAST CAROLINIAN
AUGUST 23,1988
Baptist rift yet to shake schools
? EL-509HS ? 31 Scientific Functions
ASHEVILLE (AP) ? The fun-
damentalist-moderate rift that
has split Baptist ranks in several
Southern states has yet to shake
Baptist education in North Caro-
lina, but moderates should be on
guard, a minister said.
"North Carolina is not as
greatly affected because there is a
commitment by most Baptists to
keep an open atmosphere on our
campuses said the Rev. Leon
Smith, president of the North
Carolina Baptist Convention and
senior minister of First Baptist
Church in Goldsboro.
"Some of the national seminar-
ies are influenced by the conser-
vative elements, but we are confi-
dent that the integrity of the
schools will be maintained where
students can get a good Christian
education without the abnormal
influence from the extreme right
movement Smith said.
Baptist-supported universities
in North Carolina include Wake
Forest University and Mars Hill
College, whose faculty Smith and
William Hull, provost of Smaford
University in Birmingham, Ala
addressed Wednesday during a
conference at Ridgecrest.
"The November election sig-
naled that moderate Baptists
wanted to maintain the integrity
of the Baptist institutions Smith
said.
"But that can change. We must
continue to be vigilant against
those who do not have the same
commitment to higher educa-
tion
servative chuches in Mississippi
and other Southern states have
withdrawn from their state and
national conventions to protest
moderate views.
The Southern Baptists Alliance
is a national group made up pri-
Smith, 48, won 62.3 percent of marily of moderate Baptists.
the vote in his election against
fundamentalist minister Ned
Mathews of Gastonia. The elec-
tion came in the wake of contro-
versy at Southeastern Theological
Seminary in Wake Forest, where
conservatives took control of the
board of trustees and vowed to
hire fundamentalist professors.
Moderate Baptist churches pro-
vide two-thirds of the support for
the Baptist colleges, Smith said.
In his remarks, Hull noted that
"neo-fundamcntalism" gained
wider acceptance with the Re-
Moderate members have dis-
sented publicly against the
denomination's fundamentalist
leaders.
The Southern Baptist Conven-
tion is hte denominational unit
that manages the education and
missions programs of about
36,000 churches and is the
nation's largest Protestant de-
nomination with an estimated 15
million members.
Since 1979, fundamentalist-
backed candidates have been
elected president of the conven-
diminishing number of college
students.
"An education can cost half as
much at a Baptist college in the
South than in the North and be
just as good Hull said. "And the
colleges offer more personalized
service, where even freshmen can
have classes with full professors
Larger church-supported col-
leges offer professional educa-
tions in business, medicine and
law, but few graduate science
profreams because of the ex-
pense, Hull said. Faced with other
money problems, small colleges
may have to either grow or merge
to survive, Hull sajd.
EL-509HS
Ws??tlM4. tuMMturtd tetontlflc
Mteutoter wHh buM-ln ?tetotles tuncDon
? temt of th? 31 ?o?nti?ie functions p?rform?4
M th? touch of ? h?y ?'? trigonometric (tin.
cot. tan) and thotr invoraa. aMponantiai (baaa
10 and baaa a) and thar invaraaa
(toflariihma); poWar (y?) and its tnvarta ("?
root of y"): factorial (n 3 anoja modot
(dagroaradiangradian): maan. aum, and
atandard deviation
? Eaayto-raad 8-digit liquid crystal diaplay
? Scientific notation (S-digit mantiaaa. 2-digtt
exponent).
? Independently accessible 3-key memory
? Comes in its own attractive wallet
17.95
9&
516 S. Cotanche ? Greenville, NC 27834
agan presidency and the use of tion. They have the power to in-
electronic media to broadcast its fluence the appointment of trus-
views. tees to convention boards and
"Dogmatic absolutism" helps
neither religion nor education,
Hull said.
"The battle has not been won.
We must continue to be vigilant
Smith said. "We don't want to see
our colleges turned into sectarian
institutions for the promulgation
of narrow theological views
As part of the church rift, con-
agencies.
Each Southern Baptist church
operates autonomously, but
churches finance national pro-
grams through the convention.
To compete with publicly sup-
ported institutions, Baptist col-
leges will have to market their
advantages, Smith and Hull said,
as competition increases for the
Strategic planning hits ECU
ECU Newi Bureau
Greenville-East Carolina Uni-
versity will embark on a univer-
sity-wide strategic planning ef-
fort over the next two years,
Chancellor Richard R. Eakin an-
nounced today at the fall faculty
convocation.
Citing an array of noteworthy
accomplishments in all areas of
the university's mission, Dr.
Eakin said he was inpressed with
ECU's achievements and "the
considerable gains we have made
in a broad array of endeavors
"East Carolina University is
preforming well Dr. Eakin told
and most
Today he
groundwork
critical challenge
said much of the
had been laid for
such an effort.
A faculty committee redrafted
the formal university mission
have been initiated with the ECU
Foundation, the Medical School
Foundation and the Pirate Club
"to build a base for a cooperative
effort" in a major campaign.
'Some objectives for a major
(2 Doors Below Coin & Ring Man)
USED FURNITURE
OUTLET
WHOLESALE PRICES"
DEALERS WELCOME
statement and the university's campaign are either clear today or
new director fo planning and in- could be readily identified he
said,
from
fort
"Others will likely emerge
the strategic planning ef-
stitutional research has formu-
lated a design for strategic plan-
ning.
Eakin said the draft of the uni-
versity mission statement would
serve as an "excellent basis" for
the planning effort. He siad the
planning design is to be pre-
viewed by vice chacellors, deans,
representatives of the faculty sen-
the annual faculty assembly ate and staff members in Septem-
which signals the opening of the ber and that "planning efforts
academic year. Classes for the should get underway in earnest
more than 15,000 students begin during the fall semester
at ECU Monday. "Planning has many dimen-
Dr. Eakin, beginning his second sions and, if done properly, is a
academic year as chancellor, dynamic, ongoing process he
addedThere is much to be ac- said. One aspect! he said, will If ?jf ?T?8 a?f
complished to improve this fine concern physical constraints on
university Some improve- the university, including parking
ments, he saidwill require our and the limited availability of
collective energies and idead over property to meet present and fu-
a more extended period ture growth.
"We have a need to examine our Eakin siad the university plans
university to be sure that we are to purchase the J.H. Rose High
satisfied with our structure of School property adjacent to the
programs and services in the light ECU campus by 1991, a move
of presentopportunities and state which will provide "considerable
ind regional needs Dr. Eakin relief to out crowed conditions
Mena while, Dr. Eakin said'It is
time, I believe, for East Carolina
University to consider a major,
university-wide fund-raising
campaignHe said discussions
said. "In short, we need to plan for
the future
In his first convocation addresi
year ago, Eakin also stressed
strategic planning as "the first
Concurrent with the develop-
ment of a strategic plan for ECU,
Eakin said he would "take those
first steps necessary! to initiate a
major fund-raising effort" on
behalf of the university.
"Much is happening at ECU
the chancellor said. "Record en-
rollments and budgets, new
buildings under construction and
planned, new faculty and staff to
add new and stimulating in-
new initiatives from pride Dr.
Eakin said.
He noted that the university
expects a record enrollment of
more than 15,300 students al-
though freshman applications
both out-of state and in-state stu-
dents were halted last winter and
spring.
"Clearly, ECU is a popular
choice among prospective stu-
dents and parents Eakin said.
ATTENTION
The East Carolinian would like to extend a
hardy welcome to you, the incoming fresh-
men. When you feel the need to become in-
volved in campus life; please keep in mind the
endless opportunities available at
The East Carolinian.
Thank you for your support.
During 1987-88, the university
received more than $5.8 million in
gifts, and increased of seven per-
cent over the previous year. He
Cash and Carry
(Cash, Approved Checks, Credit Cards)
Living Room, Bed Room,
Dining Room, Den, Kitchen,
Misc. Furniture and
Accessories
(Lamps, Pictures, mirrors, etc.)
Specializing In Used Student
Furniture
at "Wholesale Prices"
At
The Coin & Ring Man
On The Corner Below "Fizz
400 S. Evans St.
cited new buildings, planned
structures, campus beautification
activities and "exceptional" fac-
ulty research productivity.
10:00-5:00 M-F
10:00-3:00 Sat.
752-3866
The Episcopal
Student Fellowship
Invites You
EACH WEDNESDAY
5:30 - The Holy Eucharist
Supper Provided Following Service
BEGINNING AUGUST 24TH
ST. PAULS EPISCOPAL CHURCH
401 E. 4th Street
Cross 5th St. at GarrettFletcher Hall
walk down Holly St. to 4th St. You are there
Your Bank at ECU Mendenhall
BB&T offers ECU Convenience PLUS
iD(
I1ITV
tfsMureThanABank.
Itfe An Attitude.
Meaner Federal Depmlt lawr??ct Corpor?tto?
CHECKING PLUS
For $4.00 per month, you can have
? Free checks all the time
? Free money orders
? Discounts at Greenville Theaters
? Travel and Amusement Park Discounts:
? $10,000 Accidental Death Insurance f
. . . AND MORE
FREE 24 HOUR BANKING
We never charge you for using our
BB&T 24 machine. You'll receive a
24 hour card with a checking or
savings account.
Other BB&T Greenville
Offices:
?Main Office - Stantonsburg Road
BB&T 24
?Downtown Office - Corner 3rd & Greene
301 Arlington Boulevard
BB&T 24
?Pitt Memorial CASH Dispensing
For Service or
Information Call
752-6889

jv
Cloud
(AP) ? Lots of clouds and sol
rain brought cooler weather
urday to North Carolina, whl
three days of record-break)
temperatures and no precip
tion had killed two people, dim
ished water supplies and haj
devastating ecomonic effect
poultry producers
Two women, in acksom
and Greenville, died of heat-
latcd causes, authorities said.
A survey of 12 of 14 poul
producers at processing plal
statewide found that more trl
166,000 chick, i trom
heat by mid-week and at lei
15,000 turkeys
Agriculture Comi
Graham
At least 15 North Car I
were under some I :?er c
servation, incl r C
where officials are i
decide Monda. j
water ration
But better d
ahead, said Dennis D ?
meteorologist with the Natio
Weather Sen ileigh-D
ham Airport.
"There ai j
for the
said. W k froi
system pusl
day (Friday) and that
just to the : Tlied
quite a bit of - n in
ginia. Then - . ik upj
Apartment n
from propert
By GREER BOWEN
Stall V cr
In light of the 1 J
Apartment fire, area real esi
brokers say there are many w
renters can pro! t I
from loss of property.
Mac limes of Dawson
Mines Reality said the rr
portant way a tennant car 1
themselves is to read the lei
Hines said that if you can't un
stand the lease take the teas
someone who can.
Most leases are written ii
standard form. A Nash coul
lease agreement has tl j
in it: The lease holder shall no
liable for any damage to any
son a thing, however oca
gas, electricity, fire, wa
snow, storm, or sewag
clause is very often
rental agreements.
Mr. Hines said to rememi
that, "A land t alwaxj
realitor This is important!
remember. Am one can rent lal
it takes no special degree er
cense to rent land. But a true n
itor has a professional d J
tion. It is like the do:
tween an accountant and a C
A C.P. A. has had more I
"I wouldn't feel ob i
reimburse the renter but 1 wq
help to relocate tV
plex or some other compk
Hines said. "1 would tell my
dren to read the lease and r
renters insurance
ued.
Renters insui -J
many situations. Renters
ance can cover fire,
windstorm, hail, smok
objects, explosion, var I
riot, theft, water escape free
of plumbing and many other J
ations. This type ranc
available from almost any in
ance company.
Vicky Hardy of State Farm"
surance said rental insui I
less expensive than most pod
realize. Even though many
ents have a homeowners pel
that will cover their childrej
college, most do not.
When obtaining an insure
policy for your apartment m;
list of all your personal belj
ings. "If you figure that you"
X amount of jeans at X amouj
dollars, a TV sofa, bed
dresser, vou'll soon find out I
worth a great deal more than
ever would have imagined
Hardy. Hardy added that evj
you purchased all belongs at
sales, you should apraise
belongs based on their rep
ment value.
Taking photographs of
room in your house is also a ?J
idea. That way if your hor
vandalised, you can more e
access the damages.
The insurance cost of an al
ment may vary due to howl
constructed. Apartments ma
wood are the most expenshj
your apartment cost $20,000 J
build the cost will be bct





:ientific Functions
THE EAST CAROLINIAN
AUGUST 23,1988 19
??
17.95
lc, NC 27834
RE
ICES"
ME
If Cards)
oom,
itchen,
and
rs. etc)
tudent
Man
izz
752-3866
W0000000&
:
NG PLUS
Iper month, you can have
Iks all the time
ley orders
at Greenville Theaters
Amusement Park Discount
accidental Death Insurance
MORE
For Service or
-nation Call
752-6889
Clouds cooling record heat
(AP) ? Lots of clouds and some
rain brought cooler weather Sat-
urday to North Carolina, where
three days of record-breaking
temperatures and no precipita-
tion had killed two people, dimin-
ished water supplies and had a
devastating ecomonic effect on
poultry producers.
Two women, in Jacksonville
and Greenville, died of heat-re-
lated causes, authorities said.
A survey of 12 of 14 poultry
producers at processing plants
statewide found that more than
166,000 chickens died from the
heat by mid-week and at least
15,000 turkeys also were lost, said
Agriculture Commissioner Jim
Graham.
At least 15 North Carolina cities
wore under some type water con-
servation, including Siler City,
where officials are expected to
decide Monday whether to begin
water rationing.
But better days appear to be
ahead, said Dennis Decker, a
meteorologist with the National
Weather Service at Raleigh-Dur-
ham Airport.
"There are a couple of reasons
for the lower temperatures, he
said. "We had a weak frontal
system push into the area yester-
day (Friday) and that has lingered
just to the north of us. There's
quite a bit of precipitation in Vir-
ginia. There's also a weak upper
level disturbance crossing the perature, a federal health official
state that's also enhancing the said.
high clouds. With less sunshine, "If you sit in front of a fan and it
temperatures don't get quite-as makes you feel hotter, that's
warm as they have been over the probably a good reason to turn the
last couple of days fan off said Dr. Edward M.
Also, a cold front that was over Kilboume, an environmentalist
Virginia, West Virginia and parts
of Kentucky Saturday appeared
was moving slowly, he said.
"It looks like the extreme heat is
over, at least for now he said,
adding that rain could fall across
the state Sunday.
an
health epidemiologist with the
Centers for Disease Control in
Atlanta.
Kilbourne said fans were a good
way to cool off when tempera-
tures were below 100 degrees.
When the air temperature gets
That's good news for people hotter than skin temperature, he
such as Annie Gunter of Raleigh, said, "you're replacing relatively
who doesn't have air-condition-
ing. She doesn't like air-condi-
tioners and doesn't want one.
"1 like my fan she said. The
only way she's found to beat the
heat is to sit in the shade.
Daisy Williams, also of Raleigh,
said it was so hot Friday that she
and her brother, Lewis S.
Riddock, had parked themselves
in front of the door underneath
the shade of a spreading china-
berry tree.
"The only thing I got in there is
a fan Mrs. Williams said as she
jerked a thumb in the direction of
her house. "And I get so hot at
night
But when temperatures soar
above 100 degrees, using a fan
might hurt more than help. That's
because the fan may by blowing
air that's hotter than body tern-
cooler air near the skin with hot
air from the room
But it could be tough to find an
air-conditioner to buy now.
Are sales brisk? "Not really
said Bill Partee, a salesman at
Sears, Roebuck and Co. in Greens-
boro, "because we're sold out.
This is the first time in eight years
this has happened. We were
down to the bare necessities. We
even sold the display models
Partee said the store won't be
ordering any more units for this
season. Customers still have a
chance of finding one through the
catalogue center, he said.
Air-conditioning repairmen
also were popular the past week.
"We're swamped said Jesse B.
Dickerson, service manager for
Jones Service Co. Inc. of Carrboro.
"We're turning down more than
we can do.
But the Community Kitchen in
Durham may have an even bigger
task ahead of it than the repair-
men. An 11-hour power outage
Thursday spoiled the meat, sand-
wiches, vegetables and fruit in the
kitchen's refrigerators at the Ur-
ban Ministries Center.
Betsy Rollins, director of the
kitchen, said Friday she pur-
chased meals from local restau-
rants at cost for the noon and
evening meals. She will continue
the policy through the weekend
as she seeks contributions to re-
plenish the refrigerator.
Apartment renters may protect themselves
from property damage with insurance
???????Ml
JO
By GREER BOWEN
Staff Writer
In light of the Langston Park
Apartment fire, area real estate
brokers say there are many ways
renters can protect themselves
from loss of property.
Mac Hines of Dawson and
Hines Reality said the most im-
portant way a tennant can protect
themselves is to read the lease.
Hines said that if you can't under-
stand the lease take the lease to
someone who can.
Most leases are written in a
standard form. A Nash county
lease agreement has this written
in it: The lease holder shall not be
liable for any damage to any per-
son a thing, howeveroccuring, by
gas, electricity, fire, water, ice,
snow, storm, or sewage This
clause is very often included in
rental agreements.
Mr. Hines said to remember
that, "A landlord isn't always a
realitor This is important to
remember. Anyone can rent land,
it takes no special degree or li-
cense to rent land. But a true real-
itor has a professional designa-
tion. It is like the difference be-
tween an accountant and a C.P.A.
A C.P.A. has had more education.
"1 wouldn't feel obligated to
reimburse the renter but I would
help to relocate them in our com-
plex or some ether complex
Hines said. "I would tell my chil-
dren to read the lease and have
renters insurance Hines contin-
ued.
Renters insurance is an asset in
many situations. Renters insur-
ance can cover fire, lighting,
windstorm, hail, smoke, falling
objects, explosion, vandalism,
riot, theft, water escape, freezing
of plumbing and many other situ-
ations. This type of insurance is
available from almost any insur-
ance company.
Vicky Hardy of State Farm In-
surance said rental insurance is
less expensive than most people
realize. Even though many par-
ents have a homeowners policy
that will cover their children at
college, most do not.
When obtaining an insurance
policy for your apartment make a
list of all your personal belong-
ings. "If you figure that you have
X amount of jeans at X amount of
dollars, a T.V sofa, bed and
dresser, you'll soon find out your
worth a great deal more than you
ever would have imagined said
Hardy. Hardy added that even if
you purchased all belongs at yard
sales, you should apraise your
belongs based on their replace-
ment value.
Taking photographs of each
room in your house is also a good
idea. That way if your home is
vandalised, you can more easily
access the damages.
The insurance cost of an apart-
ment may vary due to how it is
constructed. Apartments made of
wood are the most expensive. If
your apartment cost $20,000.00 to
build the cost will be between
$9.00 and $12.00 a month. The
average cost of this type of insur-
ance is around $127.00 a year. Fire
alarms and dcadbolt locks can
help keep insurance costs down.
This policy can be easily trans-
ferred to almost any town if you
get your insurance with a national
company. State Farm requires a
$20.00 deposit and can bill you
cither quarterly or semiannually.
W yn? have car insurance, it is
possible to pay both in one pay-
ment.
Many students don't realize
that it is not the responsibilty of
the apartment owner to re-
imburse renters in the event of
any damages to the renters prop-
erty. Therefore, these students
risk a great deal of money because
they are unprepared.
"We lost every thing roughly
two weeks' supply she said. "It
was awful .
Seafood House and Oyster Bar
Washington Highway (N.C. 33 ext.) Greenville, North Carolina
Mon. thru Thurs. Night
Shrimp Plate $3.65
Fri. & Sat.
Flounder, Shrimp,
Oyster Plate
$5.75
Come Worship With
Grace Church
New Bern Highway
At Bells Fork
Grace Christian
Fellowship Meets
2nd ?t 4th Nights
At Mendenhall
355-3500
9:45 AM - College Bible Study
11:00 AM - Morning Worship
7:00 PM - Evening Worship
Making a
difference at
East Carolina
"A church that is finding needs
and filling them"
(Opportunities of tervtce: College Mtntoby choir.
Special Music A Instrumental Ensemble)
YOUR SPORTS STATION
Professor
Eating &Dri
MONDAY NITE (J FOOTBALL
AND ALL MAJOR SPORTING EVENTS
Casual Dining at its Finest
Featuring our soon-to-be-famous Double-Shot Margaritas!
Don't Miss our Reggae Celebration Every Wednesday Night
LOCATED BEHIND QUINCYS AND ACE CLEANERS
IN THE FARM FRESH SHOPPING CENTER
11 am-1 am Monday-Saturday 11 am-10 pm Sunday 355-2946
Welcome
Back
ECU Students
COUPONS GOOD THRU SEPTEMBER 88' ONLY
2 Free Tanning visits
with
HaircutBlowdry
Yearly Membership
to tanning Booth
$100.00
unlimited visits
$60.00 Membership
to tanning Booth
per semester
1 Free
Tanning Visit
with a 29.95 perm
L
Special good with couupon only Appointment helpful but not necessary!
, 103 EASTBROOK DRfVE 758-7570
Hand packed Pint
FREE With Any
Handpacked Quart
Purchase
Please present when order-
ing. Not valid with any other
discount, special or promo-
tion. Limit one coupon per
customer per visit.
Offer good through
Greenville Square
(Next to K-Mart)
i ????????????i ???????? ?
Buy a Double Scoop
Waffle Cone
Get One FREE
Please present when order-
ing. Not valid with any other
discount, special or promo-
tion. Limit one coupon per
customer per visit.
Offer good through
Greenville Square
(Next to K-Mart)
Milk Shake
$1.31
(Regular Size)
Please present when order-
ing. Not valid with any other
discount, special or promo-
tion. Limit one coupon per
customer per visit.
Offer good through
Greenvilla Square
(Next to K-Mart)
$1.50 OFF
The Regular Price
of Any Pie or Cake
Please present when order-
ing. Not valid with any other
discount, special or promo-
tion. Limit one coupon per
customer per visit.
Offer good through
Greenville Square
(Next to K-Mart)
-
Buy A Hot Fudge
Sundae, Get One
FREE
Please present when order-
ing. Not valid with any other
discount, special or promo-
tion. Limit one coupon per
customer per visit.
Offer good through
Greenville Square
(Next to K-Mart)
Banana Split
$2.31
Please present when order-
ing. Not valid with any other
discount, special or promo-
tion. Limit one coupon per
customer per visit.
Offer good through
Greenville Square
(Next to K-Mart)
Banana Split
Coupons expire Sept. 30,1988
BASKIN
ICE CREAM
BOBBINS
STORE
Greenville Square
(Next to K-Mart)
756-4477
Elegantly Edible Desserts





20
THE EAST CAROLINIAN
AUGUST 23,1988
S.Cs food stamp program under fire
WASHINGTON (AP) ? The The state distributed about $156
food stamp program in South million in federal food stamp
Carolina had an error rate of 10.49 benefits to 100,000 households
percent during the first half of the during the last 12 months. At the
fiscal year, higher than in 1987 current error rate, more than $16
when the state had the fourth- million in excess payments were
worst rate in the nation. made.
The error rate is more than 3 Officials with the South Caro-
percent higher than other states in lina Department of Social Services
the Southeast, according to fig- acknowledged that error rate is
urcs provided by the U.S. Depart- double the federal acceptable
ment of Agriculture and reported standard, but defended the state's
offices and additionaftraining for torot administration for eco-
social workers, DSS spokesman nomic services, blamed most ot
Gwen Kuhns said Friday. the errors on clients who either
"The major initiative is a com- misstate information on applica-
putcr system (that) will assist the tions or fail to report changes in
workers in managing the case household income or size,
load she said. "We certainly feel Most of the errors are
like our computer system will put unintentional, although the state
us ahead of the game. collects an average of $160,000 a
The computer system will pro- month from what the agency calls
vide local offices with informa-
tion on income, including unem-
Saturday by the Washington bu- efforts to provide food stamps to ploymcnt compensation and So-
reau of the Charleston, S.C, Post-
Courier.
Alabama's error rate was 7.36
percent, second-highest in the
region. Comparable figures were
not available for states outside the
Southeast.
needy people and said a new
central computer system sched-
uled for installation this year
should reduce errors.
"We have several initiatives
cial Security payments, and inter-
est income earnings recorded by
the Incmal Revenue Service, Ms
Kuhns said.
Income helps determine eligi
underway including a review of bility for food stamps,
application procedures for local Leon Love, DSS division dircc
'intentional program violations
Love said.
Many errors result from the
complexity of the application, he
said.
USDA spokesman Connie Cr-
unkleton said the state is working
hard to correct its errors. "I think if
they knew exactly what was
wrong they would go out and
make some changes she said.
The error rate is established
through a random sampling of
food stamp recipients and
through checking into those re-
cipients' circumstances.
Error rates for other states in-
cluded in USDA's Southeast re-
gion, for the first six months of the
current federal fiscal year, begin-
ning Oct. 1 were 5.58 percent in
North Carolina, 6.64 percent in
Georgia, 5.46 percent in Florida,
3.22 percent in Kentucky, 5.39
percent in Mississippi and 7.34
percent in Tennessee.
Georgia had the second-worst
rate in teh nation last year, with
10.46 percent, and subsequently
carried out an extensive audit of
its program foil wed by admuu
trative improvements. Ms. Q
unkleton said.
Last year, Oklahoma's err. ?
rate was the highest in the natioi
at 10.46 percent, and su
seequently carried out
extensive audit of its progr.
followed by administrative i,
provements, Ms. Crunklet
said.
Last year, Oklahoma's error
rate was the highest in the nal
at 10,48 percent, followed
Georgia: New Mexico, 10.40 per
cent; and South Carolina, 10.2
percent, according to the USDA.
South Dakota recorded t
lowest error rate, at 2.53 percent
Hooper one of the oldest ECU faculty members,
dies in Memphis four months from turning 100
NORTH CARQLtfJA
ECU News Bureau
Emma Lorena Hooper, one oi
the oldest retired former faculty
members of ECU, died Tuesday
(82) in a Memphis, Tenn nurs-
ing home at the age of 99, four
months short of her 100th birth-
day.
She taught English composition
and literature at East Carolina
Teachers College (ECTC) and
East Carolina College (ECO from
1924 until her retirement in 1959
and counted thousands oi East
Carolina alumni among her stu-
dent during 35 years oi service.
She wrote an historical pageant,
"East CArolina's Spade: To
Serve to celebrate the school's
Golden Anniversary and it was
presented in 1958 with a cast ot
hundreds recreating memorable
scenes in East Carolina's past. In
1934, she collaborated with the
late Mami Jenkins, in writing a
panoramic pageant for the 25th
anniversary but because of the
unexpected death of President
Robert H. Wright in April, 1934, it
was never presented.
For several years follwoing re-
tirement, Miss Hooper remained
in Greenville and collected
memorabilia, clippings and docu-
ments which she hoped would be
the basis of a history of the school.
She considered herself cuto-
dian and caretaker oi source ma-
terial for a history of the college's
early years and drafted a lengthy
manuscript, according to the late
Agnes W. Barrett of Greenville, a
close friend.The work was unfin-
ished and her papers were given
to the ECU Manuscript Collection
inl9S0.
Dr. Mary Jo Jackson Bratton's
official history of East Carolina
University, "East Carolina Uni-
versity: the Formative Years
1907-1982 was dedicated to
Miss Hooper. The Bratton historv
was published by the ECU
Alumni Association in 1986.
Miss Hooper was born Nov. 5,
1888, in Edinburg, Miss and had
a BA degree from the Mississippi
College tor Women and the MA
from the University of Virginia.
She atught in hish schools and
was head of the English depart-
ment at Mansfield, La Junior
College when she accepted a fac-
ulty appointment at ECTC in
1924.
She chaired the college's 1939
Centennial Celebration of public
school education in America and
she established the Robert H.
Wright chapter of Future Teach-
ers of America at East Carolina.
She was a member of Delta Kappa
Gamma.
She died at Wesley Highland
Manor after a long illness. She had
made her hume at the nursing
home for the past 10 years, having
moved there to be with a brother
and sister who preceded her in
death.
She is survived be a niece, Mrs.
Dorothy R. Davis of Memphis,
and three nephews in Mississippi
and Alabama.
Funeral services were held
Thursday at Memorial Park Fu-
neral Home and interment was in
Memorial Park, Memphis.
Presents
THEWTFM
The Hottest Tan Conest!
Every Wednesday Night For 4 Weeks
Starts at 9:00 p.m.
2 Girls Advance To Finals.
Winners receive $100.00
Finals September 21 st
Winner receives $300.00
r H lor nn Greenville
Cot
-eenville355-5000
FARMFRESH
The Absolute Best Peal In Town!
Your Complete
? i
M
Headquarters
f
sU
V
?
? All Your Beer & Wine Needs
? Your Favorite Cheese
? Pizza To Your Liking
? Midnight Munchies
? Your Tailgate Party Supplies
? The Best Movie Rentals
? All Kinds Of Bakery Goodies
Deli Sandwiches
? We Also
Carry Beer
Kegs
you
6" Cheese Pizza K!j Farm
Ijji Sandwich BrCaCl
?n
Fresh Daily
Heat and Eat
QOUJDOtl
Farm Fresh Asst.
SODA'S
1'
U
Qojffioti
Farm Fresh Potato
CHIPS
!?Nly29?
I ?
m
IT 1
pep
CUSTOMER
'IP
COUPON EXPIRES 9-3-88
esos
24 OZ.
LOAF
I COUPON EXPIRES 9-3-88
IT 1
PER
CUSTOMER
? 2 LITER
m COUPON EXPIRES 9-3-88
Nip;
ii
ii
ii
b 7 OZ. BAG
COUPON EXPIRES 9-3-88
Fall!
NEW YORK (AP) The Ju
the mother
bounded out of r too
try music stardon than
years ago, w.
richesstoryi
CBS.
"People will I
?ee us on the
ifslikcto.
going through, the :
vingsoc
personally say;
24. "Wet's
day in (
Mama's brother,
preacher.
As the Ju Ids I
countr.
mer, TV can
them to New
niaandTenn -
Naomi fudd
I - -
more like I -
ffrtagc
e'rea
share a
We're alii
Quay I
NEW I
DanQuav j
golden good
foundl)
view of the ??'? rid I
Republican presid -j
Quayle's ace ? 41 ? v
factorGc rgeBu cd
lay afl n as he st i
-
bank of the M pi Rivi
announced he v i
Republican Nal
to nominate "a man of the fi
to be his vice pi
mate. The Indiana - J
:ed youthful 11 -
energy as he strode to B.
and punched the I
Democratic Vice I l
Candidate Lloyd Ber I
Quayle's selection
For every
nominee, Quaylc -
15,000 JburhalTSrS who wj
grab him by the ankles I I
i:psidedown and shake '
Something bad com -
Dan Quayle?his j
James Danforth Qu
born in Indianap
947, a birthdate that nr x
t e first member of the
boom" generation on the
dential ticket
political party.
Indiana's junior R
senator is a Presbyterian
member of ore of the I
roost promir.
es,thePulli ims
was Eugene C. Pu
Isher of the India
News, the Arizona I
the Phoenix Gazette
father. James C. Quay)
lisher of the Hun:
Ifcrald-Prcss.
Quavle invoked fc
philosophy Tuesday as I
cheering Republicans, m
them apparently surprise.
Selection, that m gi
old me that then -
Important in this countr
freedom
Batgirl sayeth:
Reading the
East Carolinian
Features page is total
I mean, boss
Sorry.
Plea don't
make me
go back to
the car show,
please.

)





THE EAST CAROLINIAN
AUGUST 23,1988 21
e

L
srogram follwed by adminvs-
e improvements. Ms. Cr-
?ton said.
?t year, Oklahoma's error
was the highest in the natioVi,
M 46 percent, and sub-
uently carried out an
nsivc audit of its program
nved by administrative irn-
ements, Ms. Crunkleton
lwc
year, Oklahoma's error
.is the highest in the nation
4S percent, followed by
ia: New Mexico, 10.40 pci-
ind South Carolina, 10.23
it, according to the USDA,
:h Dakota recorded thp
: error rate, at 2.53 percent
Weeks
J
tre
-eenville355-5000
SH
Town!
j
1
4
rU
yx
lX
mord
IPS
392
Fall T.V. special to feature the Judds
try music stardom less than five
years ago, will get their rags-to-
nches story told in a fall special on
CBS.
'People will have a chance to
NEW YORK (AP)? The Judds, we're very different. The director After the second single, "Mama
the mother-daughter team that thinks that's interesting enough He's Crazy reached No. Ion the
?t of nowhere to coun- to investigate in-depth. country charts, the Judds still had
The Judds popped into country flea-market furniture and un-
music prominence in 1984. While matched dishes.
Wynonna was in high school they When the Country Music Asso-
had shunned honky-tonks and ciation presented awards in Octo-
pradcticed at home, working on ber 1984, the Judds won the Hori-
ee us on the road and see what Wynonna's singing and acoustic zon Award, essentially meaning
it s like to go through what we're guitar playing and Naomi's har- "best new act The CMA named
;omg through, the pressures of monizing, and the family image them vocal group of the year and Kentucky. "WE'd been in Holly
ving so close professionally and they wanted to project. they also won Grammy Awards wood seven years Naomi says,
personally says Wyonna Judd, "We got signed at a live ajudi- for best country performance by a "They were thinking Hollywood
4. "We filmed all day longyester- tion Naomi says. "We didn't duo or group, they following was home and normal. We went
day in colesburg, Ky where have biographies or photographs, three years. to Morrill, Ky. It had maybe 200
Mama's brother, who's a Baptist had never had a band or played in "Momand I haven't always had people,
preacher, has a small church public it this wonderful Wyonna says. "We lived on a hilltop, didn't
As the Judds toured on the
country music circuit this sum-
mer, TV cameras also followed
them to New York, Iowa, Califor-
nia and Tennessee. country songwriters and sticking having any money she says.
Naomi Judd, who is 18 years to the presentation the Judds al- Naomi has another daughter,
older than her daughter but looks ready had worked out. Ashley, who has finished her
more like her sister, says, "The "When our first single ("Had a sophomore year at the University
image we have right now is that Dream") was on the redio, I was of Kentucky, studying French,
we're almost joined at the lips. We working full time as a nurse and history and art history, she is not a
share a common ond in music. Wynonna was a temporary secre- singer, but Naomi says, "In the
We're alike in a lot of ways, but tary Naomi says. summer we like to take her out
and slam her around on the road a ing. I would listen to the radio and wonderful types of music. My
little bit. I don't want her to think try to get all I could, teaching first influence was Bluegrass
that it's easy. Last year I paid her myself. Only Ashley lives with her
$10 a day to be bus enginere. It "We would buy discount rec- mother now. Wynonna bought a
meant cleaning the bus Ashley ords. We didn't have the money small farm in Frankling, Term
declined the position this year. for full-price albums. It caused us "close enough to call Mom to say
Naomi took back her maiden to discover all these weird but I'm coming over
name, Judd, after she was di-
vorced in California and returned
with her daughters to her native
A deal was made with Curb
Records and RCA. Brent Maher
has produced all their albums,
using arranger Don Potter, top
Naomi still turns off lights have a telephone or TV. I wanted
when she leaves a room and clips thcm to develop their imagina-
grocery coupons. "All my life I felt
I was a face in the crowd, not
tions and play together. They
worked in the garden, learned
about animals
Naomi entered nursing school;
Wynonna began singing.
"Mom had a guitar someone
had given her she says. "I had a
friend who would teach me.
Someone gave me a book. I guess
I'm luckv to have an ear for learn-
HOME PEUVERYF
For a mere $25 a year you can subscribe to The
East Carolinian. Send it to your parents,
grandparents, aunts, uncles, cousins, friends,
neighbors ? whoever. For the best news, sports,
features and general information about ECU:
Contact Tom Jurr, Circulation manager at The
'East Carolinian, CV. TuSCications building,
Qnenvitte, 9fc, 27834.
Quayle brings youth to GOP
NEW ORLEANS (AP) ? Sen.
Dan Quayle brings youth, wealth,
golden good looks and a pro-
foundly combative conservative
view of the world to the 1988
Republican presidential ticket.
Quayle's age ? 41 ? was the
factor George Bush stressed Tues-
day afternoon as he stood on the
bank of the Mississippi River and
announced he would ask the
Republican National Convention
to nominate "a man of the future"
to be his vice presidential running
mate. The Indiana senator pro-
jected youthful enthusiasm and
energy as he strode to Bush's side
and punched the air with his fist.
Democratic Vice Presidential
Candidate Lloyd Bentsen called
Quayle's selection "good news
For every vice presidential
nominee, Quayle said, "there are
5,ooo journalists wirar wSnrTcr
frab him by the ankles, turn him
lipside down and shake him until
Something bad comes out
Dan Quayle ? his legal name is
James Danforth Quayle ? was
born in Indianapolis on Feb. 4,
1947, a birthdate that make him
the first member of the "baby
boom" generation on the presi-
dential ticket of a major American
political party.
Indiana's junior Republican
Senator is a Presbyterian and a
member of one of the nation"s
most prominent publishing fami-
lies, the Pulliams. His grandfather
was Eugene C. Pullmam, pub-
lisher of the Indianapolis Star and
News, the Arizona Republic and
fiie Phoenix Gazette. Quayle's
father, James C. Quayle, is pub-
lisher of the Huntington (Ind.)
Herald-Press.
Quayle invoked his family's
philosophy Tuesday as he told
cheering Republicans, many of
fhem apparently surprised at his
Selection, that "my grandfather
told me that there is nothing more
Important in this country than
freedom
Enrolling in 1969 at DcPauw
University, alma mater of manyof
his relatives, Quayle waited on
tables at a sorority house for $40 a
month.
Quayle met his wife, Marilyn,
while attending the university's
law school. He married her on
Nov. 18,1972,10 weeks after their
first date.
The couple has a 14-year-old
son, Tucker; a 12-year-old son,
Benjamin; and a 9-year-old
daughter, Corinne. The two
youngest children were born after
Quayle began his first congres-
sional campaign in 1976, winning
election to the House where he
was to serve Indiana's 4th con-
gressional district for two terms.
Five months into his second
House term, Quayle challenged
Indiana's most prominent Demo-
crat, Sen. Birch Bayha Veteran
incumbent.
On election day 1980, Quayle
ended Bayh's political career,
winning by a margin of 166,000
votes, 54 percent of the total.
Six years later, as Democrats
were reclaiming the Senate major-
ity they lost in Ronald Reagan's
1980 landslide, Quayle bucked
the tide and crushed his poorly
financed opponent, taking 61
percent of the vote.
It was in his campaign against
Birch Bayh that Quayle acquired
what he still dubs his "stigma
Voters ? and the Indiana press
? compared his handsome fea-
tures and blow-dried hair to the
movie-star good looks of a movie
star: Robert Redford.
Asked about the comparison
this week, Quayle brushed his
sandy blond hair with an impa-
tient sweep of his hand and said:
"I've had that stigma ever since I
first ran for Senate. I'd rather
talk about what I stand for than
what I look like
Quayle tried to erase that
glamor boy image by immersing
himself in his work.
But in eight years in the Senate
he has only rarely appeared at the
nition and peer respect accorded
his senior colleague. Sen. Richard
Lugar, R-Ind the former chair-
man of the Senate Foreign Rela-
tions Committee.
But he has made a mark on the
three Senate committees on which
he serves ? Armed Forces,
Budget and Labor and Human
Resources.
On the Armed Services
Committee, Quayle made himself
a specialist in the NATO alliance.
He strongly supported President
Reagan's space-based misile de-
fense system popularly known as
Star Wars.
He has mastered such matters
as troop strength, weapons per-
formance and soviet military
doctrine.
He attended virtually all of the
panel's exhaustive hearings into
the details of the medium-range
missile treaty between the United
States and the Soviet Union, ex-
pressing great skepticism even
though it had been negotiated by
a conservative president.
Quayle eventually joined the
93-5 majority voting to ratify the
pact.
LUNCH SPECIAL
MONSAT.
11 AM - 3 PM
17 - 4 oz. Sirloin
Potato Bar
Salad
Hot Bar
Sundae Bar
$4.49
r
i
Daily Specials
10 Discount on
Regular Priced
Items
With Student I.D.
FREE DESSERT BAR
with All Steak Dinners
TAKE-OUTS OKAY
I1 2903 E. 10th St. - 758-2712
aEEN VlLc
;t
Mimi
ill
fill MM
fin
ivii
Batgirl sayeth:
Reading the
East Carolinian
Features page is totally rad.
I mean, boss.
Sorry.
Please don't
make me
go back to
the car show
Please.
JBIRII
Birasp5wwflpiMi!i
STUDENT SPECIAL
Discount Membership for Fall Semester
ONLY $45.00
(Offer expires Sunday, Sept. 18.)
Indoor Swimming Pool Weight Room
Gymnasium Air-Dyne Exercise Bikes
Suntannlng System Weight Loss Programs
Stairmaster Lifecycles
Aerobics. Low Impact Aerobics
Toning, and Aquaerobics Classes
Burroughs
Wellcome
Empire
Burshes
Greenville
Aquatics &
Coke
Fitness
Center
Staton Rd.
ECU - Greenville
The Country Best Kxjurt
325 Arlington Blvd.
(across from Farm Fresh)
Hours: MonSat. 11:00 a.m. - 11:00 p.m.
Sun. 12:00- 11:00 p.m
NOW DELIVERS
355-6968
All the Pleasure
96 Fat Free
NONE OF THE GUILT
Say Goodbye to high Calories with TCBY frozen yogurt. TCBY has a
wide variety of yogurt flavors, with delicious toppings such as can-
dies, cookies, nuts, naturals, and sugarless fruits to top off a great treat.
TCBY also has shakes, fruit smoothies, banana splits, Hot Fudge
sundaes, crepes, waffle cones, and many others that are great for
lunch, brunch, dinner dessert or anytime.
lOhSt.
758-6892
Operated by the
Greenville Recreation and Parks Department
FREE
BUY ONE GET
ONE FREE
Buy one get one free anything In the
store except supers, giants, and pies.
One discount per person, per order,
per visit. Good only at participating
stores. Void where prohibited. E-l
j Expires August 30,1988
1" FREE j
I ONE FREE TOPPING I
j OF ANY KIND j
Free topping of any kind with the
purchase of any large smoothie. One I
j discount per person, per order, per J
J visit. Good only at participating stores. .
i Void where prohibited. E-2 '
JEx?iresAugu? 3a 1988L
" "FREE "n
FREE SOFT
DRINK
Present any student I.D. and receive a
large soft drink with any purchase.
One discount per person, per order,
per visit Good only at participating
stores. Void where prohibited. E-3
Expires August 30,1988 i





i
T
22
THE EAST CAROLINIAN
AUGUST 23, 1988
Artist captures Broadway
drawing table perched in front of
the barber chair, Hirschfcld opens
a large sketch book. It's filled with
what look like random doodles ?
a cigar, wicker furniture, the de-
tail of window, a bow tie. They're
bits and pieces of remembrances
from the recent Broadway pro-
duciton of "Long Day's Journey
into Night
"These are very helpful in put-
ting together a sketch he says.
"You can't trust a faulty mem-
ory
These sketches were inter-
spersed with roughly drawn por-
traits of the play's two stars, Jason
Robards and Colleen Dewhurst.
"She has a way of putting her
hand to her face all the time he
says.
Hirschfeld says he does no re-
search before beginning to sketch
a new show.
"The characters are what inter-
evsion personalities, politicians, ests me, but as for the play itself,
even ordinary citizens are his sometimes I come out and I don't
subjects, but it's the theater draw- know what it was all about He
ings, particularly his sketches that says. "When I'm working, I con-
appear regularly in The New centrate on the actual design or
York Times, that most people the image rather than the thought
remember. Later 1 go to the opening and can
On a slanted and well-worn see the play
NEW YORK (AP) ? At age 85,
Al Hireschfcld is still drawing in
the dark, capturing in his unique
caricatures the essence and spirit
of Broaaw.iy.
For six decades, the genial,
white-bearded artist has sat in the
theater and sketched, making
graceful line drawings that seem
to come alive on the page.
"I've learned to annoy as few
people as possible he was say-
ing the other day, reflecting on all
the hard work he has done during
performances with a small sketch
pad and a Venus HB pencil.
Hirschfeld was sitting in a bar-
ber chair in his studio on the top
floor of an East Side brownstone
where he has lived for more than
40 years with his wife, Dolly. It's
where he finishes all his draw-
ings.
Today, Hirschfeld draws more
than theater folk. Movie stars, tel-
Hirschfeld has always been
partial to drawing the larger-
than life actors, particularly co-
medians.
"Most of them have invented
themselves he says. "They
know what they look like. People making one of many
like Carol Channing, Zero Mostel tours in New York.
It's always mysterious to me
how it happens"
His first drawing in The New
York Times appeared in 1925, a
sketch of Sir Harry Lauder, a
famous comedian of the day,
farewell"
and, in the eariler days, the Marx
Brothers, Buster KEaton, Charlie
Chaplin or Mae West. They were
all real inventions. The modern
actor is a little more the fellow
next door. The people in the street
are more theatrical than most ac-
tors today
Hie artist used to go out of
town, to Philadelphia, Boston or
Mew Haven, to see new shows
and do his sketches. Today, with
From then on, Hirschfcld was
hooked on the theater and the
actors on stage.
Hirschfeld's drawings have
also intrigued people because he
puts "Nina the name of his
daughter, in all his sketches. He
got the idea the day she was born
in 1945.
"1 just wanted to record it his-
torically that she was here he
says. "I kept it up for two or three
the Broadway tryout a rare occur- weeks and then tried to stop it. I
renee, he goes to rehearsals or
run-throughs to do his sketching
or even draws from photographs
or videocassettes supplied by
producers.
Hirschfeld, born in St. Louis,
started out as a sculptor and later
turned to painting.
Then suddenly I developed
this insane passion for line, and
what you can do with it, and how
it can rommunicatc he recalls.
would leave Nina out but the mail
was unbelievable
Nina will even make an appcar-
ance on a postage stamp.
Hirschfeld has designed three 25-
cent stamps ? portraits of Laurel
and Hardy, Mary Pickford and
Rosa Ponsclle ? that the Postal
Service will release over the next
year.
Welcome Back
Special
Coupon
FREE MEAL
Buy one combination of 2, Get one of
equal size FRII
Small6.50
Regular7-75
Large8.50
Choos 2 from shrimp, trout. cUms. dev:I?i crib, or crib aket
Good Monday through Friday. Dine-In or Take -Out
Beverage Not Included.
Offer Expires Sept. 30,1988
f6sdickvs
1890 SEAFOOD
2903 S. Evans St.
?
:
Call 756-2011
-nr
Rapist castrated by sheriff
HELENA, Ark. (AP) A jury Dumond sued Cortlec for un-
says a former sheriff intentionally specified monetary damages,
inflicted emotional distress upon charging that the former sheriff
a rapist, who was castrated while publicly showed the jar scon tents
awaiting trial, by displaying the to several people at Conlce's f
man's tcsticals in a jar in the fiee three and a half years ago.
sheriff's office. "Coolidge Conlee was holding
The federal court jury on Tucs- these up like they were a trophy
dav awarded Wayne Dumond Hall told the jury in his closing
$150,000.00 in damages from for-
mer St. Francis county Sheriff
Coolidge Conlee.
Dumond, 38, is serving a life
sentence for raping a young For-
rest City woman in 1985. His at-
torney, John Wesley Hall, said he
hoped Dumond will receive a
new trial by spring on his August
1985 rape and kidnapping convic-
tion.
"Maybe this is an omen
Dumond said after Tuesday's
verdict in the civil trial.
argument.
Masked intruders castrated
Dumond in his home in March
1985. He is trving to get a new-
trial, saj ing his criminal trial was
fixed.
During the two-day civil trial, a
witness, O'Neal Webb, testified
he saw a jar containing Dumond's
testicles on Coulee's desk
"He asked did 1 know what it
was. J said, 'You'll get in trouble
for displaying these like this"
Webb said.
But Conlee and former county
employees said he didn't publicly
display the jar and its contents.
"That jar was a hot potato.
Coolidge didn't know what to do
with it said attorney Bob Rod-
dey, who represented Conlee and
tin county.
Chuck Thomas, a former dep-
utv, testified he took pictures as
termer Chief Deputy Evan
Hughes and Deputy Liz Jones
flushed the jar's contents down a
toilet.
The photographs are no longer
m the case file and cannot be
found, 1 lall said.
In a separate case, Conlee was
indicted by a federal grand jury in
May on charges of drug traffick-
ing gambling; extortion and mail
fraud.
Dr. Yarbrough, Ray awarded by Alumni
PARTIED TO MUCH STUDENTS?
NEED CASH?,
Southern Gun
& Pawn, Inc.
INSTANT CASH LOANS
ON
TV'S STEREOS VCR'S GUNS
DIAMONDS, BICYCLES, CLASS RINGS
ECU Newt Bureau
ECU Alumni Association pre-
sented its annual Teaching Excel-
lence Awards today to Mavis Ray,
associate professor in the Depart-
ment of Theatre Arts, and Dr.
Tinsley E. Yarbrough, professor
and acting chairman of the De-
partment of Political Science.
Both were presented $500 sti-
pends and engraved pewter
plates by Burney R. Rivenbark of
Fayetteville, Alumni Association
president, during the annual fac-
ulty convocation.
"These awards arc given to rec-
ognize and emphasize good
teaching throughout the univer-
sity, as well as to reward those
who have been especially out-
standing Rivenbark said.
Recipients are selected each
year through a process estab-
lished by the Faculty Senate's
Teaching Effectiveness Commit-
tee. Criteria for selection include
peer evaluations, student survey
data and scholarly achievement.
Ray received the Mays Award
for Teaching Excellence, named
for Robert and 1 ina Worthington
Mays of Greensboro. She was
born in London, England, and is
well-known for her dancing,
teaching, acting and choreo-
graphic skills She joined the East
Carolina faculty in 1964 and is
recognized as the founder of the
dance program
Yarbrough received the Hubert
L. "Roddy" Jones Award, estab-
lished in honor of the Raleigh
developer and ECU alumnus who
now serves as chairman of the
Board of Governorsof the Univer-
sity of North Carolina.
Yarbrough has been with ECU
since 17 and was invited by
( hancellor Richard R. Eakn to
deliver the 79th commencement
address last December.
QST ANYTHING.QF VALUE
WE BUY GOLD & SILVER
752-2464
500 N. GREENE ST.
NEW 14K GOLD
? JUST ACROSS RIVER BRIDGE ? GREENVILLE
MALPASS MUFFLER
See Us For All
Your Automotive Needs
2616 East 10th Street
Greenville, NC 27834
758-7676
New Students
Welcome to East Carolina and to the Catholic Student Center
New Shipment Just In
sed, Faded, Distresses
"Levi" Jeans
$295 or 2 for $5??
Newman
Catholic Student Center
53 1 10th Street
Greenville, NC 27834
(W) 737-3760 - (919)737-1991
a
Sunday Mass Schedule
11:30 a.m. - Biology Bldg. Room 103, 8:30 p.m. - Newman Center
CLOTHES
At
The Coin & Ring Man
110:00-5:00 M-F
10:00-3:00 Sat. 400 S' Evans
752-3861
NTnx the spiritual and social needs of the LCil Coiuiuuuiii
W'e nreite you to join us for fun and fellowship
The Newman Center is open to all students, Uhultu and ?" at I Cl
lather Paul Vaeth - Chaplain & Campus Minister
AIDS
WASHINGTON (AP,
number of Americans ir.i
with the AIDS irub ma
the federal estimates, and
tion among the hel
population may be thret
high, accord r ?
leased ? the Huds
stitue, a ; tncej
search rganiza
Kevin R - j H
Institute mathematician,
stud) usii
techniques thai
Centers I -
sho-
Americans may be in-
human innurr
which causes A1DS.
The
which is the prim J
nmonitoring the
is that
feet ?
"A
ink tioi
ECU M
Resea
mecl
na; - by 1
nets at the I -
cine wer rig
?
t onationa
David 0
-? . :
the Depart
I - ? lu
Dr. Edward S 1
? r
search that I on i
standing mecl
late the grov
gastr in! si
"The com
ceived b
trates l .
ated through th
tary research pi
said.
Most d
gastrointestinal system ai
eases of tissue gi
students' -
Yxfre
astute eno
to discuss
phitosophica
ramifications i
Victor Frankl
"Existential
Vacuum?
a.
And you're
still smoking
Yeah, I still sm
Signed Earlvis
?5 ??' ??? ft V ??
C v- me ? ? . ?
1 MMk'S
$FREE Dry Clemi
Bring in An
I
Items & Pa
I 2one is eld
FREE.
(LauMt priced garmem u i
Present this coup(
you bring in your
SFREE Dry Cleat





mfm
V

THE EAST CAROLINIAN
AUGUST 23,1988
TS?
un
c.
tUNS
IS RINGS
.LUE
R
? GREENVILLE
R
1
Needs
nt Center
nan Center
AIDS: twice estimates
WASHINGTON (AP) The
number of Americans infected
with the AIDS virus may be twice
the federal estimates, and infec-
tion among the heterosexual
population may be three times as
high, according to a report re-
leased today by the Hudson In-
stitue, a privately-financed re-
search organization.
Kevin R. Hopkins, a Hudson
Institute mathematician, said a
study using more sophisticated
techniques than are used by the
Centers for Disease Control
shows that as many as 3 million
Americans may be infected withe
human innumodeficiency virus
which causes AIDS.
The high estimate by the CDC,
which is the prime federal agency
nmonitoring the spread of AIDS,
is that about 1.4 million are in-
fected with the irus.
"A best guess at the rate of total
infections of year-end 1987 (was)
from 2.2 million to 3 million per-
sons, with the likeliest range be-
tween 2.2 million and 2.6 million
people the Hudson study re-
ported.
Over half of the cases are
amoung homosexual men,
Hopkins said, but estimates the
number of heterosexuals infected
by the virus may be three times
higher than the CDC estimate.
The institue estimates that
850,000 to 1.4 million heterosexu-
als are infected with the HIV virus
and that 200,000 to 500,000 of this
number are heterosexuals who
don't use drugs.
"There are vastly more hetero-
sexuals infected today said
Hopkins. "
A break out into the non-mo-
nogamous population is
unavoidable
The CDC has estimated that the
AIDS virus has infected only
80,000 to 165,000 of the non-drug-
using heterosexual population.
Hopkins said the Hudson Insti-
tute AIDS estimate differ from
those of CDC because different
computer models were used and
because "more sophisticated"
statistical analysis techniques
were applied to the model.
As of Aug. 8, 1988, AIDS had
been diagnosed in 70,208 Ameri-
cans, of whom more than half, or
39,620, have died since Junel,
1981, according to the CDC. No
one is know to have recovered
from AIDS.
The Hudson study concen-
trated on the projections of those
now infected with HIV, but who
have not progressed to AIDS,
which is the end stage of the infec-
tion. AIDS is known to develop
from three to eight years after
infection. Persons infected with
HIV are capable of spreading the
virus before they actually develoD
AIDS. K
ECU Med students cited
tCU News Bureau
Research findings on key
mechanisms in the gastrointesti-
nal system by two doctoral stud-
nets at the ECU School of Medi-
cine were cited among outstand-
ing graduate student projects at
two national scientific forums.
David Osborne and David
Ginty, both graduate students in
the Department of Physiology
studying under the direction of
Dr. Edward Seidel, assistant pro-
fessor, received top prizes for re-
search that focuses on under-
standing mechanisms that regu-
late the growth of tissue in the
gastrointestinal tract.
"The consecutive awards re-
ceived by the two students illus-
trates the quality of research cre-
ated through their complemen-
tary research projects Seidel
said.
"Most diseases related to the
gastrointestinal system are dis-
eases of tissue growth and the
students' research represents a
clearer understanding ot the
mechanisms regulating the
growth of gastrointestinal tract
tissues he said.
Osborne, a fourth-year student
and formerly of Burlington, N.C
was one of eight recipients of the
Procter and Gamble Professional
Opporutnity Award for his
extensive research on a chemical
known as putrescine. The award
was given at the annual meeting
of the Federation of American
Societies for Experimental Biol-
ogy in Las Vegas. Found in all
cells including those of humans,
putrescine is involved in cell and
tissue growth in the gastrointesti-
nal tract. Osborne's abstract out-
lines the function and effects of
putrescine on the entire gastroin-
testinal system. His research
abstract was among 12,000 sub-
mitted for the annual meeting's
prescntaitons.
Theabstract presented by ginty,
oure
astute enough
to discuss the.
philosophical
ramifications of
Victor IrankTs
"Existential
Vacuum?
And you re
still smoking?
a Fairfield, Conn native and also
a fourth-year graduate student, at
the national meeting of the
American Gastroenterologicali
Association involved the study of
the enzyme which makes hu-
manly-produced putrescine. In
his research, Gionty sought to
explain how the enzyme, orthin-
ine decarboxylase, is regulated.
He proposed that further un-
derstanding of the enzyme's f unc-1
tion could permit scientists to
later alter its activity to initiate
tissue growth in the gastrointesti-
nal system. Definitive knowledge
of this connection could yield
better ways to treat injuries such
as those caused by gastric ulcers.
Ginty's research merited the
association's single award for
graduate student research given
at the annual gathering held in
New Orleans. Both student's
awards included expense-paid
trips to the meetings.
k
chesonk
FAMILY BUFFET
500 W Greenvti!
? Blvd.
PI
355-2172
Banquet Facilities Available

L s 1)? jniftrmnt i
Yeah, I still smoke.
Signed Earlvis
We're doing our
part to meet the
student's budget"
ECU Students Get 10 Off With I.D.
LUNCH DINNER
featuring
Help Yourself Home Cooking
Jftl A" You Care T? Eat! JJJ
" 7& One Low Price Does It All! 2j?
Entrees ? Dessert ? Salad Bar ? Vegetables ? Drinks
Great Food Within Your College Budget
Sta?u?r Stadium Cleaners & Shirt Laundry
?tf-
Ui
SH,RT M- ,
Bimg In 4 Shwtt And Pjv UY
FoO'Ohf IS CLEANED FREE-
M f ??! T?nrh Sl?l
Op?n Mon S?l '1m4?u
Pf??? Jiilttf

1 -
$$ FREE CLEANING COUPONS $$
Located at Corner of 10th & Cotanche Streets
758-2701 (Next to Hardee's &McDonald's)
?ALTERATIONS -FLUFF & FOLDING
$FR?E Dry Cleaning $
Bring in Any 3
Items & Pay For
2one is cleaned
FREE.
$FREE Dry Cleaning $
(Lowett priced garment U cieaned free)
! Present this coupon when
'you bring in your clothes
I I
I Bring In 3 and I
j Get 1 FREE, j j
(Lauiett priced garment a cleaned free) I
$FREE Dry Cleaning $
Bring In 4 and
Pay For 3
1 is FREE.
I
I
? i
Present this coupon when
I vnn hrintf In vnnr o1r?tVi?e I
I (Lowest priced garment U Hearted free) j
I
rresem mis coupon wnen j
you bring in your clothes jPresent this coupon when
I jyou bring in your clothes j
FACE
LIFT!
Come by The Spa and see
for yourself the changes
we're making!
? New owner
? New management
? September addition of
50 more space
? September nursery
? Expanded free-weight
area
? 1500 square foot
aerobic floor
? New aerobic program
coordinated by Mark
Brunetz, which features
high and low impact
classes, toning classes,
seniors and resistance
classes.
? 50 aerobic classes per
week
And find out
what we ALREADY offer:
? Co-ed aerobics
program
? Complete dynacam
weight machines
? Stationary bikes
? York free weights
? Organized activities
? Certified experienced
aerobics instructors
? Certified dynacam
instructors
? CPR certified instructors
Take advantage of our
many facilities:
Two exercise rooms
Aerobics classroom
Wet steam room
Desert dry sauna
Hot mineral whirlpool)
Wolff system sunbed
Private dressing room!
Private tile showers
PLUS, note our extra
benefits and services:
? IPFA and AHA
Memberships honored
at locations worldwidi
? Special Interest
Seminars
? Monthly calendar
events
? Social activities
Beat the Price Increase!
After our renovations are
complete, membership
prices will go up, so be
sure to JOIN NOW! or,
bring in the coupon belo1
for a free month pass and
see for yourself why The
Spa is Greenville's best
health
club value!
This coupon entitles you to a
FREE MONTH PASS
at The Spa in Southpark Shopping Center
Offer expires September 15, 1988
Limit one coupon per customer.
if??t
Greenville's
best health club value.
SOUTH PARK SHOPPING CENTER
GREENVILLE 756-7991
$FREE Dry Cleaning $
$FREE Dry Cleaning $
$FREE Dry Cleaning $





1
24
THE EAST CAROLINIAN
AUGUST 23,1988
Sanford endorses sending aid to Contras
WASHINGTON (AP) ? Sena-
tor Terry Sanford strongly en-
dorsed a proposal to extend
humanitarian aid to the Nicara-
guan Contras after current aid
funding expires at the end of
September. The purpose of this
legislation is to promote the peace
effort in Central America.
The legislation, offered by the
Senate's Democratic leadership,
provides for the President to send
over to Congress a military aid
request in case of an "emergency
situation" after the Administra-
tion has consulted with the presi-
dents of Central America's four
democracies. The Senate's re-
sponse to the President's request
will be considered under expe-
dited procedure limiting debate.
"This is a creative and appropri-
ate position for the United States
to take in its rcaltions with a re-
gion that is struggling toward
stability Sanford said. "It gives
warning to the Sandinistas that
we expect them to keep their
word.
"It gives priority to the advice of
democratic Central American
governments. They have demon-
strated their abilities by coming
up with the only peace effort that,
even with its flaws, has been rea-
sonable effective
Sanford went on to add, "This
legislation also anticipates that
the true solution can be found in
sound, long range economic, so-
cial and political development
"Central Americans want to
run their own affairs and we
should encourage that as much as
we can Sanford said.
"Today's proposal gives op-
tions to boihCentral America and
the United States and sets up a
procedure for quick response
from thcCongress in caseof States
and sets up a procedure for quick
response from the Congress in
case of real need. With its safe-
guards, it is precisely the kind of
action we should be taking on
military assistance.
"Most importantly, it will pro
vide $27 million in humanitarian
aid, to be distributed by US AID,
and $5 million in medical aid to
the people of Nicaragua, to be
distributed by the Nicaraguan
Catholic Church. The aid will
begin after thecurrent humanitar-
ian aid program expires and con-
tinue for six months.
"This is the kind of assistance
and encouragement we should be
willing to provide as Central
America attempts to solve its own
problems
Enrollment exceeds 15,000 students
ECU New Bureau
ECU expects fall enrollment to
exceed 15,000 students for the first
time when classes begin on Aug.
22.
Estimates based on advance
indications are that the fall
semester enrollment will be sev-
eral hundred above that of fall,
1987, when 14,878 students were
on campus. It would be the first
time in ECU history that enroll-
ment for a semester has exceeded
15,000 and would continue a
trend of steady, measured growth
in enrollment over the past 12
years.
Residence halls will be opened
Aug. 17 for an influx of approxi-
mately 5,600 students who will
live on campus.
The traditional fall faculty con-
vocation is scheduled at 9 am
Aug. 18 in the Mcndenhall Stu-
dent Center with a convocation
address by Dr. Richard R. Eakin,
the university chancellor, and
presentation of the annual alumni
teaching excellence awards.
Faculty meetings and organiza-
tional sessions are scheduled
during the remainder of the week
prior to start of classes.
ECU closed applications for
freshmen and transfer students
last spring after receiving 8,100
freshman and 1,650 transfer ap-
plications.
The admissions office also
closed applications from out-of-
state students several months
ago. Officials said a freshman
class of about 3,000 students is
expected and that about 700 trans-
fers were accepted. Last year's
freshman class numbered 2,756.
In-state tuituion is unchanged
for the 1988-89 academic year but
the -of-state tuition has been in-
creased 8.6 percent, according to
the university's business office.
A new $10.6 million general
classroom building which was
opened for the first time last
spring is expected to provide
some relief for classroom space. A
numbcrofclassesinthcCollcgcof
Arts and Sciences and some pro-
fessional schools will have a
larger than usual number of stu-
dents but will not be over-
crowded, academic officials said.
NEED MONEY?
High schoolers participate in camps
ECU" News Bureau
Each student attended a In addition to classroom and lab
weeklong session scheduled for activities, cmapers r.tt?nded sev-
A total of 196 junior and senior his or her school grade level. Par- eral evening lectures: "Marine
high school students from public ticipantsattended classes selected Biology "Tiv? Eruption of
and private schools in North according to their individual in- Mount St. Helen's" and "Science
Carolina, Virginia, Florida and terests. Courses offered included Magic with Light Other camp
Texas participated in one of the beginning and advanced com- events included a talent show, a
1988 summer sessions of ECU putcr science, photography, as- volleyball tournament and a quiz
Science Camp for Academically tronomy, chemistry, ecology and bowl.
Gifted Students. geology.
graduate student Les Rogers
along with Drs. George Evans,
Javaid Kaiser and Floyd Read of
the ECU faculty.
AIDS victim says film
reinforces message
the
I
the legal and other battles
family went through since Ryan
contracted AIDS in 1984. It fol-
lows his attempts to return to
1
? STATKVfm Nil HM -
Teen-age AIDS victim Ryan
White says his small role in a bio-
graphical television movie rein-
forces the message that the fatal
disease can' t be transmitted
through casual contact.
"It tells the story, plus it helps
educate people about AIDS and
the hardships people go
through he said in an interview
Friday.
"He's a natural, " said Linda
Otto, co-executive producer of
"The Ryan White Story an ABC
movie starring George C. Scott
which is being filmed here
through Sept. 9.
"It was the right thing to do?it
felt right she said. "It was not
only great for Ryan and his fam-
ily, but it makes the point that you
can't catch AIDS by sharing
kitchen utensils or a bathroom
Ryan will appear as Chad, an
older hemophiliac who, like
Ryan, contracted the disease from
a blood transfusion.
"He didn't have a very positive
outlook Ryan said about his
friend who died from the disease.
The film will not depict Chad's
death.
The role of Ryan is being played
by Lucas Haas, who starred oppo-
site of Harrison Ford in "Wit-
ness Judith Light of "Who's the
Boss?" stars as Ryan's mother,
Jeanne. Scott plays the part of the
family's attorney.
The softspoken Ryan insists it
hasn't been difficult to work on a
movie about his struggle with
AIDS and the anguish his family
went through in 1985 when resi-
dents of his native Kokomo, Ind
wanted to keep him from entering
school.
"It's kind of weird seeing some-
one else playing my life he said
with a smile Friday at the Ircdell
County Courthouse, where the
courthouse scenes depicting the
Whites' legal battles were being
filmed.
"It's kind of funny and embar-
rassing he added. "I can remem-
ber all of the different things that
happened
Mrs. White said she didn't try to
stop her son from acting or assist-
ing as a consultant to the film
crew. "Ryan has always done
what he wants to do she said.
Ryan is 16 but looks younger
because of his small size.
"He never feels sorry for him-
self Otto said. "And he doesn't
want anyone else to feel sorry for
him. I've learned so much from
being around him
The movie will describe some of
attempts
school, a controversy that divided
the residents of Kokomo and
forced the Whites to eventually
leave town.
The film ends with Ryan's first
day of classes at Hamilton
Heights High School in Arcadia,
Ind. Ryan was scheduled to fly
back home to Cicero early in the
week so he can be ready for the High sdSi Margaret" Powers
start of school. Aycock Junior High School,
Greenville; Vivian Martin,
Farmville Central High School;
Greg McCall, Cox Elementary
School, Wintcrville; and ECU
Campers were lodged in ECU
residence halls and took their
meals on campus.
Some students received camp
scholarships from their local
school systems, from private cor-
porationsoa potebai.roup,
in their home areas or from the - Mt
Ahseville-based Awards
Committee for Education Inc a
statewide foundation identifying
and serving high achieving stu-
dents. Students receiving finan-
cial assistance were recom-
mended by their school guidance
counselors.
Director of the annual ECU Sci-
ence Camp for Academically
Gifted Students is Dr. Hoyd Mat-
theis. This year's instructors in-
cluded Amy Duffus, West Craven
N?wa Wrlftera
Apply in person to The East
Carolinian office
The Publications Building
Word,
?'?k.W ????. ??- ?tn 4
READ THE EAST
-CAROLINIAN
lYiiiiitl r.TlA.iii. U irViie I ? , MlJ
BECOME AN OFFICIAL
AT EAST CAROLINA
UNIVERSITY
The Intramural-Recrea-
tional Services Department
is now hiring intramural
officials for the Fall
semester. Pay starts at 3.85
per game for football, 4.20
for softball and basketball.
Get involved in one of
ECU'S best social networks
while enjoying a job that
works around your busy
schedule.
For more information, ap-
ply in room 204 Memorial
Gymnasium or call Dave
Hall or 757-6387.
WE TRAINATTEND
THESE TRAINING CLINICS
August 29
August 30
August 31
5:00 p.m. or 8:00 p.m. 102 Memorial Gym
6:00 p.m. & 7:30 p.m. 102 Memorial Gym
6:00 p.m. & 7:30 p.m. 102 Memorial Gym
-jy ??
August 29 Clinic is mandatory
m iii Hit? I - ? - -
A Beautiful Place to Live
? AH New 2 Bedroom
? And Ready To Rent ?
Until then, he will continue to
hang around the set. "The crew is
in love with him Otto said.
PARKER'S
DINNERS INCLUDE Brunswick Stew, Cole Slaw
Boiled Potatoes or French Fries and Corn Sticks
PLATES INCLUDE Cole Slaw and Com Sticks
BARBECUE
LARGE BARBECUE DINNER?4.00
SMALL BARBECUE DINNER3.50
LARGE BARBECUE PLATE4.00
SMALL BARBECUE IIATB3 JO
CHICKEN
FRIED OR BARBECUED
LARGE ClIICKEN DINNER4.2S
SMALL CHICKEN DINNER3 JO
FRIED LIVbR PLATE3.75
COMBINATIONS
LARGE COMBINATION
Barbecue and Chicken (While Meal)
SMALL COMBINATION
Barbecue and Chicken (Dark Meat)
.4.25
.3.90
FAMILY STYLE DINNERS(Each) 5.00
INCLUDES Barbecue, Fried Chicken,
Cole Slaw, Brunswick Stew, Boiled Potatoes
and Corn Sticks
CHILDREN Through 10 Years Old2.7S
Entire Table Must Order Family Styic
No Doggie Bag From Family Style
SEAFOOD
PISH DINNER
OYSTER PRY
OYSTER STEW
SHRIMP DINNER
ANY TWO COMBINATIONS SEAFOOD
SEAFOOD PLATTER (Pub, Shrimp. Oyiien)
5.00
5.00
5.00
5.00
5.75
6.75
PARKER'S WILL CATER ALL YOUR NEEDS
Two Locations To Serve Tou
No. 1 S. Memorial Drive No. 2. 2020 E. Greenville Blvd.
756-2388 758-9215
UNIVERSITY APARTMENTS
2899 E. 5th Street
? Located Near ECU
? Across From Highway Patrol Station
Limited offer-$275 a month
Contact J.T. or Tommy Williams
756-7815 or 830-1937
Office open-Apt. 8,12-5:30 p.m
?AZALEA GARDENS
Clean and quiet one bedroom furnished
apartments, energy efficient, free water and
sewer, optional washers, dryers, cable TV.
Couples or singles only. $195 a month, 6 month
lease. MOBILE HOME RENTALS - couples or
singles. Apartment and mobile homes in Azalea
Gardens near Brook Valley Country Club.
Contact J.T. or Tommy Williams
756-7815
ad
a
a
c
Rec
hi
ca
i
i
fu
tr?
di
ev
at
ca
U
to
m
cl
G
G
O
TV
"I
a
a
oi
SI
K
d
J
d
(AP) - It may be
me sectors of the
Una economy recoj
drought of iy88,exj
"Everytime it rairj
in one place, we'vej
on the phone asku
helped the drought!
Goodge, a climatold
National Climate L
A she vi lie "Its ht
moisture at the gro
couple or three dav
little or nothing
ground water
The drought I
plaguing lawns, crof
supplies for se.
gone on so long tru
experts are beginni
roots oi rm r
The numb r ? ?
fkari
? Jry mount
officials that
spawn :
shallow mountain
And there are oth
-Drought-stress
growing as fast as c:
succumbing to disc
moisture.
- Older ChristmJ
h .ve survived the
be of poor qua!
- Cattle farmers i
I sell off livestock
? id will have to w,
y ears to rebuild thej
It is impossible to
on the potential lo"
tural experts sav.
Champion Internj
? large paper rri
plant west oi Ash
eplant 500 acres
years ago when sej
billed 75 percent of
tngs
"You've just douq
for re-establishing j
re Garv Car
Derations mana
mpany's tim
I theGro i
. rd. "You've I I a a
t opportur it g
Even mature ti
?atine.
. .?.
n th
!
?.?
M
V?
a?KJ6
' i

SOU
PLAST!
PLA
Assorted
$1.
V7
FRESi
WAY
IBREA1
2





THE EAST CAROLINIAN
AUGUST 23,1988 25
ras
n medical aid to
iragua, to be
the Nicaraguan
aid will
? nthumanitar-
on-
I tnce
iuld be
as Central
iwn
NEY?
( I VI
1 li i i
oi
?rks
rial
I n
LIN
;
ive
in
vfTS
p.m
JS
shed
ter and
trie TV.
6 month
npies or
in Azalea
Club.
IrlC
(AD - It may be years before
some sectors of the North Caro-
lina economy recover from the
drought of 1988, experts say.
"Everytime it rains one shower
in one place, we've got someone
on the phone asking if that has
helped the drought said Grant
Goodge, a climatologist with the
National Climate Data Center in
Asheville. "It's helped the soil
moisture at the ground level for a
couple or three days. But it does
little or nothing to restore the
ground water.
The drought which has been
plaguing lawns, crops and water
supplies tor several summers has
gone on so long that agricultural
experts are beginning to see the
roots of long-term problems.
The number of forest fires has
Teased significantly in the tin-
r dry mountains. State fishery
officials worry that trout will not
twn properl) in the warm,
illow mountain streams.
And there are other problems:
Drought-stressed timber is not
wing as fast as expected, often
s -cumbing to disease and lack of
listure.
Older Christmas trees that
tve survived the dry weather
may be of poor quality.
Cattle farmers who have had
' soli off livestock they couldn't
d will have to wait up to three
ears to rebuild their herds.
It i.s impossible to put a price tag
on the potential losses, agricul-
tural experts sav.
Champion International Corp
' large paper manufacturing
tnt west oi Asheville, had to
plant 500 acres of pines two
I cars ago when severe drought
I illcd 73 percent of its new plant-
"You've just doubled your cost
r re establishing those trees
re Gary Cargile, district
erations manager for the
mpany's timbcrlands division,
1 the Greensboro News & Rec-
: i. "You've let a couple of years
I ?j iportunity go by
r.wn mature trees can take a
With their deep root
from drought may
systems, they can withstand most
dry spells. But extended drought
can be a killer.
"There are more dead and
dying trees now than there have
been in a number of years said
Eric Ell wood, dean of N.C. State's
college of forest resources.
The drought's long-term im-
pact on the timber industry?
"It could ultimately run into the
millionsof dollars Ell wood said.
"We're talking about the value of
timber lost. We're talking about
the whole cycle of jobs from the
loggers on through the manufac-
turing process
And as dead trees decompose,
they give off cabon dioxide that
rises into the atmosphere as a
natural pollutant.
The drought also has caused
dry forests to burst into flames
more readily than normal. Nor-
mally, firefighters in North Caro-
lina will battle about 800 firesovcr
2,000 acres from January through
June each year. During that pe-
riod of 1987, though, they fought
1,172 fires that burned more than
3,350 acres. And this year they
fought 1,124 fires that burned
3,742 acres. Landscapers and
ornamental tree growers also are
feeling the pinch. Nurseries have
had to spend much more money
than in the past to irrigate dog-
woods, maples, flowering cher-
ries and other such trees.
At the other end, landscapers,
particularly those doing residen-
tial lots without sprinkler sys-
tems, have cut back on planting.
North Carolina cattlemen have
had to sell off large numbers of
their livestock because the
drought has cut short their supply
of feed. Three years ago there
were 1.2 million head of beef and
dairy cattle in the state. Now
there are only 800,000.
"It will take considerable time
to build thosccattle numbers back
up said Clint Reese, executive
director of the N.C. Cattlemans
Association.
The short-term impact will be
cheaper meat, he said. But he
expects prices to begin edging up
bytheendoftheyearastheglutof
meat passes.
With rivers and streams in the
mountains well below median
flows, state fishery officials worry
that trout, stressed bv the wr?rm
waters, may not lay eggs. If that
happens it could be three years
before fish in those streams repro-
duce again.
Aug. 15, the French Broad River
at Asheville was at 31 percent of
its median flow for August, and
Elk Creek east of Wilksboro was
at 25 percent of its monthly me-
dian flow. The flow at Elk Creek
tied the record for the lowest daily
average flow for the month.
Streams, though, respond
In the dog day afternoons of August, it is time to wag a tounge, bite a few flees, and find a good friend
to go water hydrant adventuring with. (Photo by Thomas Walters?Photolab)
ESEESE
Welcome
Back
Students
with
SUN
GLASSES
REDUCED
50
?a
Thirst Quencher
99$
32 oz
CHECK OUR GREAT
TAILGATE SUPPLIES!
HOT DOGS
FOR
$100
SOLO
PLASTIC 9"
PLATES
Assorted Colors
$1.09
SOLO
PLASTIC 16 OZ.
PARTY CUPS
Assorted Colors

V
99
VM.
KINGSFORD
CHARCOAL
BBQ BAGS
2.5 lbs.
$1.79
WISE
GRAB
UY BAGS
MIX OR MATCH
299C
Deane St in Wilson & l()th St
in Greenville locations onlv)
"FREE" WISE
COTTAGE FRIES
with purchase of our great
Deli Express Sandwich
(while supplies last)
quickly to rain.
"Return to normal rainfall will
be a return to normal stream
flows explained Tom Zem-
brczuski, a hydrologist with the
U.S. Geological Survey. "But the
thing that sustains stream flow is
groundwatcr. Groundwater re-
sponds much more slowly
The groundwater, the reservoir
beneath the earth's surface that
feeds wells and streams, is only
years
restored by months of steady
winter rains and snows. In the
absence of searing heat and high
demand from vegetation, that
moisture soaks in and fills up
groundwater reserves.
During the winter of 1985-86,
there was little recharge to the
groundwatcr. The result: disas-
terous drought. And last winter,
precipitation was off ajain.
Tire & Parts Inc.
752-6838
STUDENTS
SAVE! SAVE!
ON HIGH QUALITY
USED
TIRES
FROM
$6.00
9 miles east of Greenville on 10th Street (Hwv 33)
Welcome
Back
Students
with
FREE 10-SPEED BICYCLE
-Drawing Wednesday, September 21,19SS
-A Bicycle will be given away at Fresh Way
in Greenville located on 10th Street, serving ECU

Check our
great
Pepsi
can
promotion
when you
register!
KING SIZE M&M's.
Skittles and Snickers
691
each
Wise
SANDWICHES
(while supplies last
"FREE" ICE
with a
Fresh Way
Cooler Purchase
a
FRESH
WAY
IBREAD
299C
FRESH WAV
Long Loaf Bre
t "?
ad

S
td&
i
w
32 OZ.
FOUNTAIN
COKE
49
2x5
FREE
Fresh Ground
MAXWELL
HOUSE
8 OZ. CUP OF COFFEE
WITH THIS COUPON
? VOID AFTER 92188
FREE
Fresh Dipped
ICE CREAM
CONE
WITH THIS COUPON
VOID AFTER 92188
imRODUCING -
a TROPICANA
16 OZ.
FRUIT JUICES
Now only 79
FREE
Fresh Cone of
POPCORN
WITH THIS COUPON
VOID AFTER 921 88





THE EAST CAROLINIAN
AUGUST 23,1968 25
as
ion in medical aid to
M Nicaragua, to be
by the Nicaraguan
Ihurch. The aid will
hocurrcnt humanitar-
jram expires and con-
nonths.
he kind of assistance
EMrtent we should be
rovide as Central
fempts to solve its own
EY?
AN OFFICIAL
CAROLINA
'YERSITY
ral-Recrea-
es Department
intramural
It r the Fall
starts at 3.85
jotball, 4.20
and basketball.
in one of
networks
ng a job that
and your busy
ormation, ap-
1 2 4 Memorial
or call Dave
ATTEND
iMN'G CLINICS
t2 Memorial Gym
2 Mc morial Gvm
CM alGym
atorv
ve
5
on
.m
Led
r and
TV.
month
pies or
Azalea
!lub.
ii
f
t
c
e
a
c
L
ft
P
Si
ti
tc
C
o
k
g
tL
bl
in
to
in
m
or
C
C
o
Pr
tic
in
fel
se
re
St

01
sc
pri
kic
she
the
Dai
:ha
Sus
hi
h
ar
Recovery from drought may take years
(AP) - It may be years before
some sectors of the North Caro-
lina economy recover from the
drought of 1988, experts say.
"Everytime it rains one shower
in one place, we've got someone
on the phone asking if that has
helped the drought said Grant
Goodge, a climatologist with the
National Climate Data Center in
Asheville. "It's helped the soil
moisture at the ground level for a
couple or three days. But it docs
little or nothing to restore the
ground water
The drought which has been
plaguing lawns, crops and water
supplies for several summers has
gone on so long that agricultural
experts are beginning to see the
roots of long-term problems.
The number of forest fires has
increased significantly in the tin-
der-dry mountains. State fishery
officials worry that trout will not
spawn properly in the warm,
shallow mountain streams.
And there are other problems:
- Drought-stressed timber is not
growing as fast as expected, often
succumbing to disease and lack of
moisture.
- Older Christmas trees that
have survived the dry weather
may be of poor quality.
- Cattle farmers who have had
to sell off livestock they couldn't
feed will have to wait up to three
years to rebuild their herds.
It is impossible to put a price tag
on the potential losses, agricul-
tural experts say.
Champion International Corp
the large paper manufacturing
plant west of Asheville, had to
replant 500 acres of pines two
years ago when severe drought
killed 75 percent of its new plant-
ings
"You've just doubled your cost
for re-establishing those trees
here Gary Cargile, district
i pera lions manager for the
mpany's timbcrlands division,
Id the Greensboro News & Rcc-
i rd. "You've let a couple of years
f opportunity go by
Even mature trees can take a
I mating. With their deep root
F
Kej
pro
wa:
Ku:
Coi
wa!
by i
viol
Fl
not
the:
the
"I
my
"Bu
crin
U
agrc
ofY
be i
sup
V
havi
cap
systems, they can withstand most
dry spells. But extended drought
can be a killer.
"There are more dead and
dying trees now than there have
been in a number of years said
Eric Ell wood, dean of N.C. State's
college of forest resources.
The drought's long-term im-
pact on the timber industry?
"It could ultimately run into the
millions of dollars Ell wood said.
"We're talking about the value of
timber lost. We're talking about
the whole cycle of jobs from the
loggers on through the manufac-
turing process
And as dead trees decompose,
they give off cabon dioxide that
rises into the atmosphere as a
natural pollutant.
The drought also has caused
dry forests to burst into flames
more readily than normal. Nor-
mally, firefighters in North Caro-
lina will battle about 800 firesover
2,000 acres from January through
June each year. During that pe-
riod of 1987, though, they fought
1,172 fires that burned more than
3,350 acres. And this year they
fought 1,124 fires that burned
3,742 acres. Landscapers and
ornamental tree growers also are
feeling the pinch. Nurseries have
had to spend much more money
than in the past to irrigate dog-
woods, maples, flowering cher-
ries and other such trees.
At the other end, landscapers,
particularly those doing residen-
tial lots without sprinkler sys-
tems, have cut back on planting.
North Carolina cattlemen have
had to sell off large numbers of
their livestock because the
drought has cutshort their supply
of feed. Three years ago there
were 1.2 million head of beef and
dairy cattle in the state. Now
there are only 800,000.
"It will take considerable time
to build those cat tie numbers back
up said Clint Reese, executive
director of the N.C. Cattlemans
Association.
The short-term impact will be
cheaper meat, he said. But he
expects prices to begin edging up
by the end of the year as the glut of
meat passes.
With rivers and streams in the
mountains well below median
flows, state fishery officials worry
that trout, stressed bv the warm
waters, may not lay eggs. If that
happens it could be three years
before fish in those streams repro-
duce again.
Aug. 15, the French Broad River
at Asheville was at 31 percent of
its median flow for August, and
Elk Creek east of Wilksboro was
at 25 percent of its monthly me-
dian flow. The flow at Elk Creek
tied the record for the lowest daily
average flow for the month.
Streams, though, respond
quickly to rain.
"Return to normal rainfall will
be a return to normal stream
flows explained Tom Zem-
brczuski, a hydrologist with the
U.S. Geological Survey. "But the
thing that sustains stream flow is
ground water. Ground water re-
sponds much more slowly
The groundwater, the reservoir
beneath the earth's surface that
feeds wells and streams, is only
restored by months of steady
winter rains and snows. In the
absence of searing heat and high
demand from vegetation, that
moisture soaks in and fills up
groundwater reserves.
During the winter of 1985-86,
there was little recharge to the
groundwater. The result: disas-
trous drought. And last winter,
precipitation was off again.
Tire & Parts Inc.
752-6838
STUDENTS
SAVE! SAVE!
ON HIGH QUALITY
USED
TIRES
N i
In the dog day afternoons of August, it is time to wag a tounge, bite a few flees, and find a good friend
to go water hydrant adventuring with. (Photo by Thomas Walters?Photolab)
FROM
$6.00
9 miles east of Greenville on 10th Street (Hwy 33)
?pr? r"
n:M-i:
Welcome
Back
Students
with
&.
SUN
GLASSES
REDUCED
50
Thirst Quencherj
99P
32 oz
Welcome
Back
Students
with
FREE 10-SPEED BICYCLE
-Drawing Wednesday, September 21,1988
-A Bicycle will be given away at Fresh Way
in Greenville located on 10th Street, serving ECU
CHECK OUR GREAT
TAILGATE SUPPLIES!
HOT DOGS
$100
SOLO
PLASTIC 9"
PLATES
Assorted Colors
$1.09
SOLO
PLASTIC 16 OZ.
PARTY CUPS
Assorted Colors
99
FOR
"FREE" WISE
COTTAGE FRIES
with purchase of our great
Deli Express Sandwich
(while supplies last)
Check our
great
Pepsi
can
promotion
when you
register!
KING SIZE M&M's,
Skittles and Snickers
69
KINGSFORD
CHARCOAL
BBQ BAGS
2.5 lbs.
$1.79
.? WISE
!3C GRAB
UY BAGS
MIX OR MATCH
299
(Dearie St in Wilson & 10th St
in Greenville locations only)
wise
SANDWICHES
each
(while supplies last)

i
VIP
"FREE" ICE
with a
Fresh Way
Cooler Purchase $
m
-w
ZX-I
ft.
FRESH v w
WAY fe
IBREAD
299
FRESH WAY

Long Loaf Bread
S
32 OZ.
FOUNTAIN
COKE
49 C
FREE
Fresh Ground
MAXWELL
HOUSE
8 OZ. CUP OF COFFEE
WITH THIS COUPON
, VOID AFTER 92188
FREE
Fresh Dipped
ICECREAM
CONE
WITH THIS COUPON
VOID AFTER t1188
INTRODUCING -
TROPICANA
16 OZ.
FRUIT JUICES
Now only 79
FREE
Fresh Cone of
POPCORN
WITH THIS COUPON
VOW) AFTER 9 21 88
give:
dom





26
TI IE EAST CAROLINIAN
AUGUST 23, 1988
Parents to protest Strode preaching kids
MARION N.C. (AP) - Dozens
of angry parents were expected to
confront the street-preaching
Strode children and their parents
on the first day of school tod?
school officials said.
McDowell County Schools
Superintendent David Ricketts
told The Charlotte Observer that
because of the Strode family and
the children's preaching about
"whoremongers" and "fornica-
tors the first dav of school is
something he and other school
officials "sincerely dread
Ricketts and Eastfield Elemen-
tary School Assistant Principal
Shirley Ramsey say thc're con-
cerned about the Strode
children's effect on other children
at the school, especially kinder-
garten students, who on their first
day of school will be confronted
by veiling children and parents.
They're urging parents to stay
calm.
"We're hoping the citizens of
the county will be understanding
and realize we are doing every-
thing we can as fast as we can
Ricketts said.
In the McDowell News last
week, an editorial counseled par-
ents to ignore the Strodes. Beside
letters to the editor about the
Strodes from Kentucky and Mon-
tana was an editorial headlined:
"Keep Peace. First School Day
Deserves Dignity
The last line of the editorial:
"The nuts in the yard should be
left to the squirrels
But the Strode children will be
at it again todav when classed
resume, Robin Strode said Sun-
day.
"They're not going to be yelling
and screaming like other kids
who yell and scream on the way to
school Mrs Strode said. "My
kids are going to yell and scream
the scripture back and forth
They're going to preach from the
school's gate but when they get
to the school doors, their going to
stop and go inside
Mrs. Strode said a friend will
escort her children from the
school's gate to the frontdoor. On
the way, the three children,
Duffcy, 11, Matthew, 6, and Pep-
per, 7, will alternate shouting
Bible versus - the style ol street-
preaching they learned from their
father
We hope thai the Strodes will
not repeat what they've done and
force some sort of issue Ricketts
saki. "We cannot go through
another year like we did last
year
Mrs. Strode and her husband,
David, are barred from school
grounds. Ricketts notified them
in a registered letter Friday that if
they come onto the school
grounds, "appropriate action"
will be taken.
They bar us because thev said
we were disruptive, but when all
'hose other parents gathered at
the end of the year around my
husband and yelled and
screamed at him, 1 wonder how
many of them got letters barring
them from the property?" Mrs.
Strode said.
Mrs. Strode said her chief con-
cern, however, was that the order
bars her children from school
grounds except between 7:30 a.m.
and 3:30 p.m. on school days.
"Mv oldest boy loves to play
football . . Mrs. Strode said.
"The coach says he's really look-
ing forward to Duff playing and
he's trying to ?et permission for
Duff to play football
The three children were sus-
pended repeatedly from East field
Elementary School last spring.
The trouble started when Duffey,
a fifth-grade A student, came to
school one morning in March and
stood near the back entrance
shouting Bible versus.
As teachers and students
passed, Duffcy shouted verses
about whoremongers and forni-
cators. When the principal asked
Duffey to come inside the school,
he refused.
Soon after, kindergartener Mat-
thew did the same thing. Pepper,
a first-grade girl, accompanied
Matthew but did no preach. Mrs.
Strode said Pepper will join her
brothers in quoting scriptures on
the way to school today. The
Strodes, who have said since
March they plan to sue the
McDowell County school system,
claim school officials violated
their children's rights to freedom
of speech and religion.
School officials said the chil-
dren were suspended for causing
a disruption and refusing to go in
the building when asked.
Over the summer, as the family
traveled around the country ap-
pearing on television and radio
talk shows in more than a dozen
cities, David Strode developed a
new tactic: this year, the children
will go into school.
School officials have spent their
summer consulting with attor-
neys and considering their op-
tions.
If the children's performance at
school is identical to last spring,
Ricketts said the school will re
spond the same way- by suspend-
ing them the first time Beyond
that, the s hool has "other op-
tions says Richard Schwart2 an
attorney for the N G School
Boards Association in Raleigh
who is advising the McDov
school board. Schwartz would'nl
comment fur tin r
"Stay tuned he sai i
State highway practices questioned
RALEIGH, N.C. (AP) ? The
practice of granting highway
right of way work is being ques-
tioned by at least one Martin
administration official, who be-
lieves the system of political pa-
tronage may be costing taxpayers
money
James Trotter, Go v. Jim
Martin's general counsel, said he
would like to see such legal work
awarded based on competitive
bids.
But right of way work has been
such a part oi the grease that has
oiled the state's political machine
for years. By controlling the right
of way work, govenors and attor-
ney generals have been able to
reward supporters in hundredsof
communities across the state.
Some 300 politically connected
lawyers, mainly supporters oi
Democratic Attornev General
Lacy Thornburg or Martin, a
Republican, have recieved
$836,787 in legal fees for highway
right of work over the past three
years, published reports say.
law firms, as Sen. Tony Rand, D-
Cumbcrland, the Democratic
nominee for lieutenant governor;
Rep. Billy watkins, D-Cranville;
former state Rep. Paul Pulley oi
Durham and former Attornev
General Rufus Fdmisten, The
News and Observer reported
Sunday.
Notable Republicans, or their
firms, who have recieved legal
fees for such work include Robert
Bradshaw Jr chairman of
Martin's re-election committee;
Robert t lunter Jr chairman oi the
state Board ot Elections; Senate
Minontv Leader Laurence Cobb,
R-Mecklenburg; and William
Graham, state banking commis-
sioner and state chairman of Vice
President George Bush's presi-
dential campaign.
Thornburg says he sees nothing
wrong with having his support-
ers handling the right of way.
"It is the partisanship in the
sense that if 1 - or anyone else" in
my political office - think mv
friends can do the job, I'm not
Thornburg said. "Obviously we more lucrative work. As a result,
have competent Democrats who there are delays in highway con-
practice law just as we have com- struction that drive up the cost of
petent Republicans purchasing the land and building
Concerned that Republican the road, he said.
lawyers were not sharing in the "The potential for increased
political spoils, Trotter met with costs is sufficiently great Trotter
Thornburg and told him that said. "We ought to see if there is a
governors have traditionally been better way of doing it
able to control half the right of The response from the Bar As-
BACK TO
SCHOOL
SPECIALS
v
FREE
2nd SET OF
"I
PRIMS
?
?
PORTRAITS
by
FREE
REPRINTS
I ONE FREI '
I
rFREE"
ENLARGEMI NT
1

way
split
1986
fees,
the
Thornburg agreed to
patronage starting in
Among those lawyers were 20 going to go out and hire my ene-
state legislators, mies to do it he said.
The recipients included such "Under no circumstances has
prominent Democrats, or their the public suffered from that
Trotter said he thinks the sys-
tem of awarding right of way
work is a holdover from an earlier
political age and should be mod-
ernized.
In a letter to the N.C. Bar Asso-
ciation earlier this year, Trotter
suggested a new sysyetm di-
videing the state into regions,
possibly the 14 state highway
divisions, and allowing lawyers
specializing in real estate work to
bid for the work in each division.
The problem with the current
system, he said, is the right of way
work is often handled by lawyers
with general practices who delay
researching titles until thev finish
sociation has been lukewarm.
Leon Killian III, a Waynesville
lawyer who until recently headed
the bar's Real property Section
Council, sadi competitive bid-
ding is inapprpriate "When you
are talking about doctors, lawyers
or architects It has to be based on
competence, not on the lowest
price
j INSTANT REPLAY
FREE
5X7COLOR
PORTRAIT
WITH EACH PAID SITTING
AND THIS CARD
Call Now Tor Appointments And Spccul i'jck-
ages For Students And Seniors
INSTANT REPLAY
ONE HOUR PHOTOS AND PORTRAITS
Quality, Convenience and Personal Service"
The Plaza
(next to Annabelle s
355-5050
Have a great Fall
BICYCfl 90S
Mexican Restaurant
JJ
BIENVENIDOS AMIGOS
ESTUDIANTES
PROFESORES
Our Vehicles Run On Carbohydrates
Schwinn ? Trek
Jamis (Earth Cruiser)
Raleigh ? Cannondale
?Free T-Shirt with purchase
of Bike
?All Bikes assembled FREE
Action
Heal
RALEJCH AP
administrat j
analysts are u
ated health ai
caught mat
of a slowdi v n ti
past few v. ai
"Health cai
contn
tive vice pi
an H
members I ?
Ass tciat ?
summer n I
Ma:v.
the inci
health
pay ea ?
Obs
londa
Bh:
North (
?
will
I ? ?
prcmiun
.ib high :
Blu
North -
?
" : '
in claim Fi
Bizzci
RAl
fur ?
traced : v
clinics
? I
attcnl
cau ? ? .
leffr
? ?
feels the sen i
' TTh
pray t i I
A.
?
triev a
fetu
ti
?
give them "appntpv
Those 157 I
rned
ice was s
?
The
mains ?
chur
Gro.
Ob
Jos phS
-
tional ai
in Cr
fetus -
search tl
res ai
sts lool
Woman ser
man's sente
WINS 5
orene
seven years
prison Friday
kidnappii gof
shenfi sdej . bru.
Florea had pl ad
the kidnap
Danm, M
charged w ith afc i
Susan Vim.
Chicago and r? .
harmed.
Florea S j
Kesenberg sa 1
profile ol a ba
was Week's victim.
"She did what -
Kusenberg said in a I - .
Court. She w as a I
was intimidated a
byacombinal n
violence
Florea cr .
not capturing Weeks, wl I
the FBI - ' ? st Wanti
the kidnapping
"1 have never been in tro
my entire lite Florea I
"But 1 will get a sentence
crime Dannv Weeks comm
U.S. District Judge Hiram
agreed Florea was a willii I
of Weeks. Her active senl
be followed by three
supervised release.
Ward noted that Fl I
have let Vincent escape a
caped herself but didn t
"She held a gun that couk
given her and the victtrr.
dom he said.





I
f
THE EAST CAROLINIAN
AUGUST 23,1988 27
ids
identical to last spring
aid the school will re
same way by suspend
? time Beyond
.slur op
n Raleigh
M towel)
would nt
I
RLE
h i Ml" OF
RI NTS
Rl I
l I I s
1
REl
RG1 Ml NT
7v
I
rchase
FREE
ion
rts
95
Health officials worry about rising costs
RALEIGH AP Hospital
administrators and health care
analysts are upset about acceler-
ated health care costs that have
caught many by surprise because
f a slowdown in costs during the
past few years.
"Health care costs are out of
ontrol again Jack Owen, execu-
tive vice president of the Ameri-
an Hospital Association, told
members of the N.C. Hospital
ssociation, recently at their
ummer meeting.
Many working people will feel
the increase most directly in the
iealth insurance premiums they
av each month. The News and
Observer of Raleigh reported
Monday.
Blue Cross and Blue Shield of
Morth Carolina has estimated that
ts premium increases for 1988
will average as much as40 percent
by the end of the year. In some
irts of the country, Blue Cross
premium increases have soared
is high as 70 percent.
Blue Cross and Blue Shield of
North Carolina says it is incrcas-
ng its premiums to cover a big
amp in the amount it has paid out
n claims. From November 1987 to
March 1988, the average amount eral government hasn't kept its
paid in claims per subscriber part of the bargain
jumped $117 ? equivalent to an Government studies report,
annual increase of 19 percent. however, that some hospitals
'The lid's about to fly off have made profits from the new
again said Daniel Butler, senior Medicare payment system. The
vice president for health affairs Health Care Financing Admini-
for Blue Cross and Blue Shield of stration reported in January that monthly premium.
North Carolina. "It's beginning to hospitals earned an average profit "The health insurance premi-
look like the worst (medical infla- of 9.6 percent on their Medicare urns were restrained because of
tion cycle we've ever had. patients in the year 1986-1987. the rivalry said I. Glenn Wilson,
"It's happening all over the "Hospitals have argued that the professor of social and adminis-
countrv Butler said. "It's not just government report used an artifi- trative medicine at the University
North Carolina cial accounting system to com- of North Carolina at Chapel Hill.
Hospitals say they are raising pute profits that were not real. "They HMOs were running
patient charges to make up for There are a few hospitals that are around offering high benefits and
insufficient payments they get making money on Medicare, and low premiums
from the federal government for many more hospitals that are los- But some HMOs found they
Medicare patients. ing money Erwin said. were paying out more in claims
The Medicare program, which Hospitals also say they are get- than they were collecting in pre
pays medical bills for people over ting inadequate payments from
65, established a cost-control sys- Mcdicaid, the government pro-
tem called prospective payment gram for poor people, and are million over the last year, he said,
in 1983. Under the system, hospi- losing money from bad debt and Other HMOs are increasing their
tals are paid a flat fee for perform- charity care. The hospitals are premiums to stay financially
ing medical services according to raising their charges to other pa- sound.
the patient's diagnostic and treat- tients to make up for this. "Now traditional insurance
ment category. A shortage of nurses and other plans are raising premiums to
"Prospective payment, when it hospital workers has driven sala- catch up with costs Wison said,
came in, promised it would keep ries much higher, some increasing Dr. Robert Bilbro, an internist
up with cost-of-living increases as much as 25 percent. and president of a health mainte-
said William Erwin of the N.C. "That also puts pressure on
Hospital Association. "The fed- hospital charges to catch up this
year Erwin said. the HMO has had to increase its
Hospitals and health insurers premiums by about 20 percent to
may have kept their charges low 25 percent this year,
for a few years to fend off compe- Hospitals have learned to per-
tition from health maintenance form some medical services on an
organizations, provide medical out patient basis to save money, making it not available. If you
services in return for a perpaid only to find that the outpatient make it available, if s going to get
services began to generate more used
people in the United States expect
more, and better, health care.
"Americans have an insatiable
appetite for health care said
Butler. "You can ration care by
money too.
"We've got this illusion that
when we transferred services
from the hospitals to the outpa-
tient, we lowered costs said
Wilson. "We may have just trans-
ferred the costs
Experts from many fields
doctors, health insurers and pol-
icy analysts agree the biggest
reason costs have gone up is that
miums, Wilson said. Maxicare, a
nationwide HMO, has lost $225
nance organization called Caro-
lina Physicians' Health Plan, said
Bizzare funeral for fetuses
RALEIGH (AP)- A Tuesday
funeral mass for 157 fetuses
traced to North Carolina abortion
clinics is not designed as a media
event or an opportunity to draw
attention to anti-abortionists'
causes, a Raleigh pastor says.
Jeffrey Ingram, pastor of Our
Lady of Lourdcs Church, said he
feels the service is justified.
" The purpose of the mass is to
pray for the souls of the dead he
said.
Anti-abortionists say they re-
trieved almost 3,000
fetuses,including 157 from North
Carolina, from trash containers
outside abortion centers in 11-
lonois , Indiana, New Jersey, and
Delaware last month in order to
give them "appropriate" burials.
Those 157 fetuses were re-
turned to Raleigh after having
been found outside a research lab
in Chicago and the Catholic serv-
ice was set for 11 a.m. Tuesday,
Ingram said.
The casket containing the re-
mains will not be present at the
Lurch before it is buried at
Guadalupe Church in Newton
Grove, Ingram told The News and
Observer of Raleigh.
Joseph Scheidler, director of the
Pro-life Action League, a na-
tional anti-abortion group based
in Chicago, said Sunday that the
fetuses had been found during a
search through the garbage at a
search lab in Chicago by activ-
- looking for remains. The fc-
Woman serves
man's sentence
WINSTON SALEM (AP) ?
rene Florca wa sentenced to
.even years and three months in
prison Friday for her role in the
kidnapping of a Guilford County
sheriff's deputy in February.
Florea had pleaded guilty to
the kidnapping in which she and
Danny Michael Weeks were
harged with abducting Deputy
Susan Vincent, driving her to
hicago and releasing her un-
armed.
Florea's attorney, Margaret
Kesenberg, said Horea fit the
profile of a battered woman and
was Week's victim.
"She did what she was told
Kusenbcrg said in a U.S. District
Court. "She was a follower. She
was intimidated and controlled
by a combination of affection and
violence
Florca criticized la w officials for
not capturing Weeks, who was on
the FBI's Most Wanted list, before
the kidnapping.
"I have never been in trouble in
my entire life Florea, 56, said.
"But I will get a sentence for a
crime Dannv Weeks committed
U.S. District judge Hiram Ward
agreed Horea wasa willing victim
of Weeks. Her acti vc sentence is to
be followed by three years of
supervised release.
Ward noted that Horea could
have let Vincent escape and es-
caped herself but didn't.
"She held a gun that could have
given her and the victim free-
dom he said.
tuses were individually packaged
and labeled, he said with the
names of the mothers, doctors,
dates and places the abortions
were performed.
" We found them on a dock
waiting for a garbage truck, wait-
ing to be incenerated or taken to
the landfill Scheidler said. "We ety, and out of respect for thrvola-
have been going through the gar- tility of the issue he said. " Tis-
bage looking for these bodies. We sue from humans should be dis-
believe these are human beings, posed of in a humane way, and
and vou don't throw human I'm not suggesting burial or a reli-
Shiclds said that one task being "It's important for me to cm-
undertaken by the ACLU'srepro- phasize that the diocese did not
ductive rights project was seeing initiate this he said. "We are just
that medical remains were responding to a request, and I
handled with respect. think it's a valid request. It is bi-
"Any laboratory should make zarre. It's an unusual request,
provisions for humane disposal, But thjs raises the question of
justasamattcrof taste and propri- what people feel is a proper way
beings away. We thought it
would be appropriate for the
unborn babies to be buried where
their mothers are from, and where
they lost their lives
Scheidler would not sav why
the fetuses had'beerf'sent Trbrn
North Carolina to Chicago
Scheidler would not name the
Chicago lab clinic where the fe-
tuses were found or the clinics
where they were sent from in
North Carolina.
"This is obviously a macabre
exercise. Certainly they have a
right to hold a religious ceremony
for anything they want to hold a
religious ceremony for, and we
would defend their right to do
that, said Jim Shields, excutive
director of the N.C. Civil Liberties
Union.
"We would just like to be sure
that this is not a religious process
being manipulated for political
ends Shields said.
gious ceremony. I would not be
surprised if this is setting up the
state of North Carolina for legisla-
tive action on a humane disposal
statute
The remains of the fetuses
found in Chicago were shipped
last week to aMShapel. Hill anti-
abortion activist, Lucy M.
O'Keefe, who had a single casket
built for them in preparation for
burial.
Ms. O'Keefe, who asked the
Raleigh Diocese to arrange the
funeral mass, said, "It's been an
overwhelmingexpcriencctohave
the rcponsibility of arranging the
funeral sevice. Abortion as an is-
sue is one thing. Abortion in the
form of 157 corpses in my kitchen
is awesome. It is overwhelming
Father Joseph Vettcr, spokes-
man for the Raleigh Diocese, said
Ms. O'Keefe had asked him to
arrange a Catholic funeral mass
for the fetuses.
of disposing of these fetuses, if
this is not the way to do it
On July 30, a funeral mass was
said for 1,800 fetuses collected by
the Chicago group. That mass,
held at a cemetery in the suburbs
of Chicago, was said by the city's
top Catholic leader, Cardinal Jo-
seph Bernardin.
The American Civil Liberties
Union of Illinois denounced the
service.
Despite all of the rumors, the New Deli is back in full swing! We welcome you back
this fall with various specials and live entertainement. We are here to serve our
friends the finest. Join us and enjoy the unique alternative atmosphere that
Greenville has to offer.
Thank you,
t'ch 7h'hJaUc
Barbara McDade
General Manager
Featuring
Daily Lunch & Dinner Specials
Drink Specials Each Week
Weekend Entertainment
Open Mic Night & Other Activities
August 26th Amateurs "Rockin Reggae"
27th Bad Bob & The Rocking Horses
Xook for Monthly Calendar of Events on Sept. lst
"The Alternate Place to go
513Cotanche St.
(Located across from U.B.E.)
758-0080
Hours of Operation
MonTues. 11 a.m10 p.m.
WedThur. 11 a.ml a.m.
Friday 11 a.m2 a.m.
Saturday 12 noon-2 a.m.
Welcome Back ECU
Now through September 30th.
F ?
Welcome Back
Students
Annual Summer Clearance
12 Off Summer Merchandise
Beat the Heat In Our New Air
Conditioned Budget Areas
Nothing Over $800
junior
we'll pay for it.
MT
Saveupto30.00on
any eye exam when you buy I
a pair of glasses. j
No matter where you get your eye exam, just bring a prescription and j
recent eye exam receipt and well deduct the cost of your exam (up to
$30; from your purchase of eyeglasses (frames and lenses). Prescription
and receipt may be from a Doctor of Optometry next to Pearie or any
other eye doctor Minimum purchase of $75 required. Coupon expires
Sept 30,1988 at participating Pearie Vision Centers. Coupon must be
presented at rime of ordet No other discounts apply.
I
c
PEARLE
vision center
2
NOBODY CARES FOR EYES MORE THAN PEARLE.
I
117 Carolina East Mall ? 756-8834
Adam Batts, Licensed Optician
?1988 Pearie Health Services, Inc
h-JACK
Tom Togs
Factory Outlet
1900 Dickinson Ave
xxxxxxxxxxxxxxxxxxxxxxxxxxxxxxxxxxxxx
Trocadero Tom Togs Fashions
Come Visit A New Image Featuring
1st Quality At Off Prices Originals From
Panama Jack & Other Exclusive Name Brands.
Located Next to Tons of Toys - S. Memorial Drive
Hours: 10-6 Mon. - Sat (Fri. & Sat til 9)
Visit Our Other Locations
Hwy. 64 East Between
Bethel and Tarboro
Conetoe, N.C.
Wed. -Sat. 9-5
Hwy. 70 West
Morehead City, N.C.
Wed. - Sat. 9-5






28
Tt IE EAST CAROLINIAN
AUGUST 23,1988
Firemen want safety on job
W1NSTON-SALEM (AP) - For-
syth county ambulance drivers
and fire department officials say
something needs to be done to
ensure their safety during inci-
dents like last month's fatal shoot-
ing spree.
"I've been shot at before one
rescue squad worker told The
Winston-Salcm Journal. "But this
was totally different. Here we
were with all this advanced tech-
nology and wondering how all
this could happen. We were all
angry
On the night of the last month's
fatal shootings, two Forsyth
County ambulances drove un-
knowingly into the path of a man
who had fired shots that killed
four motorists.
The first rescue squad workers
saw the blue lights of sheriff's
deputies' cars and pulled over
near their roadblock. As one of
them got out of the ambulance,
shots were fired at him. He
jumped behind a deputy's car.
His partner crouched down in-
side the ambulance.
A few minutes later, another
rescue worker drove up and was
confronted by the gunman. The
man approached the ambulance,
pointed the gun at the driver's
head, and shouted obscenities at
her.
For whatever reason, he didn't
fire. The ambulance driver
backed away quickly.
All of the rescue workers - who
don't want to be identified - are
lucky to be alive. But their anger
over not being told what was
going on at that dark intersection
remains.
Sheriff E. Preston Oldham
agrees.
"A combined dispatch needs
to be considered' Oldham said
during a news conference on Aug.
12.
Oldham went a step further by
saying that a county wide 9U
emergency system should also be
considered so that people calling
in emergencies need not waste
"precious moments with other
agencies
Twenty-five communities
across North Carolina use the 911
system, and four more are in the
process of implementing it. Legis-
lation has been introduced in the
General Assembly to ensure that
by 1995 all of North Carolina has
access to the 911 numocr. and deputies under the control of
Such a system has been consid- other law-enforcement agencies,
ered in the past in Forsyth He cited his legal responsibili-
County, but because of techno- ties - which he said were different
logical restrictions and political from the police department's - as
foot-dragging, it never got off the the reason for his opposition,
ground. However, in the wake of Other county officials worried
the shooting spree, mother hard lhat dispatchers, forced to answer
look is being taken aionsolidat- everything from crime victim's
ing the county's comim nications calls to animal complaints, would
systems. not do as good a job.
County commissioners support Now, Forsyth County residents
READ THE EAST
CAROLINIAN
RECREATIONAL SERVICES
Iphysical fitness programs
FITNESS CLASS REGISTRATION DATES: AUG. 30-SEPT. 2
FITNESS CLASS SESSION DATES: SEPT. 6 - OCT. 13
AEROBICS
the idea.
Chairman James N. Ziglar Jr.
said, "That awful situation
points to the need for a communi-
wanting to report an emergency
dial one of three different num-
bers, which are routed to three
different locations in Winston-
cations system that will protect us Salem. Dispatchers at all three
from having to relay messages locations have a hot line to the
and save time other departments in case some-
In the past, attempts have been one dials the wrong number
made to hook the entire county
into one communications system,
but nothing has been accom-
plished.
Eleven years ago - when the ci ty
switched to a 911 emergency
number - the technology was not
readily available to hook up the
other phone companies in the
county.
Meanwhile, former Sheriff C.
Manly Lancaster is strongly op-
posed to having his dispatchers
The combination can be confus-
ing.
Larry Thomas, the deputy di-
rector of communications for
Guilford County, knows how
tough it can be for a person to
remember which number to call.
'The actual benefit is to the
public said Thomas, who is also
the first vice president of the Na-
tional Emergency Number Asso-
ciation. "All you have to remem-
ber is to dial 911.
Hospices now accept aid
3:00-4:00 p.m. 5:15-6:15 p.m. 5:15-6:15 p.m. 6:30-7:30 p.m. 1:00-2:00 p.m. 3:00-4:00 p.m.MonThurs. Mon.Wed.Frl. Tues. & Thurs. Tues. & Thurs. Sat. Sun.MG 108 MG 108 (low Impact) MG 108 MG 108 (low Impact) MG 108 MG 108
4:00-5:00 p.m. 5:30-6:30 p.m. 12:00-1:00 p.m.TONING MonFri. Tues. & Thurs. Sat. AQUAROBICSMG 108 MG 112 MG 108
5:30-6:30 p.m.Tues. & Thurs.MG Pool
Cost per session:
$10.00 students
$20.00 facultystaff
Cost per drop-in class:
$1.00 students
$2.00 facultystaff
,
All classes are available on a drop-in basis with presentation of a
drop-in ticket and valid identification. Purchase a drop-in ticket in
204 Memorial Gymnasium.
DURHAM (AP) - The 70 hos-
pices for the terminally ill in
North Carolina are starting to
accept their first patients who are
covered by Mcdicaid and the state
employee health insurance plan.
The non-profit and public hos-
pices have relied largely on Medi-
care reimbursements or private
and public money to provide
services to people who are termi-
nally ill.
Medicaid, the federal insurance
program for the poor, and the
state's health plan for enployees
recently began offering coverage
for hospice care to terminally ill
patients, the Durham Morning
Herald reported Sunday.
State employees who have the
base plan can receive hospice
care, and the three health mainte-
nance organizations with state
contracts are required to provide
similar coverage to employees.
Few insurance companies pro-
vide hospice coverage as an op-
tion, but many have begun to
examine the service more closely
as a cost-effective measure, said
Carol Minton, executive director
of Triangle Hospice in Durham.
Blue Cross and Blue Shield of
North Carlina in Durham does
not provide hospice care cover-
age, except to some self-insured
groups including the state health
plan, said Kathryn Higgins, com-
pany spokesman. The company is
in the process of acquiring con-
tracts with hospice to offer the
benefit to large emplyee groups,
she said.
Hospice will be able to reach
more terminally-ill patients with
reimbursements for care from
Medicaid and the state health
plan, said Judi Lund, executive
director of Hospice of North
Carolina.
She said hospices won't turn
away patients, but may be limited
in the services thev can offer be-
cause of financial restraints.
Hospice provide comprehen-
sive care to terminally ill patients
at home or in a hospice center.
Patients who use hospice services
have decided to stop any aggres-
sive medical care that might pro-
long their lives for a short time.
Hospice offer or coordinate
medical care and provide other
services such as family counsel-
ing and spiritual guidance.
READ THE EAST
CAROLINIAN
East Carolina University
Department of Intramural-Recreational Services
Fitness Instructor
P Try-Outs
Friday, August 26
3:00 - 4:00 p.m.
108 Memorial Gymnasium
Stop by 204 Memorial Gym By Thursday,
August 25. 5:00 p.m.
To: Sign up for try-out
Complete Employment Application
Pick Up Procedures Sheet
For More Info. Call Kathleen Hill
at 757-6387
5:45 AM
9:00 AM
SIGN ON Monday Tuesday Wednesday Thursday Friday Saturday Sunday
sgg
"ilie c
12:00 N
A
TOUCH
OF
CLASS
(Classical)
SYMPHONY
ON CD
SS
3:00 PM
6:00 PM
t lV
CROSSOVER
(Christian
Music)
.is.
91.3
i
-ST"
INSIGHT
PIRATE
TALK
8:00 PM
?E& &J&3 1S$& ??:? ?
10:00 PM
12:00 PM
THE SOUNDS OF JAZZ
ADVENTURES
IN
MODERN
RECORDING
KRS5
2:00 PM
MONDAY
NIGHT
LIVE
ALL
REQUEST
R R
e RADIO e
G FREE G
ll JAMAICA a
E E
?

LASER WARS
ALL
COMPACT
DISC
PERMANENT
WAVE
(New WavePunk)
PERMANENT
WAVE
(New WavePunk)
e RADIO
FREE
J JAMAICA
E
FRIDAY NIGHT
CONCERT
. RADIO FREE
(I WEEKEND
SUNSPLASH
JAMAICA
Request Line:
757-6913
Always Open
BLUES
TRAIN
R&B
CLASSIC
ROCK
.
91.3
ROCK
OUTLET
ALL
REQUEST
INNER
RHYTHMS
(Soul)
7"
SIGN OFF
METAL SHOP
1204
(Heavy Metal
'til 4 AM)
Request Line:
757-6913
Always Open
Pecul
After the hideous and gn
shooter at the villianous I
hero as he attempts t !
New rei
for mul
By GREER BOWE
Mr'nm
Stembo's, a r -
Fifth St is bank g
mula of fast food su
You see Wilber I
owner and manager ol S
has had a lot exp i
business, he is the :
Hardees fast food dr
said he has a!w a - - ed
taurant business ar
self on servir ggood I
StemK's run- sc I
cfairfbr Ttinch and cffnn?
hamburger is freshly groui
slaw and barbeque
daily. StemK's a
kind of trench fries I I
scribes the tries as
breaded cajon hie I
spicy The shrimp ar
there and even the
trout are fresh.
Hardee ran the Be?
in 1977tol978in the .
Stembo's is now
turant has change d
for the better Gxvi
pleasant atre
Stembo's trade n
Hardee has rxvn in
rant businesses r -
CT?
Stembo's, a new restaural
owner, is the originator o
Bad rap
By STEVE SOMME1
SUlf Writ??
Political activism :n
reaching a level not seen 9
glorious days of disco, a
people are buying more
records and in higher quj
in allowing labels to oontn
more bands.
There are also many bai
a couple of years ago wot
been strictly considered
tive, establishing thems
the mainstream markets
These new "alternativ
stream artist, such as





AST
VN
RMCES
ROGRAMS
T 2
3
H
w Impact)
in pact)
- t in
Services
Instructor
r-Outs
August 26
4:00 p.m.
trial Gymnasium
t Line:
6913
is Open
91.3
1st Line: I
-6913
ls Open
THF FAST I'AROl INAN
AUGUST 23, 1988 Page 29
Peculiar, strange case of movie The Blob
After the hideous and gruesome destruction of their town, Brian Flagg (Kevin Dillon) points his pee-
shooter at the villianous Blob, like the sexist world we live in, Meg Penny stands in the shadows of her
hero as he attempts to kill the antagonist.
New restaurant banks on old
formula for fast food success
By MICAH HARRIS
Staff Writer
The Blob's rise to popular cul-
ture is a peculiar case. Compared
to other pop culture figures from
the 50s (like Marilyn Monroe) the
Blob is rather nondescript.
It shakes a lot (like Marilyn
Monroe) and gobbles people up.
But gobbling up folks was pretty
routine for monsters like the
Deadly Mantis or the Giant Claw
both forgotten now.
Added to the strange case of the
Blob's notoriety is the fact that not
many people today have seen the
original movie, but everyone
clicks with recognition at the mere
mention of the word: "Oh yeah.
The Blob Why has it oozed its
way into our racial conciousness?
Is it simply because no other
monster ever summoned up eve-
rything that is delightfully bad in
grade-B science fiction in just four
letters? The Blob! Notice how it
screams luridly off the page over
there? In case you missed it, here it
is again: The Blob!
Jack H. Harris, producer c ' the
original, brings his only claim to
fame into the 80s for a new gen-
eration to enjoy. The original pro-
vided a young Steve McQueen
( and a cast of exciting people"
to quote the original promo blurb)
and a slow dollop of Heinz?
ketchup to wow the teen scene.
The remake has a hero who
unfortunately resembles
Aerosmith's lead singer, the
people aren't that exciting and the
slow ketchup is replaced by a
quicksilver jelly roll. The premise
of the remake is basically the
same.
A hungry bit of plasm crashes
into a Mayberry R.F.Dtypc town
where folks drop things in the
middle of the day to attend the
high school ball game. The bad
kids are easily discernable be-
cause they literally hang out and
smoke on the street corners.
Enter the Blob! A heavenly
body (not Marilyn Monroe's)
crashes in the nearby woods,
sporting what looks like a mali-
cious puddle of tomato soup and
Mr. Bubble?. It attatches itself to a
local transient.
Before anything become of the
relationship, the drifter suffers a
destiny similar to someone
stuffed with pizza and Alka-Selt-
zer?. Next thing you know,
there's Blob all over the place.
I have to hand it to the monster.
This Blob really gets around. It
erupts out of sink drains, swims
through sewers and scurries
across ceilings like the unleashed
contents of a lava lamp.
Underneath the murky sto-
ryline, you can be sure there's a
whopping moral. 'The Blob" is in
the great tradition of the "Hook"
urban legend like the "Hallow-
een" and "Friday the 13th" mov-
ies. As in those movies, the Blob's
victims tend to be killed while
entertaining thoughts about sex.
"The Blob" makes a more sick-
ening variation on this theme.
This is not a guy in a hockey mask
and an axe This is a mutated
microorganism who, in the
story's context, is due to
mankind's questionable moral
behavior.
Maybe it's pushing the point to
make this Hick into an AIDS alle-
gory. Consider the jerk out park-
ing with his girl who gets de-
voured after his girlfriend body
gets taken over by the Blob, right
See CHARACTERS, page 30
BvGREER BOWEN
Staff V ntrr
Stembo's, a new restaurant on
Fifth St is banking on an old for-
mula of fast food success.
You see Wilber Hardee the
owner and manager of Stembo's
has had a lot experience in the
business, he is the founder of the
Hardees fast food chain. I lardee
said he lias always liked the res-
taurant business and prides him-
self on serving good food.
mbo's runs seven daily spe-
cials for lunch and dinner. The
hamburger is freshly ground, the
slaw and barbeque are made
dailv. Stembo's also serves a new
kind of trench fries Hardee de-
scribes the fries as "a seasoned,
breaded cajon trie that isn't too
spicv The shrimp are breaded
there and even the chicken and
trout are fresh.
Hardee ran the Heet-n Shakes
in 1977tol978in the very location
Stembo's is now in But the res
turant has changed since then and
tor the better Good food, and a
pleasant atmoshpere are
Stembo's trade mark
Hardee has been in the r? stau
rant business ever since he got out
oi the av 1945. Hardee was a
Chief Petty Officer in the Navy
where he served in the South
Pacific.
1 lis first restaurant was the Do
Drop Inn in Winterville. This was
a drive-in that served hot dogs.
Hardee received his nickname,
Stembo, from Jack and Hurt
Minges who used to frequent the
Do Drop.
In lu(4 1 lardee opened the
Little Mint Chain. He began
selling over the counter stock in
1968. Before resigning as prcsi
dent of the company in 1973, he
had opened 38 stores
I he first Hardee's was opened
on September 3, 1960 on 14th
street where the MedCareCenter
is now The se ond Hardees was
opened in Rocky Mount. Hardee
prided himself even then on onls
serving the freshest food
"I would ground fresh beet here
in Greenville, and take to the
Rocky M mnt restaurant every-
day " said 1 lardee. I lardee left the
Hardee corporation in 11 alter
taking two partners.
"1 got out of the I lardee corpo-
ration because ol circumstances
beyond my control said 1 lardee.
Onginall) hem Greenville,
Hardee has tour daughters, two
of which are also in the restaurant
business One of his daughters,
Mrs. Charles Smith r"ns the
Three Steers restaurant here in
Greenville One of his other
daughters runs Harolds Res-
turantat VernonPark Mall in Kin-
ston.
In 1980 Hardees first wife died
and in IS he met h;s wife 1 lelen
who helps him atStcmbo's 1 lelen
Hardee "won me to the Lord"
said Hardee.
The couple looks forward to the
students business this year.
"Business is already good, but
with the students ba k business
sh uld be even better
Stembo's is a small restaurant
. ith a down home atmosphere.
With plenty of green booths and
plants, Stembo's is almost like a
country kitchen. 1 lardee, and his
wife 1 lelen are there each morn-
ing by 8 am to prepare the food.
Ihev are both there each day
along with the other employees
until the late afternoon.
- teml o's 1 open from 10.30 am
ti ! am for these late munchies
and closed on Sunday.
Characters Meg Penny (Shawnee Smith) and her brother Kevin (Michael Kenworthy) try to hide from
the slobby hold of 'The Blob
Python-great Cleese holds fcA
Fish Named Wanda' together
By JEFF PARKER
Stiff Illustrator
Stembo's, a new restaurant on Fifth Street, features daily specials and cajun fries. Wilber Hardee, the
owner, is the originator of the Hardee's fast food chain. (Photo by Thomas Hardy-Photolah)
Bad rap not beating Public Enemy
By STEVE SOMMERS
StJtf Writer
Political activism in music is
reaching a level not seen since the
glorious days of disco, as more
people are buying more diverse
records and in higher quantities
in allowing labels to contract with
more bands.
There are also many bands that
a couple of years ago would have
been strictly considered alterna-
tive, establishing themselves in
the mainstream markets.
These new "alternative main-
stream" artist, such as Tracey
I hapman, Midnight Oil, and
Ziggy Marley carry progressive
social and political banners which
formerly would not have been
marketable. So what now does it
take to ride the cutting edge?
Independent labels that could
not get larger distributors to talk
to them have become the most
sought after. One of the most suc-
cessful of these labels, Dcf Jam,
has made another "cutting edge"
band popular
They are Public Enemy and this
rap band is stomping around
trying to raise the black under-
class and underprivileged in a
most radical way Mo-onr the
mainstream press hasbeen giving
them a bad rap.
Public Enemy, who supports
black nationalist movement and
wears the garb of military person-
nel has been ruffling some feath-
ers lately. They just finished a
show at New York's Riker's pr-
Ihe attending press were ad-
mittedly there in hopes of cover-
ing a story of riotous behavior.
Public Enemy played to a rela-
tively sedate crowd which had no
See BAND, page 31
Is "A Fish Called Wanda" the
phenomenal comedy that every-
one has made it out to be?
The moving force behind
"Wanda" is the gifted comic John
Cleese, who co-directed and co-
wrote the movie with Charles
Crichton. Cleese is best known
and admired for his work with the
Monty Python troupe and his role
as Basil Fawlty in the British sit-
com "Fawlty Towers" (which its
successful American counterpart,
"Newhart" is based on).
In this movie, Cleese expands
his parameters and shows his
aptitude for making a movie that
is capable of entertaining a gen-
eral audience rather than the cult
following he usually performs
for. So be warned, die-hard Py-
thon fans, this isn't the John Cle-
ese you're used to seeing.
Cleese plays a British barrister
(lawyer) who slowly gets
wrapped up with a gang of jewel
thieves when he handles the mob
leader's case. After this unlikely
crew complete their heist at the
beginning of the movie, the
leader, George, is promptly be-
trayed by the loyal Otto (Kevin
Cline) and Wanda (Jamie Lee
Curtis) and sent to jail, where he
remains throughout. Which is
fine, because he wasn't that funny
anyway.
The other member of the gang.
Ken, played by Michael Palin,
hides the key to the stashed boul-
lion in his fish tank, where he also
keeps his favorite fish, Wanda,
who isof course named for the girl
he admires from afar. Ken is is
devout animal lover, and has a
very bad speech impediment,
unless he's speaking with his ani-
mal friends. These two character-
istics contribute to much suffer-
ing for Ken later on, most of the
torture coming from the self-
styled intellectual, Otto.
The catalyst throughout is the
amoral Wanda, who seems to
sleep with, or at least kiss, every
male in the film to achieve her
ends, the stolen gems. Jamie Lee
Curtis makes a believable hussy,
though her role in the film leaves
something to be desired. But we'll
get back to that.
Now to prepare you for what
you're going to see. People ex-
pecting the offbeat humor of
Monty Python are going to see
something different. So are view-
ers who go in expecting straight-
delivery American style jokes.
What you are going to see is a
compromise between British and
American humor. Charles Crich-
ton, the producer, brings us a
more plot-oriented comedy than
the British are accustomed to, but
with the essence of the dry wit
they are so famous for.
Though it seems like a tedious
drag in between the funny scenes
of the movie, but when they do
come they are hilarious. The two
factors contributing the most to
this are Kevin Chne and John
Cleese.
Cline is amazingly entertaining
as the simpleton thief who fancies
himself an elitist. The funniest
scenes are those where he and
Cleese interact, after Cleese starts
to fall in love with Curtis.
Cline's bumbling attempts to
spy on the two result in hilarity,
and set up Cleese for some prize
reactions. One of the best scenes is
when Cleese's character suavely
enters the living room with
glasses of wine for him and
Wanda, only to find his wife back
at home in her place.
Not to be overlooked is the
comic timing of Michael Palin.
When Wanda tells Ken to forgive
Otto's overbearing ruden ss ts a
result of being beaten by his fa-
ther, Ken's well-timed reply
.good sets the pace for the rest oi
the darker humor that involves
Palin. His attempts to kill an eld-
er lv lady witness throughout the
picture are equally fun. Palm also
deserves an award for having to
sport an ugly perm the movie
required him to have.
Now with all this talent going
for it, why do I say "Wanda tails
short in places? Mainly the reason
would have to be in the structur-
ing of the movie. Though writers
Cleese and Crichton handle most
of the dements well and carry off
the scenes successfully, the mo ie
misses the extra something that
could have made it live up to the
rave reviews the critics ga e it.
Crichton, who directed the ac-
claimed British "Lavender Hill
Gang has some problems here
with the balance and flow of plot
John Cleese's character ol the
barrister is left out of the mo ie tor
too long at first, to the point where
vnu could forget he's in the mo ie
at all, much less the hero ol it The
reason used for Jamie I ee Curtis
to interact with the barrister be-
cause they believe he will find out
where the loot is from George) is
too invented just for the purpose
of bringing in that character.
Curtis, aside from making a
believable Mata Han type.
doesn't add much else to the film.
Though many critics claim that
she just doesn't have a chance to
do much but get upstaged by the
comic talent around her, it seems
to be that her character simply
isn't developed enough It isn't
clear whv Wanda likes who she
does or whv she does except that
she likes to hear men speak Ital-
ian.
See WANDA, page 30





AST
AN
LVICES
PROGRAMS
IS: AUG. 30-SEPT. 2
EPT. 6 - OCT. 13
MG 108
MG 108 (low impact)
MG 108
MG 108 (low impact)
MG 108
MG 108
MG 108
MG 112
MG 108
MG Pool
t per drop-in class:
-1.00 students
.00 facultystaff
sis with presentation of a
chase a drop-in ticket in
srsity
kational Services
Instructor
-Outs
August 26
- 4:00 p.m.
rial Gymnasium
Imonal Gym By Thursday.
1st 25, 5:00 p.m.
Ipr. up for try-out
V yment Application
Procedures Sheet
Info. Call Kathleen Hill
it 757-6387
91.3
I
.t Line:
1-6913
s Open
91.3
i
1st Line:
-6913
s Open
THE EAST CAROLINIAN
AUGUST 23,1988 Page 29
Peculiar, strange case of movie The Blob
After the hideous and gruesome destruction of their town, Brian Flagg (Kevin Dillon) points his pee-
shooter at the villianous Blob. Like the sexist world we live in, Meg Penny stands in the shadows of her
hero as he attempts to kill the antagonist
New restaurant banks on old
formula for fast food success
' i? ? ?it c r
By MIC AH HARRIS
The Blob's rise to popular cul-
ture is a peculiar case. Compared
to other pop culture figures from
the 50s (like Marilyn Monroe) the
Blob is rather nondescript
It shakes a lot (like Marilyn
Monroe) and gobbles people up.
But gobbling up folks was pretty
routine for monsters like the
Deadly Mantis or the Giant Claw
both forgotten now.
Added to the strange case of the
Blob's notoriety is the fact that not
many people today have seen the
original movie, but everyone
clicks with recognition at the mere
mention of the word: "Oh yeah.
The Blob Why has it oozed its
way into our racial conciousness?
Is it simply because no other
monster ever summoned up eve-
rything that is delightfully bad in
grade-B science fiction in just four
letters? The Blob! Notice how it
screams luridly off the page over
there? In case you missed it, here it
is again: The Blob!
Jack H. Harris, producer of the
original, brings his only claim to
fame into the 80s for a new gen-
eration to enjoy. The original pro-
vided a young Steve McQueen
( and a cast of exciting people"
to quote the original promo blurb)
and a slow dollop of Heinz?
ketchup to wow the teen scene.
The remake has a hero who
unfortunately resembles
Aerosmith's lead singer, the
people aren't that exciting and the
slow ketchup is replaced by a
quicksilver jelly roll. The premise
of the remake is basically the
same.
A hungry bit of plasm crashes
into a Maybcrry R.F.Dtype town
where folks drop things in the
middle of the day to attend the
high school ball game. The bad
kids are easily discernable be-
cause they literally hang out and
smoke on the street corners.
Enter the Blob! A heavenly
body (not Marilyn Monroe's)
crashes in the nearby woods,
sporting what looks like a mali-
cious puddle of tomato soup and
Mr. Bubble?. It attatches itself to a
local transient.
Before anything become of the
relationship, the drifter suffers a
destiny similar to someone
stuffed with pizza and Alka-Selt-
zer?. Next thing you know,
there's Blob all over the place.
I have to hand it to the monster.
This Blob really gets around. It
erupts out of sink drains, swims
through sewers and scurries
across ceilings like the unleashed
contents of a lava lamp.
Underneath the murky sto-
ryline, you can be sure there's a
whopping moral. "The Blob" is in
the great tradition of the "Hook"
urban legend like the "Hallow-
een" and "Friday the 13th" mov-
ies. As in those movies, the Blob's
victims tend to be killed while
entertaining thoughts about sex.
"The Blob" makes a more sick-
ening variation on this theme.
This is not a guy in a hockey mask
and an axe. This is a mutated
microorganism who, in the
story's context, is due to
mankind's questionable moral
behavior.
Maybe it's pushing the point to
make this flick into an AIDS alle-
gory. Consider the jerk out park-
ing with his girl who gets de-
voured after his girlfriend body
gets taken over by the Blob, right
See CHARACTERS, page 30
By GREER BOVVEN
Staff Writer
Stembo's, a new restaurant on
Fifth St is banking on an old for-
mula of fast food success.
You see Wilber Hardee, the
owner and manager of Stembo's,
has had a lot experience in the
business, he is the founder of the
Hardees fast food chain. Hardee
said he has always liked the res-
taurant business and prides him-
self on serving good food.
? Stembo's runs seven daily spe-
ISSirf&TTuTSeh af?arSfiffie?rTKe-
hamburger is freshly ground, the
slaw and barbeque are made
daily. Stembo's also serves a new
kind of french fries. Hardee de-
scribes the fries as "a seasoned,
breaded cajon frie that isn't too
spicy
of the Navy 1945. Hardee was a Originally from Greenville,
Chief Petty Officer in the Navy Hardee has four daughters, two
where he served in the South
Pacific.
His first restaurant was the Do
Drop Inn in Winterville. This was
a drive-in that served hot dogs.
Hardee received his nickname,
Stembo, from Jack and Hort
Minges who used to frequent the
Do Drop.
In 1964 Hardee opened the
Little Mint Chain. He began
selling over the counter stockjn Hardee
9m. wmm mt&m m jH?- '
dent of the company in 1973, he
had opened 38 stores.
The first Hardee's was opened
on September 3, 1960 on 14th
street where the Med Care Center
is now. The second Hardees was
of which are also in the restaurant
business. One of his daughters,
Mrs. Charles Smith, runs the
Three Steers restaurant here in
Greenville. One of his other
daughters runs Harolds Res-
turant at Vernon Park Mall in Kin-
ston.
In 1980 Hardees first wife died
and in 1985 he met his wife Helen
who helps him at Stembo's. Helen
"won me to the Lord"
I
said Hardee.
The couple looks forward to the
students business this year.
"Business is already good, but
with the students back, business
should be even better
Stembo's is a small restaurant
I cajon trie mat isn't too ?j ?rur witn a down home atmosphere.
The shrimp are breaded opened in Kocky Mount. Hardee booths and
thP rhirkon and prided himself even then on only With plenty or green Dooms ana
? plants, Stembo's is almost like a
country kitchen. Hardee, and his
wife Helen are there each morn-
ing by 8 am to prepare the food.
TTiey are both there each day
r
?,
there and even
trout are fresh.
Hardee ran the Bcef-n-Shakes
in 1977 tol978 in the very location
Stembo's is now in. But the res
serving the freshest food.
"I would ground fresh beef here
in Greenville, and take to the
Rocky Mount restaurant every-
turant has changed since then and day said Hardee. Hardee left the
for the better. Good food, and a
are
pleasant atmoshpere
Stembo's trade mark.
Hardee has been in the restau-
rant business ever since he got out
Hardee corporation in 1961 after along with the other employees
tak.ng two partners. "nctl! ?f ?j afternoon.
"I 5ot out of the Hardee corpo- Stembo s open from 10:30 am
ration because of circumstances to 1 am for these late munchies
beyond my control said Hardee. and closed on Sunday.
Characters Meg Penny (Shawnee Smith) and her brother Kevin (Michael Kenworthy) try to hide from
the slobby hold of 'The Blob
Python-great Cleese holds 'A
Fish Named Wanda' together
By JEFF PARKER
Staff niusttmtor
Stembo's, a new restaurant on Fifth Street, features daily specials and cajun fries. Wilber Hardee, the
owner, is the originator of the Hardee's fast food chain. (Photo by Thomas Hardy-Photolab)
Bad rap not beating Public Enemy
By STEVE SOMMERS
SUtf Writer
Political activism in music is
reaching a level not seen since the
glorious days of disco, as more
people are buying more diverse
records and in higher quantities
in allowing labels to contract with
more bands.
There are also many bands that
a couple of years ago would have
been strictly considered alterna-
tive, establishing themselves in
the mainstream markets.
These new "alternative main-
stream" artist, such as Tracey
Chapman, Midnight Oil, and
Ziggy Marley carry progressive
social and political banners which
formerly would not have been
marketable. So what now does it
take to ride the cutting edge?
Independent labels that could
not get larger distributors to talk
to them have become the most
sought after. One of the most suc-
cessful of these labels, Def Jam,
has made another "cutting edge"
band popular.
They are Public Enemy and this
rap band is stomping around
trying to raise the black under-
class and underprivileged in a
most radical way. However, the
mainstream presshasbeen giving
them a bad rap.
Public Enemy, who supports
black nationalist movement and
wears the garb of military person-
nel has been ruffling some feath-
ers lately. They just finished a
show at New York's Hiker's pr-
Ibe attending press were ad-
mittedly there in hopes of cover-
ing a story of riotous behavior.
Public Enemy played to a rela-
tively sedate crowd which had no
See BAND, page 31
Is "A Fish Called Wanda" the
phenomenal comedy that every-
one has made it out to be?
The moving force behind
"Wanda" is the gifted comic John
Cleese, who co-directed and co-
wrote the movie with Charles
Crichton. Cleese is best known
and admired for his work with the
Monty Python troupe and his role
as Basil Fawlty in the British sit-
com "Fawlty Towers" (which its
successful American counterpart,
"Newhart" is based on).
In this movie, Cleese expands
his parameters and shows his
aptitude for making a movie that
is capable of entertaining a gen-
eral audience rather than the cult
following he usually performs
for. So be warned, die-hard Py-
thon fans, this isn't the John Cle-
ese you're used to seeing.
Cleese plays a British barrister
(lawyer) who slowly gets
wrapped up with a gang of jewel
thieves when he handles the mob
leader's case. After this unlikely
crew complete their heist at the
beginning of the movie, the
leader, George, is promptly be-
trayed by the loyal Otto (Kevin
dine) and Wanda (Jamie Lee
Curtis) and sent to jail, where he
remains throughout. Which is
fine, because he wasn't that funny
anyway.
The other member of the gang,
Ken, played by Michael Palin,
hides the key to the stashed boul-
lion in his fish tank, where he also
keeps his favorite fish, Wanda,
who is of course named for the girl
he admires from afar. Ken is is
devout animal lover, and has a
very bad speech impediment
unless he's speaking with his ani-
mal friends. These two character-
istics contribute to much suffer-
ing for Ken later on, most of the
torture coming from the self-
styled intellectual, Otto.
The catalyst throughout is the
amoral Wanda, who seems to
sleep with, or at least kiss, every
male in the film to achieve her
ends, the stolen gems. Jamie Lee
Curtis makes a believable hussy,
though her role in the film leaves
something to be desired. But we'll
get back to that.
Now to prepare you for what
you're going to see. People ex-
pecting the offbeat humor of
Monty Python are going to see
something different So are view-
ers who go in expecting straight-
delivery American style jokes.
What you are going to see is a
compromise between British and
American humor. Charles Crich-
ton, the producer, brings us a
more plot-oriented comedy than
the British are accustomed to, but
with the essence of the dry wit
they are so famous for.
Though it seems like a tedious
drag in between the funny scenes
of the movie, but when they do
come they are hilarious. The two
factors contributing the most to
this are Kevin Qine and John
Cleese.
Qine is amazingly entertaining
as the simpleton thief who fancies
himself an elitist The funniest
scenes are those where he and
Geese interact, after Cleese starts
to fall in love with Curtis.
Cline's bumbling attempts to
spy on the two result in hilarity,
and set up Cleese for some prize
reactions. One of the best scenes is
when Qeese's character suavely
enters the living room with
glasses of wine for him and
Wanda, only to find his wife back
at home in her place.
Not to be overlooked is the
comic timing of Michael Palin.
When Wanda tells Ken to forgive
Otto's overbearing rudeness as a
result of being beaten by his fa-
ther, Ken's well-timed reply, .
.good sets the pace for the rest of
the darker humor that involves
Palin. His attempts to kill an eld-
erly lady witness throughout the
picture are equally fun. Palin also
deserves an award for having to
sport an ugly perm the movie
required him to have.
Now with all this talent going
for it, why do I say "Wanda" falls
short in places? Mainly the reason
would have to be in the structur-
ing of the movie. Though writers
Cleese and Crichton handle most
of the elements well and carry off
the scenes successfully, the movie
misses the extra something that
could have made it live up to the
rave reviews the critics gave it.
Crichton, who directed the ac-
claimed British "Lavender Hill
Gang has some problems here
with the balance and flow of plot.
John Cleese's character of the
barrister is left out of the movie for
too long at first, to the point where
you could forget he's in the movie
at all, much less the hero of it. The
reason used for Jamie Lee Curtis
to interact with the barrister (be-
cause they believe he will find out
where the loot is from George) is
too invented just for the purpose
of bringing in that character.
Curtis, aside from making a
believable Mata Hari type,
doesn't add much else to the film.
Though many critics claim that
she just doesn't have a chance to
do much but get upstaged by the
comic talent around her, it seems
to be that her character simply
isn't developed enough. It isn't
clear why Wanda likes who she
does or why she does except that
she likes to hear men speak Ital-
ian.
See WANDA, page 30





30
THE EAST CAROLINIAN
AUGUST 23,1988
1988 FALL SEMESTER FILMS
HENDRIX THEATER
August 24
August 25-28
August 31
September 7
September 8-11
September 14
September 15-18
September 16-17
September 21
September 22-25
September 28
(Late Show)
Double Feature:
Double Feature:
September 29-October 2
October 5 Double Feature:
: October 6-9
October 7-8
October 12
October 19
October 20-23
October 26
October 27-30
October 30
November 2
November 3-6
November 9
November 10-13
November 16
November 17-20
November 30
December 1-4
December 2-3
December 7
December 8-11
(Late Show)
Horror Movie Lock-In:
Double Feature:
(Late Show)
THE STEP FATHER
SCHOOL DAZE
NUTS
MATEWAN
GOOD MORNING VIETNAM
FRANTIC
MOONSTRUCK
DR. STRANGELOVE
JEAN DE FLORETTE
MANON OF THE SPRING
BROADCAST NEWS
LIFE OF BRIAN
MEANING OF LIFE
FATAL ATTRACTION
SAMMY & ROSIE GET LAID
PATTI ROCKS
TBA
PINK FLOYD THE WALL
REPULSION
THE GLASS MENAGERIE
D.O.A.
CRY FREEDOM
SERPENT & THE RAINB , J
CARRIE
THE OMEN
TEXAS CHAINSAW MASSACRE
UNBEARABLE LIGHTNESS OF BEING
TBA
THE DEAD
THE LAST EMPEROR
ONE FLEW OVER THE CUCKOO'S NEST
CHINATOWN
IRONWEED
HOPE & GLORY
TBA
HAIRSPRAY
JULIA & JULIA
MASQUERADE
To be announced
'Wanda' lacks
quick humor
Continued from page 29
r? What the tjfcture rwHytteeds
isrsome more of the snappy ma- -
ichine-gun humor that the early
Monty Python shows had. Not
that it needed more offbeat hu-
mor, it just needed the pace
picked up a bit to keep it from
dragging. There were a lot of po-
tentially hilarious scenes that
could have been milked for more
3han they were.
The final scene where Cleese
and Kline confront each other in
3he climax wasn't as satisfying as
-3t could have been. Since Cleese's
nner conflict was trying to break
"Eout of his stuffy, emotionally dead
-British attitude, we wanted to see
him really stick it to the pushy
everbearing Kline more than he
?djd.
Cleese does, however, deserve
3tn award for his impersonation of
"?jjn American redneck in this
?scene, which is the kind of thing I
Relieve the audience wanted
more of from him.
Don't let this listing of the bad
ijparts scare you away from seeing
Ghis, though. The movie is good,
r its just not what the press blew it
?up to be. Go see it, you may feel
totally different about the whole
:Bhing.
M VB-
IMAGINE YOURSELF
?Involved in an active, presitigous student
; Qxgaxiization.
?Having a major leadership role on campus.
?Gaining valuable experience in public rela-
tions.
?Projecting a positive image of ECU.
?Meeting University and community VIP's,
government officials, and alumni leaders.
?Influencing the future of your University
an
ECU AMBASSADOR!
See the Membership Booth in front of the
Student Store - August 22-31
Characters try
to escape 'Blob'
Continued from page 29
after their intimate contact.
And what about this scene: the
whole town is put under quaran-
tine because of alleged "expo-
sure" to the "germ A kid trying
to escape comes under a hail of
bullets and the scream, "We have
an infected civilian trying to make
an escape! Stop him before he
reaches a populated area
'The Blob" touches the same
primal fear in us that the AIDS
virus docs. 'Terror has no shape"
the promo tells us. "You can't
reason with it the commercial
screams. "Nothing can stop it
our weapons are useless are all
tired B-movie cliches of the 50s.
But in the 80s, those cliches and
the shapeless monster who typi-
fies them have a chilling reso-
nance.
ART!
ART
xjl JLV JL ?
East Carolina Coins & Pawn
INSTANT CASH LOANS
?DIAMONDS
?STERLING SILVER
?TELEVISIONS
?GUNS
?JEWELRY
?GUITARS
?COINS
?CAMERAS
? STEREOS
?VCR'S
752-0322
CORNER OF 10TH & DICKINSON
GREENVILLE
Specializing in custom screen
printed sportwear since 1985
UOJO
portsivear
T-SHIRTS ? SWEATSHIRTS ? CAPS ? VISORS
IN HOUSE ART DEPT. - EXCELLENT SERVICE
WE UNDERSTAND DEADLINES AND BUDGETS -
LOW MINIMUMS
LOOK FOR OUR OFFICIALLY LICENSED E.C.U. TIE-DYE
AND "LEAN MEAN PURPLE MACHINE" T-SHIRTS NOW
AVAILABLE AT THE E.C.U. STUDENT STORE AND U.B.E.
1016 MYRTLE AVE.
758-4176
GREENVILLE
An Unbelievable Gallery Of
POSTERS
SSlt K
Clark Gallery has an unbelievable gallery of posters - a vast inventory
of fine art framed posters as well as popular printed posters which will
enhance any room in the dorm or at home
And, of course, we always offer custom framing or do-it-yourself
framing and we carry a large selection of ready made frames in
stock.
Come see the many images available in our exclusive poster gallerv
CLARK
GALLERY
7567454
646 Arlington Arlington
Blvd. Village
BACK-TO-SCHOOL SPECIAL
10
OFF
With this coupon.
On any framed and unframed posters in stock
Coupon Expires September 17, 1988
Greenville's Only All Women's Facility
?Full Line Of
1
Weight
Equipment
Dynamite
Hourly
Aerobic
Whir
Steam
Classes
Get Started For Only $25
756-1592
Hours: 9-9 M-F
Sat. 9-1 (9-5 fallwinter months)
310Plaza Drive (Justoff GreenvilleBlyd)
Obt
By KARL VIS HAM
Featum
College students
one of three tj;
Some are given new
Preludes and the
Others slave h
buy hall dec rtt rid
years and - I ot
stu d .
cruising tmily
few lents
pm ileget
In i
day,
be i:
ettevill ? red t
home ? ?
withtl
Tra ?
phone .
if I had t'r
A t
-
and
GTs
like
wh
Band:
Continued from p
in!
bar.d ?
tar ? -
think t
The - n't
Hype r net
Take A Nat
Hold I
and negative i
ing lyrics like "1
don't need it do we?
loSOph) :
It takes mono) j
and control t : I
whether il is ic lex
Police fi
LONDON '
they recovered
grap ;
Jack : ppej b
denee still doesn't allol
ties to identify the ma
ronzed London a
Nevei - ?
released Thurs
fill in 1 ?t -
a chill ?
script ? Ired -
the Ripper a
The Ripp rs 1
prostitutes ? pr?.
murderer - kn fe tn
East End of Lor
week p ninnj
sn Most were
ST
Fresh
Lunch: Monday!
Dinner: Monday
Dinner: Friday





THE EAST CAROLINIAN
AUGUST 23,1988 31
awn
R
tiling
EENVLLLE
screen
0
iwar
VISORS
error
ation
;da.
the
cent.
ERVICE
DGETS
i
r
iCIAL
n stock
)

Ireenville Blvd.)l
Obtaining the car from Hell
By EARLVIS HAMPTON
Features Editor
College students usually own
one of three types of automobiles.
Some are given new nice cars,
Preludes and the like.
Others slave hot summers to
buv half decent rides aged five
years and so. Still other college
students shame themselves by
causing in the family bomb. But
tew college students have the
privilege to own the car from Hell.
In an August humidifier of a
day, we (Mom and Me) found our
bearings in the City of Hell (Fay-
etteville) and steered towards the
home of the transplant Yankee
with the perpertual burning Kool.
Transplant Yankee said on the
phone 1 could drive the car home
if 1 had the dough.
Around the City of Hell, we
drove through a montage of
mobile home parks, pawn shops
and sign clutter. We saw fatigued
Gl's driving their jacked up rods
like bats out ofwell you guess
where. At an endless stoplight of
glaring red, 1 wondered why
people called this beautiful city
Faycttcnam.
We finally found Transplant
Yankee's dwelling, it was on a
circle off Dante drive on Dante
circle. Mom thought I was having
cardiac arrest when we first saw
it, when we first saw the car from
Hell.
Before 1 go on, let's back track.
For the last year and eight
months, Earlvis has traveled
through the streets of Greenville
via a red Boss Cruiser. In the fro-
zen blood days of January, he
peddled down 10th street with
only one thought on his mind-
fuck this bike riding crap.
1 know bike riding is good for
your health-hold up, let me fire up
another stoogic- and bikes are
easy to park and easy to maintain,
but bikes arc cold as you guess
where, and even mopedscan pass
you in frost.
So why couldn't Earlvis drive?
you intent readers are probably
asking. Well it started with a
Lynard Skynard tune "Whiskey
bottles and brand new cars, oak
tree you are in my way and it
ended last week when the lady at
the Division of Motor Vehicile
said "Smile
In between, Earlvis wrecked
his Boss Cruiser a total of eight
times (non-intoxicated related),
went through two tires, five
spokes, and a pair of handle bar
huggers. He cursed big uphills,
was honked at by elderly road
mongers, and splatted at by
puddle splashing trucks. While
Earlvis rode the road to humility,
he vowed he would own a car that
even his idol (Elvis) would be
proud of.
Back at Dante Circle, the Trans-
plant Yankee pulled up the hood
and said "Son, they didn't make
them any bigger than this as I
lusted at the 479 cubic inches. I
was speechless as my marblized
eyes stared at gleaming fiery red
body of the car from Hell.
Lighting up yet another Kool,
Transplant Yankee handed me
the keys and commanded 'Tire it
up Once inside, the white inte-
rior was blinding-it was too
white. I slid on my shades so T
could see and accelerated the
mass of hard steel down Dante
Drive.
"Now yours (talking in a Yan-
kee tone like the car was already
mine), yours 1966 Coupe Devilles
have all the joy buttons Trans-
plant said. I had always thought
'joy buttons' had other connota-
tions but I preceeded to flick the
power windows, seats, door locks
any way.
After giving Transplant my entire
life saving plus an outstanding
loan plus money begged, Mom
and me drove to the License Plate
Bureau. The lady behind the
counter asked for all the regular
info.
"A '66 red Caddy, why would a
guy your age want a car that big?"
the counter lady said. I mumbled
something about an oak tree. Be-
fore she handled the freshly
pressed plate, she said "I hope
you are not superstitious?" I
asked why and she said "Because
your plate number is DVL-666
Welcome Back E.C.U
Come By and see us for
Housewares
Vitamins
Eye Care
School Supplies
Health and Beauty Aids
Film
Over 12 Merchandise 60
Below Competitors!
THE WHOLESALE
OUTLET
South Park Shopping Center (Next to The Spa)
Store Hours M-F 9-8
sat 9 6 756-8692
Band: Don't listen to hype
Continued from page 29
intentions to spur to violence. The
band feels they are in some re-
gards being misjudeged and they
think they understand why.
The single "Don't Believe The
Hype" from their new album "It
Takes A Nation of Millions to
Hold Us Back" is all about false
and negative media attention us-
ing lyrics like "False media, we
don't need it do we?" Their phi-
losephv roughly goes as follows.
It takes money establishment
and control to put out the media
whether it is television, radio, or
print. These media devices are at
the control of whoever is paying
for, mainly the advertizers like
Coke and Pepsi. These companies
enjoy maintained cheap labor
thus poor people play their role of
increasing.
Through all of this, a band
comes along in efforts to unite
blacks by saying love is better
than death. Public Enemy does
this and the mainstream print trys
to label them violent and rebel-
lious. Public Enemy tells "Don't
believe the hype
If this all sounds subversive, it
should. The band talks in support
of legendary outlaws like Marcus
Garvey, Malcom X, and Nelson
Mandela.
Being on Def Jam has given
Public Enemcy extra kick. Rich
Rubin, the producer of "Nation Of
Millions is known as the king of
rebel rock. He's done work with
Run DMC and The Beastie Boys.
Like those bands, Public Enemy
has a metal sound to their rap
catapulting the band up the charts
reaching a crossover audience of
metal heads as well as tradtional
rap audiences.
Police find photos of Jack the Ripper
LONDON (AP) ? Police said
(hey recovered lost-long photo-
graphs and documents from the
Jack the Ripper file, but the evi-
dence still doesn't allow authori-
ties to identify the man who ter-
rorized London a century ago.
Nevertheless, the documents
released Thursday have helped
fill in historical gaps and included
a chilling letter, written in neat
script and red ink, said to be from
the Ripper, according to police.
The Ripper's five victims, all
prostitutes, fell prey to the
murderer's knife in the seamy
East End of London during a nine-
week period begninng Aug. 31,
1888. Most were disemboweled
and mutilated.
"We're quite pleased that they
are in our possession now Met-
ropolitan Police Deputy Cammisr
sioner John Dellow said of the
photos and documents. "We can't
say at this stage where or how
they became detached or where
they've been since, but they are of
some interest to us.
"I keep hearing the police have
caught me but they won't fix me
just yet. I have laughed when they
look so clever and talk about
being on the right track it said.
"Grand work the last job was. I
gave the lady no time to squeal.
How can they catch me I love my
work and want to again. You will
soon hear of me with my funny
little games
Dellow said part of the evi-
dences set of post-mortem pho-
tographs of the Ripper's victims,
was given to police last year by the
family of a deceased policeman. It
was not known how they came
into his possession, he said.
Besidcd the Ripper letter,
whose contents have been
known, the evnelope cantained
the announccmnt of a pardon for
anyone with knowledge of the
Ripper; original post-mortem
notes on the last victim, Marv
Kelly, and documents about an
1889 crime thought possibly to
have been the work of the Ripper.
ghbenU '?
Brady's Has Great
Styles And Great
Prices On
BACKPACKS!
Carolina East Mall'The Plaza
Welcome Back ECU!
STUDENT SPECIALS
Every Mori Tues
& Wed. Evening
All ABC Permits
Fresh Seafood Selections Daily
Lunch: Monday-Friday 11:30-2:00
Dinner: Monday-Thursday 5:30-9:30
Dinner: Friday & Saturday 5:30-10:00
Telephone
752-7566
706 South Evans Street
Get EXCITED,
read
THE BONER
?ast Carolinian.
'ride
lotivatiorr,
ixperience,
riends.
Apply today.
Welcome Back ECU
University
Exxon
Oil Change and Lube Job
$19.95 All Cars
except some diesels
Located on Fifth Street
Across From E.C.U.
Hours: 7 a.m. - 9 p.m.
MonSat.
EON
24 Hours Wrecker: 830-01541
752-013S!
752-6834'

v T K
v-
SLEEPI0ITH1
Pillow Soft
15 Yr. Warranty
?7 '2S
Ea Pc
Twin S :?
?349"
;n
Basic Style
Starts At
Wafrheds On Sale!
Bookcase
Any Siit
?itr
e-
M
Large Bookcase
With Mirror
Any Size
V?
Sort Side Bed
Tuoe Style
????
DAY BEDS ? DAY BEDS ? DAY BEOS ? DAY BEDS j DAY BEDS ? DAY BEDS ? DAY BEOS ? DAY BEDS j DAY BEOS j DAY BEDS j 0AJYBEtt5
Wooden Style:
198
White Iron Brass Style
?0
Deluxe White Iron
lX $
FRAME uJtKWMNG INCLUDED ? LARGE SELECTION Of DAY BID COVERS j ? U UMTS ONI ??S ?S
Bras- ieadboards
?39"
?49"
?lO1
lueen JTF
Brass Beds
White Iron Headboards White Iron Beds
:$199c$249,s
Any Si? . a i ? "??-?' ?? aaaaa?ea
499'
Many Style ?THr
Com. ?t ?l
Ouee? ?et ?s
2x4 Bunk Beds
$
Bookcase Bunk Beds
$178
1 PC FOAM BUNK IE S MATTRESS i9 9i ' INNCRSWtWO OWtYJ?JL
Crew Quarters
WChest
'288
FACTORY MATTRESS & WATERBED OUTLET
355-2626
90 Days Cash
355-2626
.?QW?vV.
90 DAY i?'?WA
Financing
(Delivery
eaTi





1
THE EAST CAROLINIAN
AUGUST 23,1988 3t
'awn
IDVER
IS
;enville
tn
m
:ustom screen
Mr since 1985
0
sweat
VISORS
lERVICE
IDGETS -
). TIE-DYE
:ts now
MDU.B.E.
GREENVILLE
'entory
nch will
irs ?
lines in
gallery
:cial
irs in stock
1988
Obtaining the car from Hell
By EARL VIS HAMPTON
Features Editor
College students usually own
one of three types of automobiles.
Some are given new nice cars,
Preludes and the like.
Others slave hot summers to
buy half decent rides aged five
years and so. Still other college
students shame themselves by
cruising in the family bomb. But
few college students have the
privilege to own the car from Hell.
In an August humidifier of a
day, we (Mom and Me) found our
bearings in the City of Hell (Fay-
etteville) and steered towards the
home of the transplant Yankee
with the pcrpertual burning Kool.
Transplant Yankee said on the
phone I could drive the car home
if I had the dough.
Around the City of Hell, we
drove through a montage of
mobile home parks, pawn shops
and sign clutter. We saw fatigued
GI's driving their jacked up rods
like bats out ofwell you guess
where. At an endless stoplight of
glaring red, I wondered why
people called this beautiful city
Faycttenam.
We finally found Transplant
Yankee's dwelling, it was on a
circle off Dante drive on Dante
circle. Mom thought I was having
cardiac arrest when we first saw
it, when we first saw the car from
Hell.
Before I go on, let's back track.
For the last year and eight
months, Earlvis has traveled
through the streets of Greenville
via a red Boss Cruiser. In the fro-
zen blood days of January, he
peddled down 10th street with
only one thought on his mind-
fuck this bike riding crap.
1 know bike riding is good for
your heal th-hold up, let me fire up
another stoogie- and bikes are
easy to park and easy to maintain,
but bikes arc cold as you guess
where, and even mopeds can pass
you in frost.
So why couldn't Earlvis drive?
you intent readers are probably
asking. Well it started with a
Lynard Skynard tune "Whiskey
bottles and brand new cars, oak
tree you are in my way and it
ended last week when the lady at
the Division of Motor Vehicile
said "Smile
In between, Earlvis wrecked
his Boss Cruiser a total of eight
times (non-intoxicated related),
went through two tires, five
spokes, and a pair of handle bar
huggers. He cursed big uphills,
was honked at by elderly road
mongers, and splatted at by
puddle splashing trucks. While
Earlvis rode the road to humility,
he vowed he would own a car that
even his idol (Elvis) would be
proud of.
Back at Dante Circle, the Trans-
plant Yankee pulled up the hood
and said "Son, they didn't make
them any bigger than this as I
lusted at the 479 cubic inches. I
was speechless as my marblized
eyes stared at gleaming fiery red
body of the car from Hell.
Lighting up yet another Kool,
Transplant Yankee handed me
the keys and commanded 'Tire it
up Once inside, the white inte-
rior was blinding-it was too
white. I slid on my shades so T
could see and accelerated the
mass of hard steel down Dante
Drive.
"Now yours (talking in a Yan-
kee tone like the car was already
mine), yours 1966 Coupe Devilles
have all the joy buttons Trans-
plant said. I nad always thought
'joy buttons' had other connota-
tions but I preceeded to flick the
power windows, seats, door locks
any way.
After giving Transplant my entire
life saving plus an outstanding
loan plus money begged, Mom
and me drove to the License Plate
Bureau. The lady behind the
counter asked for all the regular
info.
"A '66 red Caddy, why would a
guy your age want a car that big?"
the counter lady said. I mumbled
something about an oak tree. Be-
fore she handled the freshly
pressed plate, she said "I hope
you are not superstitious?" I
asked why and she said "Because
your plate number is DVL-666
Welcome Back E.C.U.
Come by and see us for
Housewares
Vitamins
Eye Care
School Supplies
Health and Beauty Aids
Film
Over 12 Merchandise 60
Below Competitors!
THE WHOLESALE
OUTLET
South Park Shopping Center (Next to The Spa)
Store Hours M-F 9-8 ,
sat. 9-6 756-8692
Band: Don't listen to hype
Continued from page 29
intentions to spur to violence. The
band feels they are in some re-
gards being misjudeged and they
think they understand why.
The single "Don't Believe The
Hype" from their new album "It
Takes A Nation of Millions to
Hold Us Back" is all about false
and negative media attention us-
ing lyrics like "False media, we
don't need it do we?" Their phi-
losophy roughly goes as follows.
It takes money establishment
and control to put out the media
whether it is television, radio, or
print. These media devices are at
the control of whoever is paying
for, mainly the advertizers like
Coke and Pepsi. These companies
enjoy maintained cheap labor
thus poor people play their role of
increasing.
Through all of this, a band
comes along in efforts to unite
blacks by saying love is better
than death. Public Enemy does
this and the mainstream print trys
to label them violent and rebel-
lious. Public Enemy tells "Don't
believe the hype
If this all sounds subversive, it
should. The band talks in support
of legendary outlaws like Marcus
Garvey, Malcom X, and Nelson
Mandela.
Being on Def Jam has given
Public Enemey extra kick. Rich
Rubin, the producer of "Nation Of
Millions is known as the king of
rebel rock. He's done work with
Run DMC and The Beastie Boys.
Like those bands, Public Enemy
has a metal sound to their rap
catapulting the band up the charts
reaching a crossover audience of
metal heads as well as tradtional
rap audiences.
Get EXCITED,
read
THE BONER
Welcome Back ECU
University
Exxon
Oil Change and Lube Job
$19.95 All Cars
???
Police find photos of Jack the Ripper
soon hear of me with my funny
LONDON (AP) ? Police said
(hey recovered lost-long photo-
graphs and documents from the
jack the Ripper fUe, but the evi-
dence still doesn't allow authori-
ties to identify the man who ter-
rorized London a century ago.
Nevertheless, the documents
and mutilated.
"We're quite pleased that they little games
are in our possession now Met- Dcllow said part of the evi-
ropoIUan Police Deputy: Commit. denceASfiUkLpost-mortcmpho-
sioner John Dcllow said of the tographs of the Ripper's victims,
photos and documents. "Wecan't was given to police last year by the
say at this stage where or how familyofadeceasedpoliceman.lt
they became detached or where was not known how they came
-?nediesels
Fifth Street
m E.C.U.
i. - 9 p.m.
-Sat.
: Hours Wrecker: 830-0154!
752-0138
752-6834
Nevertheless, the documents they became detached or wnere was not Known now ?y ??? . . .
released Thursday have helped they've been since, but they are of into his possession, he said. ? ?? kX ?
fill in historical gaps and included some interest to us. Besided the Ripper letter, ?sXfA i a
some interest to us. Besided the Ripper letter,
I keep hearing the police have whose contents have been
caught me but they won't fix me known, the evnelope cantained
just yet. I have laughed when they the announccmnt of a pardon for
look so clever and talk about anyone with knowledge of the
being on the right track it said. Ripper; original post-mortem
"Grand work the last job was. I notes on the last victim, Marv
East End of London duringanino- gave the lady no time to squeal. Kelly, and documents about an
week period begninng Aug. 31, How can they catch me I love my 1889 crime thought possibly to
1888. Most were disemboweled work and want to again. You will have been the work of the Ripper
fill in historical gaps and included
a chilling letter, written in neat
script and red ink, said to be from
the Ripper, according to police.
The Ripper's five victims, all
prostitutes, fell prey to the
murderer's knife in the seamy
Brady's Has Great
Styles And Great
Prices On
BACKPACKS!
Carolina East Mall?The Plaza
Welcome Back ECU 9
STUDENT SPECIALS
Every Mori Tues
& Wed. Evening
Basic StyM
Starts At
f79 -
ta K
Tw? tea ?J 344
w?trhcds On Sale!
Larva Soekcaaa
With Mirror
Any Sin
SoflStOaSad
TaeaStyta
? ?m o
All ABC Permits
Fresh Seafood Selections Daily
f DAY BEDS ' DAY BEDS ! DAY BEOS j DAY BEDS j DAY BEOS' DAY BIOS j DAY SB j DAY 1CDS ' DAY UPS j DAY BEOS ? 0AY
, D?lux? WhM? Iron Wooden Styl
White Iron Brass Style w
$88 liN$118 38L
? FRAME a LjSBlUHG .NCLUOEO ? LARGE SELECT. Of DAY KC COVEM ? ?Q? U UTS ONLY 7S tS
Bras- leadboards Brass Beds WhHe Iron Headboards White Iron Beds E
Ml- s:
$198 ?3$198
4991
an
2x4 Bunk Beds
Bookcase Bunk Beds
$178
1 EC. FOAM BMNKIKt MATTHEW Mt.jt ' MaWMIO OWLYjjjJt
M
Crew Quarters
WChest
288
FACTORY MATTRESS & WATERBED OUTLET
355-2626
355-2626
ireenville Blvd.)!
Lunch: Monday-Friday 11:30-2:00
Dinner: Monday-Thursday 5:30-9:30
Dinner: Friday & Saturday 5:30-10:00
and Seafood
Telephone
752-7566
706 South Evans Street
?KMM,
40 Days Cash t "j4'
??- , v"V a-?arr H- ,
it?i?VVV?.
?'?vtr V
?yr
a m





)
32
THE EAST CAROLINIAN
AUGUST 23,1988
Mini skirt no longer vogue
PARIS (AP) ? The winds of
change are shifting fast in French
fashion. Having barely coaxed
women into knee-baring minis,
several important designers did
an about-face to long skirts in
winter ready-to-wear collections.
The different lengths shown
give a wealth of options to women
who choose to bare or hide their
legs.
In the crowd still showing
knees are influential creators Yves
Saint Laurent, Valentino, and
Christian Lacroix.
But saying he's tired of minis,
Karl Lagerfeld; showed some
nearly ankle-length skirts in his
won collection. His skirts for
Chanel were both short and long.
Vohji Yamamoto'sa somber
looks were all long. But many
others, including Rykeil, Kenzo
and Ungaro, offered the short-
long option.
Trousers are back in a big way,
another boon to women who have
never given them up for city wear,
no matter what Paris has decreed
lately.
Claude Montana featured
nearly all slim pants, and only a
few ankle-length skirts, in his
sharp collection. The "clothes
sculptor" outlined his handsome
jackets with enormous funnels or
big collars turned down to eclipse
the shoulder, the waist looking
tiny over trupmet-shaped jacket
hems.
Other pants ranged from gray
flannel and straight with pleats
from the waist, as at Scherrer,
Saint Laurent and Cerruti. At
Chanel they appeared full, as
"pant-skirts At Ungaro they
were slightly draped.
Besides these developments,
there's a big range of silhouettes,
although a note of sobriety has
crept in. In a competitive market
characterized by a shaky and
lower dollar, designers are aim-
ing to sell to a more cautious con-
sumer, looking for wearability
rather than gags in their clothes.
Ovcrpadded shoulders arc out.
Belted or bocy coats were topped
with big collars or wraps, hand-
some in dazzling colors at
Lacroix. Ankle or knee-length
princess or redingote styles swept
down the runways, as did tent-
like greatcoats, capes and caped
shoulders.
Suits came back in force, silhou-
ettes lean and sophisticated, or
full-skirted for ingenues. Jacket
options were often fine for adven-
tuours businesswomen who like
to dress with style, in everything
from lively boleros to sharply-
pointed spencers. Saint Laurent's
stunning classics were fronted
with geometric or cubist patch-
work effects.
Christian Lacroix topped his
high-waisted checked suit with a
cropped V-neck bolero. Lagerfeld
opted for pencil-slim very long
jackets for his won and the Chanel
colleciton, along with good short
jacktcs at the latter. Another easy
topper is a wrapped surplice
blouse or sweater.
The new quite looks featured
plenty of easy lines in jersey.
There were belted bicolored tunic
outfits at Saint Laurent, layers of
flowing A-line jerseys at Issey
Miyake. Even fashion's former
"bad boy" Gaultier went into eas-
ily fluid clothes, leaving behind
his weird padded corset-looks.
Ungaro varied his complicated,
waist-cinched puff-sleeved looks
with a big line of flowered baby
doll flyaway dresses in light fab-
rics, which should please the full-
figured woman. He also brought
back the chemise, shaped mainly
by a low knotted drape in back.
Daytime fabrics featured bright
windowpane plaids, gray or
black and white checks, chevrons,
tweeds and pinstripes. Dressier
were the flowered light wool fab-
rics at Lanvin and Ungaro. Pais-
leys looked lovely in the new
suits, as did tapestries or Oriental-
rug motifs at Lacroix.
For evenings, most party girls
were dressed up in "ooh-la-la"
sexy styles. But here again, sim-
pler clothes were offered along
with the fancy.
Body-hugging little black suits
and dresses were dolled up in all
sorts of ways ? chandelier crys-
tals at Saint Laurent, billiard balls,
silver nails or pearly hearts at
Patrick Kelly; sequins, lace, bows
and rhincstoncs nearly every-
where.
Smooth satin slithered out
nearly everwhere, dazzling short
dinner suits at Dior, with belted
tunic or cardigan-topped pajama
suits another choice. The flightier
nightlife wear was often topped
by fluffy marabou or ostrich-
feather jackets, though some
rooster feathers popped up as
well.
Less elaborate evening choices
were some strikingly simple at-
home or dinner outfits. They were
great at Chanel is a drape-fronted
ivory crepe number topped by a
long cable-knoit cardigan and
pearls. Also elegant were
Langerfeld's velvet and satin
"medieval" gowns with very high
waists to emphasize the decolle-
tage.
Accessories were oxfords or
pumps ? depending on how
sporty or dressy the clothes were
? invariable worn with dark or
colored tights. There were also a
few bootees and suede hip boots
with the minis.
Male baby boomers experiment with fashion
NEW YORK (AP) ? Maturing
baby boomers are changing the
rules for mcnswear as they look
for clothes somewhere between
jeans and T-shirt and the pinstripe
suit.
" Most of the younger guys who
are working grew up on MTV and
rock 'n' roll said award-winning
designer Bill Robinson, whose
label is starting its third year.
This generation, he says, is
"breaking down barriers of how
and where you wear things
The emrx?rrmentatiort is evi-
dent in clothes shown for fall.
The look includes round, softer
shoulders on sportcoats; high-
waisted sweaters meant to be
tucked in; mock turtlcnecks to be
worn under vests; buttery "an-
tique leathers" and suedes.
Browns, grays and blacks are
popular, but some designers are
throwing in reds, yellows and
what one called "vegetable col-
ors
"I think men are ready to wear
color said Ronaldus Shamask, a
relative newcomer to menswear
whose minimalistic designs in
such shades as mustard, teal and
wine have won acclaim. "Men are
becoming much more comfort-
able with experimenting
The classic Polo line by Ralph
Lauren, who's been designing
mcnswear for more than 20 years,
is trying out American Indian
styles, suede shirts and "antique
ski and expedition clothing
Even the business suit is "loos-
ing up said Tom Julian, associ-
ate fashion director of the Men's
Fashion Association. "Men are
more aware (of fashion) today
Jack Herschlag,executivcdirec-
tor of the National Association of
Men's SportswearBuyers say?
suits are appearing in a variety of
silhouettes this fall and even the
double-breasted suit will attempt
a comeback.
Men are moving away from the
investment-dressing era and into
a stage of experimentation, Her-
schlag says.
He and others in the field attrib-
ute the development partly to the
influence of movies and TV
shows like "thirtysomcthing"
and "L.A. Law" that feature
smartly dressed young profes-
sionals.
That's not to say the new looks
are for everyone. The conserva-
tive business suit is not dead yet.
For Both
Don't
Just
Buy
Clothes
Reward
Yourself
With A Clothing
Experience
Men's Clothing
includes:
Tommy Hilfiger
Claiborne
Union Bay
B.D. Baggies
Quicksilver
Generra
Duckheads
Capture Us At The Plaza
756-3483 - -
Id hear:
ake for
HOLLYWOOD, Fla. (APJ
?eople touring Fred Hunter's!
iirical museum can't get deatj
tcir minds.
Old-time embalming tools
i ward- winning 1917 Ford Mc
hearse that once doubled a
mbulance, intricately wo
reaths of human hair an
,500-pound glass casket
ame of the memorabih.
lorida's first funeral muse
mc of just a few in the Ui
itates.
If we can teach a little
itudent, and help families unl
,tand the history, that d I
latural this helps them unj
itand there's a heritage I
?rocess. The whole funeral pi
'ss is a part of growing, of lei
;o said Hunter, presiden
National Si loeted Mortici
A third-generation fun I
?ector, antique enthusiast HuJ
inherited some displays fi
Father and grand fa tl -
iuying a large col) nin lj
there no Ion j i
to show them off at hi
he museum op nod last
icxt to Hunter's funeral 1
icre.
The 1,200 visitors have
luded bereaved family!
riends, out-of-town tour
tudents from local high sch
r community colleg
A lot oi times, p
icre will see the museum
open it tor them. It answers a !
questions said Steve
grief counselor at Hunt( -
Learning funeral hist
good way to brace for the tut
said Roberta Halporn, dirc(
the Brooklyn-baed Center
Thanatology Research ai I
cation, a non-profit . -
studies dying, death and gij
ing.
"This is a death-dening .
So when it happens, the paij
almost double. People wit I
experience tend to want to elf
nate everything ? no funeral,
each part oi the ntual ha- j
cance she said.
"When these rituals ar. I
Welcome Back Students
p'ace for The OcsX
.
Multi-Position Lounger
$7.50
20"
Breeze Box Fan
$18.88
Milk Crates
$3.97
?
Pitt Plaza
Bed Rest "Husband"
$16.97
Stan ton Square
(Located Near the Hospital)
I





1
THE EAST CAROLINIAN
AUGUST 23, 1988 33
ts
:l
o:

ng
Q
e
Plaza
-i.
S
-1
-
if
19
?7
itU
;iv.
?ij
?v
SI

it;
2!
If,

k
7
o
Old hearses, embalming utensils
make for one morbid museum
1IOLLYWOOD, Fla. (AP) ?
i pie touring Fred Hunter's his-
itcal museum can't get death off
icir minds.
Old-time embalming tools, an
a ard-winning 1917 Ford Model-
hoarse that once doubled as an
balance, intricately woven
oaths of human hair and a
M pound glass casket are
me of the memorabilia in
rida's first funeral museum,
no of just a few in the United
States.
It we can teach a little to a
dent, and help families under-
bid the history, that death is
ttural this helps them under-
tand there's a heritage to this
oss. The whole funeral proc-
5 is a part of growing, of letting
said Hunter, president of
itional Selected Morticians.
third-generation funeral di-
i tor, antique enthusiast Hunter
nherited some displays from his
father and grandfather. After
ng a large collection in 1986,
re no longer was enough space
-how them off at his business.
? museum opened last year
t to Hunter's funeral home
re.
The 1,200 visitors have in-
hided bereaved family or
ends, out-of-town tourists and
.dents from local high schools
ommunity colleges.
A lot of times, people sitting
will see the museum we'll
pen it for them. It answers a lot of
ucstions said Steve Plescia,
net counselor at Hunter's.
1 earning funeral history is a
d way to brace for the future,
iid Roberta Halporn, director of
Brooklyn-based Center for
tnatology Research and Edu-
ation, a non-profit group that
.lies dying, death and gricv-
"This is a death-dening culture.
So when it happens, the pain is
almost double. People without
experience tend to want to elimi-
nate everything? no funeral. But
each part of the ritual has signifi-
cance she said.
"When these rituals are estab-
lished and practiced, it starts the
bereavement process going in a
healthy way said Halporn,
whose group displays gravestone
rubbings and photographs of
tombstones.
For Hunter, the museum re-
flects American culture.
"The way funerals changed
mirrors the way families
changed he said.
Around 1900, funerals were still
family reunions. Morticians vis-
ited homes to prepare the body,
often laid out in parlors, and built
made-to-measure coffins.
"On the day of the funeral, he
would come again with his coffin
and put the body in it and go to the
church Hunter said. But as
people moved to cities, wakes
moved out of houses and funeral
homes were born.
Symbols of grief and tools of the
trade have also changed.
For example, old-fashioned
coffins were tapered on the ends,
and their inner metal liners were
soldered. Caskets are not tapered
and now have self-sealing rubber
gaskets. And as embalming be-
came the norm, ice-cooled caskets
with glass windows over the
body's iicc became obsolete.
During the Victorian Era,
wreaths were fashioned from tiny
braids of hair, generally that of the
deceased, and a family might spin
a huge multi-hucd wreath over
several generations. Or the
deceased's hair might be made
into broockes given away as fu-
neral souvenirs.
Another change is that hearses
no longer double as ambulances.
That ended with regulations that
ambulances be painted white,
hardlv appropriate for a hearse,
said Hunter, stroking his gleam-
ing black Model-T, which won
first prize ? as an ambulance ? at
the Antique Automotive Club of
America's 1982 show.
Displayed nearby is a restored
1932 hearse built for the first fu-
neral home in the United States,
Kirk & Nice Fncral Home of Phila-
delphia.
Not all industry innovations
caught on, like the solid-glass
casket touted as everlasting.
"You take the 1,500 pounds and
add another 175 pounds and we
put that in a Model-T hearse and
you've just flattened the tires
said Hunter. "It's like one giant
Coke bottle
Besides Halporn's collection,
other funeral museums around
the nation include a small display
owned by T.J. Beggs ands Sons
Funeral Home of Madison, near
Tallahassee, and a traveling mu-
seum run by the Illinois Funeral
Director's Association of Spring-
field.
Hunter believes his is the most
varied. His museum here also
houses a mini-library of 1900-era
anatomy books for student morti-
cians, advertisements, yellowing
bills and complete issues of trade
journal "The Casket da ting back
to 1892.
A 1903 ad for the Frigid Huid
Co. claims its embalming prod-
ucts helped a widow whose hus-
band would never pose for a
photograph. But the widow got
the last word when her embalmed
spouse was posed with her for a
picture, the ad said.
Changing industry is even re-
flected in old bills. A Long Island
family's 1890 bill of $174 included
$10 for ice and $36 for a six-house-
drawn hearse.
Hunter sees industry changes
ahead, such as more cremations,
people paying for funerals in
advance and the terminally ill
opting to die in their own beds
instead of in hospitals.
"The death pattern is chang-
ing he said. "We go to homes
more often that we did five years
ago
GIVE
BLOOD,
PLEASE.
ATTIC
8th Animal llKO
Togo Party
with
Band
of Oz
and
180 Proof
AT THE
ATTIC
209 E. 5TH ST. DOWNTOWN
7 P.M. - UNTIL
$4.00 IN ADVANCE $5.00 AT THE DOOR
1CKETS ON SALE IN FRONT OF THE STUDENT
STORE MON. - THURS.
BUDWEISER PRESENTS
i'
Tickets
$4:00 In Advance
$5:00 At the Door
luare
the Hospital)
209 East 5th street Downtown
7p.m. Until
Thursday August 25
TICKETS ON SALE IN FRONT OF THE STUDENT STORE MON-THURS






THE EAST CAROLINIAN
AUGUST 23.1988 33
i
ing
e
ng
i
ger
e
Plaza
4
S
i
i
Old hearses, embalming utensils
make for one morbid museum
HOLLYWOOD, Fla. (AP) ?
People touring Fred Hunter's his-
torical museum can't get death off
their minds.
Old-time embalming tools, an
award-winning 1917Ford Model-
T hearse that once doubled as an
ambulance, intricately woven
wreaths of human hair and a
1,500-pound glass casket are
some of the memorabilia in
Florida's first funeral museum,
one of just a few in the United
States.
"If we can teach a little to a
student, and help families under-
stand the history, that death is
natural this helps them under-
stand there's a heritage to this
process. The whole funeral proc-
ess is a part of growing, of letting
go said Hunter, president of
National Selected Morticians.
A third-generation funeral di-
rector, antique enthusiast Hunter
inherited some displays from his
father and grandfather. After
buying a large collection in 1986,
there no longer was enough space
to show them off at his business.
The museum opened last year
next to Hunter's funeral home
here.
The 1,200 visitors have in-
cluded bereaved family or
friends, out-of-town tourists and
students from local high schools
or community colleges.
"A lot of times, people sitting
here will see the museum we'll
open it for them. It answers a lot of
questions said Steve Plescia,
grief counselor at Hunter's.
Learning funeral history is a
good way to brace for the future,
said Roberta Halporn, director of
the Brooklyn-based Center for
Thanatology Research and Edu-
cation, a non-profit group that
studies dying, death and griev-
ing.
"This is a death-dening culture.
So when it happens, the pain is
almost double. People without
experience tend to want to elimi-
nate everything?no funeral. But
each part of the ritual has signifi-
cance she said.
"When these rituals are estab-
lished and practiced, it starts the
bereavement process going in a
healthy way, said Halporn,
whose group displays gravestone
rubbings and photographs of
tombstones.
For Hunter, the museum re-
flects American culture.
The way funerals changed
mirrors the way families
changed he said.
Around 1900, funerals were still
family reunions. Morticians vis-
ited homes to prepare the body,
often laid out in parlors, and built
made-to-measure coffins.
"On the day of the funeral, he
would come again with his coffin
and put the body in it and go to the
church Hunter said. But as
people moved to cities, wakes
moved out of houses and funeral
homes were born.
Symbols of grief and tools of the
trade have also changed.
For example, old-fashioned
coffins were tapered on the ends,
and their inner metal liners were
soldered. Caskets are not tapered
and now have self-sealing rubber
gaskets. And as embalming be-
came the norm, ice-cooled caskets
with glass windows over the
body's face became obsolete.
During the Victorian Era,
wreaths were fashioned from tiny
braids of hair, generally that of the
deceased, and a family might spin
a huge multi-hued wreath over
several generations. Or the
deceased's hair might be made
into broockes given away as fu-
neral souvenirs.
Another change is that hearses
no longer double as ambulances.
That ended with regulations that
ambulances be painted white,
hardly appropriate for a hearse,
said Hunter, stroking his gleam-
ing black Model-T, which w
first prize?as an ambulance-
the Antique Automotive Club
America's 1982 show.
Displayed nearby is a restored
1932 hearse built for the first fu-
neral home in the United States,
Kirk & Nice Fneral Home of Phila-
delphia.
Not all industry innovations
r-wWW ?
BUDW
caught on, like the solid-glass
casket touted as everlasting.
"You take the 1,500 pounds and
add another 175 pounds and we
put that in a Model-T hearse and
you've just flattened the tires
said Hunter. "It's like one giant
Coke bottle
Besides Halporn's collection,
other funeral museums around
the nation include a small display
owned by T.J. Beggs ands Sons
Funeral Home of Madison, near
Tallahassee, and a traveling mu-
seum run by the Illinois Funeral
Director's Association of Spring-
field.
Hunter believes his is the most
varied. His museum here also
houses a mini-library of 1900-era
anatomy books for student morti-
cians, advertisements, yellowing
bills and complete issues of trade
journal "The Casket dating back
to 1892.
A 1903 ad for the Frigid Fluid
Co. claims its embalming prod-
ucts helped a widow whose hus-
band would never pose for a
photograph. But the widow got
the last word when her embalmed
spouse was posed with her for a
picture, the ad said.
Changing industry is even re-
flected in old bills. A Long Island
family's 1890 bill of $174 included
$10 for ice and $36 for a six-house-
drawn hearse.
Hunter sees industry changes
ahead, such as more cremations,
people paying for funerals in
advance and the terminally ill
opting to die in their own beds
instead of in hospitals.
"The death pattern is chang-
ing he said. "We go to homes
more often that we did five years
ago
ATTIC
8th Annual ITKO
Togo Party
with
Band
of Oz
and
180 Proof

AT THE
ATTIC
209 E. 5TH ST. DOWNTOWN
7 P.M. - UNTIL
N ADVANCE $5.00 AT THE DOOR
N SALE IN FRONT OF THE STUDENT
STORE MON. - THURS.
"? ?
??
ESENTS
?
i
m
m
?
-
A?
I
i
y
i
i
1
Li
i ??
fi
10
T
vr
i&o?
?7
I
5
I
:?
i

luare
the Hospital)
yf-
Tickets
$4:00 In Advance
$5:00 At the Door
209 East 5th street Downtown
7p.m. Until
Thursday August 25
TICKETS ON SALE IN FRONT OF THE STUDENT STORE MON-THURS
ss
?"??-
M?.iil?mWM'li??iHiiiU
i?iiflW'l????ilil?WWlWMii 'Irtiilliri! iliuiUtlWiliilM'iri.il i ,
? ii hi ?Mp?Hjl
am





f
I
34
THE EAST CAROLINIAN
AUGUST 23,1988
Italians revive women's pants
ROME (AP)?Italian designers
have revived pants for the fall-
winter season, making the staple
item of the modern woman's
wardrobe stylish again.
For the past several seasons,
pants had been edged off the
runway to make room for the bold
return of the miniskirt, which
reached its peak this summer
with minuscule skirts back on the
market in Europe and the United
States.
But as latecomers scramble for
the few minis left at summer sales,
shopkeepers already are lining
the shelves with the myriad of
pants proposed by the top Italian
ready-to-wear designers during
their preview fall-winter show-
ings in Milan in March.
On the whole the new pants
look is easy fitting, cuffless, and
falls loosely from a softly gath-
ered or pleated waistline.
However, for those who seek
another challenge after the daring
mini, the winter season offers a
tight-1 egged trouser whose sex
appeal is increased by a high
wasp waistline.
For the best in casual elegance,
the place to shop is Armani where
you can find a variety of pants in
smooth wools with delicately
unpresscd waist pleats and a side
zipper for extra femininity.
If a soft easy fit is what your are
after, the right address is Krizia,
whose pants achieve a relaxed
comfort by a softly gathered
waistline and an ample leg.
Gianfranco Fcrre caters to those
who like their pants slim and
unfussy. His winter version in
smooth wool or crushed velvet is
belted at the waist and worn with
a dramatic white shirt with wide
stand up collar.
Gianni Versace offers a clinging
version in wool or silk jersey
which starts off with a high tiny
wasp waist and slinks its way
down to a narrow ankle. High-
heeled ankle boots complete the
sensual look.
In the leather department, the
talented tanner, Mario Valentino,
stocks hi s racks wi th baggy, wide-
legged pants stemming from a
high, tight-fitting waistline.
For those who can't bear giving
up those hard-earned miniskirt
legs, Milan winter fashion offers
Bermudas and knickers usually
coupled with thigh-high wading
boots.
To go with the high-waisted
pants look, the Milanese design-
ers offer tight-sleeved, slim-fit-
ting jackets cropped just above
the waist. Again the winning ver-
sion can be found at Armani.
The new Armani jacket in soft
plaids by day and velvet at night
acheives its minimal look by nar-
row armholes and long tight
sleeves.
There's no room for shoulder
padding in this tiny jacket, and
thus after almost two years of
dominating the fashion scene, the
boxy, football player look disap-
pears.
For a slightly wider cut jacket,
still without padding,but double-
breasted and hip length, the place
to look is Krizia. Krizia presented
the most elegant suit of the sea-
son, combining this jacket with
her soft trousers or a slim skirt
hemmed just at the knee, in classic
gray flannel.
Still another jacket, which can
be found at Byblos, Ferre and
Versace, draws its inspiration
from the traditional riding jacket
with its narrow waist and flared
hips.
Although pants prevail, there
are still plenty of skirts in the
winter "moda Milanese They
range from long and flared to a
rare poufed mini for evening, but
on the whole they are slimly tai-
lored, and cut at what Krizia calls
"the sensible length" ? at the
knee.
There is something for every-
one where coats are concerned,
from the traditional trench (Ferra-
gamo), to the Rcdingote (Byblos),
the frock coat (Gigli) the teddy
bear (Armani) and the top coat
(Mario Valentino).
Fake furs arc back for this year's
chillier season, with even the
famed Fendi furriers, bowing to
the cheaper, more practical
sythetic wrap, this revival ap-
peases the ecologists while allow-
ing women to delight in such
"forbidden" cats as leopards and
tigers.
In the footwear department, the
big news is the return of boots,
both flat and high-heeled, but
more often than not clinging to
the calf, and sometimes the thigh,
like a glove.
Colors mirror the fall shades of
green, brown, beige and gray
with dashes of bright maple red.
For yet another season, black is
the favorite choice for evening.
On the whole, the Italian ready-
to-wear designers have returned
to doing what put them on the
international fashion map a dec-
ade ago, and what they still do
better than anyone else: create a
casual sporty look refined by
exquisite workmanship and
beautiful fabrics.
Scotts
Henry VII, Lady Mary Guildford reunited in art exhibit
BASEL, Switzerland (AP) ?
After more than 400 years of sepa-
ration, Sir Henry and Lady Mary
Guildford are temporarily reu-
nited in Basel.
Drawings of them are on dis-
play in the first joint showing of
the world's two most important
collections of the graphic work of
Hans Holbein the Younger, the
Basel burgher who became the
court painter of Henry VIII.
The exhibit comprises 50 draw-
ings from the collection of Queen
Elizabeth II on loan to the Basel
Kunstmuscum and the 80 works
normally on display at the mu-
seum.
"An ancient wish has come
true Kunstmuscum director
Christian Gclhaar said at the
opening. The exhibition of the 130
works spans a career that made
the German-born Holbein the
first portrait painter to achieve
international fame.
It ranges from a study for a
double-portrait of a Basel mayor
and his wife, when he was 19, to a
drawing oi an English nobleman,
done shortly before the artist fell
victim, at the age of 46, to a plague
sweeping London in 1543.
Holbein, a friend of the Dutch
scholar and humanist Erasmus,
came to England in 1526 in search
of lucrative orders because the
arts were "freezing" in Basel, as
Erasmus put it.
Erasmus sent him to Sir Thomas
More, the later Chancellor, who
became Holbein's first patron.
More's warning that Holbein
"may not find England such fruit-
ful and fertile land as he had
hoped ashe wrote Erasmus, was
soon disproved.
Portraits of Henry Guildford,
newly-named treasurer of the
crown by Henry VIII, and his
wife, were among the key works
Holbein did during a first two-
year stay in England.
He returned to Basel wealthy
enough to buy two houses and his
reputation earned him well-paid
commissions. But iconoclastic
riots by fanatic Protestants boded
ill for the future of an ambitious
artist.
One of the victims was his altar-
piece of the Last Supper, which
was chopped to pieces. Most of
the fragments were salvaged,
however, later joined together in
an irregular way and even
painted over. At theexhibition the
piece returns to public view after
more than two decades of pains-
taking restoration.
In 1532, Holbein made England
his permanent home. The 50
drawings on loan through Sept. 4
from Windsor Castle, make evi-
dent that this last period marked
the culmination of his career as a
portrait painter.
Many of his subjects were pro-
tagonists in a stormy period of
English history that, somewhat
surprisingly, seemed to leave
Holbein unperturbed. The Wind-
sor collection includes drawings
of Anne Boleyn, the second wife
of Henry VIII who was beheaded
in 1536, of Jane Seymour, the third
wife, as well of Baron Rich, whose
testimony led to the execution of
Thomas More.
No preparatory drawing of
Henry VIII has survived. And
what is rated as Holbein's most
masterful portrait of the monarch
is in London ? on loan. It is part of
the Lugano Collection of Baron
Heinrich von Thyssen-Bor-
nemisza-
For Both
Come
Experience
Our
Exclusive
Selection
of
Ladies Wear
which includes
famous makers
such as:
Jeanne Pierre
Skyr
Sk & Company
Calvin Klein
Richard Sport
LB. Diffusion
Capture Us At The Plaza
756-3483
Macy's says mini skirt hemlines will come down
By GENE SCHROEDER
Associated Prcsi Wrilcr
The thigh's the limit for mini-
skirts on some college campuses
this fall but the fashion scene also
includes hemlines that drop to the
ankle ? if coed prefer them that
way.
According to Terry Melville,
vice president and director of
junior fashions for Macy's of New
York, "what's happening in skirt
lengths is mainly a matter of op-
tion and choice
"It's really up to the customer to
decide what she wants to do and
what works for her ? for her
shape and for her lifestyle says
Ms. Melville.
If it was up to college males,
however, skirts would linger
above the knee, according to a poll
of 1,000 students conducted on 25
campuses by the Roper Organiza-
tion for Levi Strauss & Co.
The survey indicated that
above-the-knee hemlines were
favored by 67 percent of the men
on campus and 43 percent of the
women.
Ms. Melville notes that, like
skirts, boots for coeds range from
thigh high to ankle low.
"If you're wearing a miniskirt,
you choose high boots she says.
"If the skirt is long, the boot is
short
Meanwhile, she says, that per-
ennially favoritccampus garment
? blue jeans ? will be back.
But this year a new "double
dip" blue-black look will be
prominent on a scene tradition-
ally dedicated to a light washed-
out look. The double-dip descrip-
tion refers to the coloring process,
in which denims are run through
the dye twice.
For traditionalists, though, still
available will be blude jeans that
are stone-washed, acid-washed,
faded, torn with holes, patched,
bleached and whitewashed.
"Also selling are jeans that have
ankle detail ? where you find
zippers or a bow in back ? along
with belted jeans and high-
waisted jeans and motorcycle
jackets with jeans says Ms. Mel-
ville.
Pants, she adds, are expected to
constitute "another important
trend for fall, with pants legs
wider and in all different types,
some pleated, some cuffed, some
high-waisted
The menswear feeling ? some-
times called the androgynous
look ? will be popular with
coeds, including checks, plaids,
herringbones and pinstriped in
traditional colors like black and
brown and gray, Ms. Melville
predicts.
For those who prefer bright
colors there will be a "Pop Cul-
ture" look of the '60s, she adds.
'There will be bright yellows,
fuchsias, reds, purples and lime
greens having a lot to do with
knits, knitted tops or knitted
skirts
Susan's Fine Fashion
331 Arlington Blvd
Greenville, NC
T"
I
756-5844
Hours: 10-6 M-F
10-5 Sat.
"1
I
10 Discount
; With Coupon j
i1
Welcome Back Student Staff
The department of Residence Life and Housing wishes to
welcome back the friendly high energy community builders,
information givers, activity planners, confidants, problem
solvers, and floor leaders that make up our student staff.
We are proud to say that these individuals help to make the
residence halls home for other students.
A WINNING COMBINATION
MCWCKXXXSOfl
Leigh Bethany Albritton
Christopher John Allard
Susan Kimberly Aydclctte
Chris Ronan Barber
Kimberly Paige Barber
Mark Stephen Barber
Darlene Elizabeth Barnes
Brenda Gail Bass
Jcssee Jcrrcll Bass
Michael Anthony Bassetti
Majorie Ann Bazluki
Micheal Dean Benson
Liller Diane Best
Barbara Marie Bice
Dorothy La-Shawn Bowdcn
Amy Lynne Brat ton
Kimberly Lee Briggs
Kathcrine Irvvin Burlcson
Darin Troy Bush
Karen Elizabeth Camdcn
Teresa Lynn Can-
Richard Perry Carter
Jamie William Caviness
Michael Adam Clancy
Laura Leigh Clark
Laura Ann Connolly
Nora Susann Cooper
Veta Marvctte Cooper
Susan Lynn Cooperman
Leslie Sue Council
Angela Dawn Covan
Daniel Allen Dant
Grover Thomas Davis, Jr.
Lisa Michelle Dcaton
Jeffrey Phillip Dennis
Chad Micheal Dobrei
Valeric Eposi Efange
Alan Anthony Evans
Eric Jerome Faison
Wayne Anthony Ferguson
Isaac Jerome Fleming
Mary Elizabeth Fordham
d'Andrea Foreman
John Laurence Furlong
Paul Barrow Gainey
Timothy Joseph Garifalon
Mary Anne Gatton
Stephanie Anne Gryder
Mark Brendan Hall
Bonnie Lynne Harris
Melissa Denise Hayes
Kathleen Heister
James Barry Hewett
Mary Elizabeth Higdon
Cassandra Lee Hill
Deborah Lynn Hodges
Richard Andrew Hodges
Elizabeth Bowden Howard
Starla Renee Howard
Tcri Ann Hueskes
Kimberly Anne Humphries
Rodney Dewayne Jackson
Mary Catherine Jones
Karyn Margaret Jones
Glcnda Gayle Kennedy
Laura Lee Kent
Jennifer Camille Koonce
Jeffrey Michael Kotzan
Beth Page Lanier
Brian Douglas Larrick
Steven Joseph Lloyd
Maglenda Love Love
Joyce Cheri Matthews
Mitzi Marie Mauldin
David Joseph Mayr
Kimberly Glen McCroskey
Gerald Patrick McGhee
Catherine Leann Mickens
Steven Dale Mullinax
Jennifer Lee Naujoks
Tracy Elizabeth Newman
Juanita Lynette Nicholson
Barry Patrick Nobles
Joan Eleanor Novak
Jonathan Conrad Olson
Toiriste Winifred O'Neal
William Ernest Peterson
Jerry Powell
Melissa Love Price
Ellen Giovonna Proia
Charlotte Louise Purnell
April Dawn Ridgely
Anthony Carmen Rinaldo
Melissa Ann Rose
Stacie Lee Scales
James Mark Shamlin
Laura Sherrill
Kelly Scoot Skinner
Patrick Albois Smith
Angela Lynn Spear
Eric Jordon Stillson
Scott Edward Strubingcr
Brenda Lee Sutton
Bradley Jon Swearingen
David Wade Taylor
Cheri Michele Thomas
Stacy Leigh Truitt
Michelle Faye Tuck
Robin Reana Warren
April Janel Weathcrington
Jill Denise Wells
Samuel Alan Whitlcy
Susan Aileen Wilkins
David Anthony Williams
Eugina Faye Williams
Sandy Lynn Williams
Veronica Hclcne Williams
Edwin Frank Winicki
Anita Joyce Wright
Lisa Michelle Wolfe
Christopher Theodore Workman
Chris Workman
Denise Louise Zech





THE EAST CAROLINIAN
AUGUST 23,1988 35
Convict wants code change
RALEIGH (AP) ? Cardell
Spaulding, an imposing, muscu-
lar man at 50, longs for the days at
Central Prison whan a prisoner's
word meant something and the
convict code was enforced.
"The younger generation don't
have no solid moral principles
complained spaulding, once a
feared power broker who spent 16
years in maximun security after
killing two men on the inside.
"The population has changed a
lot. You don't put much faith in
what the younger generation has
to say
Spaulding and others who have
been at Central for many years
view with disgust the new in-
mates, many of whom have back-
grounds considered so repulsive
they would have been locked
away from other prisoners 10
years ago ? for their own good.
Today, those the old guys hate
most ? homosexuals, child
molesters and snitchers who in-
form on other inmates ? mingle
with the prison population.
But changes were prompted by
more than the new inmates. The
new Central Prison invites confi-
dence in the system's ability to
protect inmates.
Most of the old prison, which
rose like a medieval fortress near
downtown Raleigh, has been
demolished. In its place is a
brown, precast-siding structure
in which most inmates are housed
in one-person, air-conditioned
cells of up to 70 square feet each.
There are enough steel doors to let
authorities shut down the com-
pound in seconds if trouble flares.
Some inmates go through 18
doors to get to breakfast.
That combination of isolation
and control has transformed Cen-
tral.
Men like Spaulding and Roy
Fox, a convicted Buncombe
County murderer, held sway
What was
boat? Ask
MEMPHIS,Tenn. (AP) - Elvis
Presley fans know their stuff
when it comes to tacts about the
king of rock and roll, and organiz-
ers of the Elvis Trivia Contest had
to work hard to find challenging
questions.
For instance:
- Where did Presley like to wa-
ter ski? (McKellar Lake.)
- What was the name of his boat
in the movie "Girls, Girls, Girls?"
(Westwind.)
behind the foreboding walls of
old Central. From their domains
on the maximum-security cell
blocks, the old Central officials
acknowledged, the inmates con-
trolled life inside the prison's
walls.
Lucrative loan-sharking, gam-
bling and drug operations flour-
ished. And if some inmates failed
to cooperate, there were ways of
getting messages to inmate en-
forcers.
At the old Central, as many as
nine maximum-security inmates
? the worst oi the prison system's
worst ? exercised on the yard at a
time. That contact, along with an
antiquated plumbing system that
inmates manipulated to pass
messages from cell to cell, was all
the power brokers needed to stay
in control.
Not any longer. Maximun-se-
curity prisoners novv lead lives of
isolation. They have no contact
with other inmates and minimal
contact with guards. They are
housed alone in single 70-square-
foot cells and are allowed out only
twice a day ? once to exercise in a
cage by themselves and later to
shower alone.
Just the threat of maximum-
security confinement is a deter-
rent.
"The guys coming in here now
don't want to spend five or 10
years on lockup said John
Johnson, 44, a New York native
serving time for kidnapping and
hostage-taking.
The demise of the convict code
? which dictated that inmates
handled their own problems and
which dealt harshly with inform-
ers ? has made it likely that a
prisoner will be turned in to
prison authorities if he reports to
strong-arm tactics.
"They're running this place
pretty much on the snitch system
here said LaVcrn Irwin, 37, on
death row for murder until his
sentence was commuted to life in
1982.
The new inmates have brought
new standards. Criminals in the
old Central ran an often brutal
society with a rigid structure
understood by those on the in-
side. There was more unity
among inmates.
"The old inmate would say the
clientele is going down said
Dick Hanley, Central's program
director.
The rackets ? loan sharking,
dope and gambling ? are still run
by inmates. But no one has
amassed the power old-liners
once had.
Those who welsh on debts are
now in line for verbal intimida-
tion instead of physical injury. If
that doesn't work, the game lords
are likely to chalk it up to bad debt
and put the work out on the yard
so no one will lend the debtor
money or let him into a gambling
game.
All this docs not mean that
Central is now violence-free.
During 1987, there were55 inmate
assualts ? mostly fistfights ?
and 12 stabbings, most of them
minor.
There has been one murder
since the new prison opened in
1983. In 1984, an inmate was
stabbed to death after he had
made sexual threats to a younger
prisoner.
The number of rapes at Centra!
is small. Warden Gary Dixon puts
it at about one a year. But some
inmates are persuaded to perform
sex acts.
"There's a lot of pressure put on
people coming in ? lots of pres-
sure to do it said Paul Brown, 31,
of Wilmington, Del serving a
lengthy sentence for kidnapping,
armed robbery and second-de-
gree sexual offence. He has been
at Central since 1981.
the name of Elvis'
the King's loyal fan
"The point's not to stump them
but to challenge them, because
they want to be challenged said
Todd Morgan, Graceland com-
munications manager.
That's not easy when the con-
testants include previous champi-
ons like Bob Martin, 22 , oi
Richmond Maine, who was one of
the champions named Friday.
"I think after you watch a movie
25 times, things start to sink in
Martin said.
Organisers gave up trying to
weed out a single winner and
declared Martin and Jimmy
Prince, 43, of Lexington, N.C as
this year's champions. Thev won
20 12 inch Elvis stage dolls that
play cassette tapes.
The contest was one of mam-
events surrounding Elvis Interna-
tional Tribute week commemo-
rating the 11th anniversary of
Presley's death.
Come on in
the
water's fine
at
Memorial Gym
CAROLINA MINI 1
STORAGE
? UOHrS IN UNITS
? 10 MONTMIV ???! ?
? miUMANCI ???H ?tt-I
? 7 D?T rra artr? ACCISS
? COatatCltClal t HOUStHOlO
t tltCTDICal OUTltTS aVallAllf
? CC?Ti i STiii coKsraueTioa
355-3000
1275 ian: makk
Behind th Miera
GREENVILLE S (
i FREE!
I RENT ANY SIZE ?
, STORAGE UNIT AND !
' RECEIVE 3rd MONTH I
foii Tsui noncTiai
?f 5,5(1! UUtEl
ffixei i uona
FREE!
i
318Eyans.StreetMall
I TANNING SPECIAL!
10 VISITS FOR $30
OR I YEAR UNLIMITED
TANNING FOR ONLY $75
EXPIRES 123188
A fr &&K ki (teadt t&t fa heaJt
758-8553
J10 DISCOUNT ON ALL
HAIR SERVICES
I
j WITH PRESENTATION OF
I
1
ECU STUDENT I.D.
EXPIRES 123188
The drug trade is mostly in
marijuana. Cocaine is too expen-
sive. Most drugs, correction offi-
cials acknowledge, are smuggled
in by guards.
Some do it for profit. But others,
particularly younger officers, are
lured into violating regulations.
The initial act may be something
as seemingly innocent as taking
an inmate's letter out of prison to
be mailed, which is prohibited.
Once that occurs, the inmate has
him. If the officer doesn't comply,
the inmate will turn him in to
authorities.
"I'll probably dismissed one
employee a month that's obli-
gated to the inmates Dixon said.
The new building has affected
the way the prison staff docs its
job. Many of the 400 guards re-
main in centrally placed steel
booths. That has made the job
safer and gives officers a better
view of inmate activity.
But guards have less direct
contact with the inmates.
"It's made the job harder said
Bobby Watson, associate warden.
"There's a lot to be said for inter-
action with inmates
Living conditions have im-
proved at Central. But old-timers
still long for the old days.
"There are a lot more child
molesters in the yard inmate
Browm reflected. "They used to
have to put them in protective
custody.
"That used to be one of the
worst things there could be ? a
child molester. But they don't care
no more. Seems like everybody's
out tor themselves
PREPARING FOR A
SOCIAL OR PARTY IS
"A PIECE OF CAKE"
AT
'ANYTHING PAPER"
Your Party Supplies Headquarters.
Plan Early and We Will Help With Sugges-
tions & Alternatives For Decoration And
Food Service Needs.
Helium balloons, decorations, cups,
plates, napkins, etc.
Anything you need for a party!
Hwy43S - Bells Fork Square 355-6212
DARAJf KfP-fLA5H AlMYS-
SCTS LIKE THIS UHEH H?
REAPS THE.
EASTmoUMANJ
V
Vi
TRY OUR NEW, EXPANDED SALAD BAR
FOR FRESHNESS, SELECTION, SIZE AND QUALITY!
rrsA
tf;lf;lCMija:
DREAM!
Coming Soon?
Mexican and Pasta Bar.
10 Discount
X7ifV? O NEW-EXPANDED SALAD BAR
W 1 111 ANOTHER GREAT
rp-i ? WAY TO DISCOVER
lniS FOR YOURSELF WHY
A - GOLDEN CORRAL
J?J, IS THE BEST FAMILY
STEAK HOUSE
IN AMERICA!
109 E. Greenville Blvd.
Greenville, North Carolina
Sun-Thurs.il am-10 pmFri & Sat. 11 am-11 pm
J
Sandwiches & Salads
5th Street Subway
NOW
DELIVERS
Under New Management
Hrs: Sun. Wed. 11-2
Thur Fri Sat. 11-3
756-2110
The Plaza
758-7979
5th Street
I
I
I
! BUY ONE
. FOOTLONG OR SALAD
AT REGULAR PRICE
GET ONE
OF EQUAL VALUE
FOR ONLY
99
With purchase of a medium soft drink
One coupon per customer per visit
Sandwiches & Salads
I
I
I
I
I
I
I
I
I
I
I
I
I
OFF
ANY
FOOTLONG
SANDWICH
With purchase of a medium soft drink
One coupon per customer per 1sit
She SiitLftfflJtiue
Sandwiches & Salads
n
-





WE BUILT
A PROUD
NEW
FEELING
SAV A CENTER
The freshest way to Save.
Our
"Super Star
of the
week
?'fr
GROUND FRESH SEVERAL TIMES DA
Fresh Regular
Ground Beef 74 e
00
Welcome
Back
Students
SMITHFIELDGOLD LABEL
Fresh Pork
Picnic
JAMESTOWN
Hungry 8
Franks
-joo
-100
HAMILTON LOW SALTtSPEClAL TRIM
E-Z Karve
Smoked Ham
?flank
portiom
U.S.D.A. INSPECTED?SKIN ON
Boneless
Chicken Breast
CHOICE BONE
Round
Roast
2oo
LIMIT 3 WITH MIN. 10 PURCHASE
Brawny
Paper Towels
GOLDEN RIPE
Chiquita
Bananas
jumbo
rolls
IN OIL OR WATER?CHUHK UGHTtUMTT 2 W ?10 MiN. PURCH.
Star Kist
Tuna
Headless Shrimp
HSMAI L?TE NDER
Pork Spare Ribs
a : FROST?ALL VARIETIES
Chipped Meats
AT OR BEEF
Oscar Mayer Bologna
SLICED
Jamestown
Bacon
5.00
2.00
1.00
1.00
100
lbs.
U S NO i?ALLPURPOSE
Russet
Potatoes
-00
1.00
3.00
6.5 oz.
cans
ALL VARIETIES?CRISP N TASTY
Jenos Pizza
ANY VARIETY -
Pet Ritz Cream Pies 4
ANY PLAVOR?ICE CREAM C "
Haagen Daz Bars d. S& O.UU
FAMILY SIZE?SELECTED VARIETIES r r
3r 2.00
Banquet Entrees
ALL FLAVORS
Li'l Hug Drinks
REGULAR OR NATURAL PLUS
White House
Apple Juice
POLANER
16 OZ CUP
Solo
Party Cups
1.00
-JOO
64 oz.
btl.
REGULAR OR RIDGIES
Wise
Potato Chips
CHERRY COKETABSPRITEKUJ) YELOttCUSSlCiftEa OR NET
Coca
Cola
6.5 oz.
bag
2 Itr.
btl.
Prices effective Sunday Auq 21 through Saturday. Aug 27, 1988 Not responsible for typography a i rs Quantity rights re
I'rices Good In Greenville, N.C. ? At 703 Greenville Blvd.
Open Sunday 7:00 a.m. to 11:00 p.m. ? Monday thru Saturday 7:00 a.m. - 12 Midnight
t VI





WEBUILT
A PROUD
NEW
FEELING
CS2?
SAV A-CENTER
The freshest way to Save.
Our
"Super Star'
of the
week
Welcome
Back
Students!
LIMIT 3 WITH MIN. s10 PURCHASE
Brawny
Paper Towels
jumbo
rolls
IN OIL OR WATER?CHUNK LIGHTHIMIT 2 W s10 MIN. PURCH.
Star Kist
Tuna
6.5 oz.
cans
POLANER
GROUND FRESH SEVERAL TIMES DAILY
Fresh Regular
Ground Beef anyslze
pkg.
SMITHFIELD?GOLD LABEL
Fresh Pork
Picnic
JAMESTOWN
Hungry 8
Franks
-jOO
-00
HAMILT0N?L0W SALT?SPECIAL TRIM
E-Z Karve
Smoked Ham
shank
portiom
U.S.D.A. CHOICE BONELESS BOTTOM
Round
Roast
ooo
GOLDEN RIPE
Chiquita
Bananas
40 TO 50 COUNT
Headless Shrimp
FRESH?SMALL?TENDER
Pork Spare Ribs
LAND-OFROST?ALL VARIETIES
Chipped Meats
MEAT OR BEEF
Oscar Mayer Bologna
SLICED
Jamestown
Bacon
ALL VARIETIES?CRISP N TASTY
Jenos Pizza
ANY VARIETY
Pet Ritz Cream Pies
ANY FLAVOR ICE CREAM
Haagen Daz Bars
FAMILY SIZE?SELECTED VARIETIES
Banquet Entrees
ALL FLAVORS
Li'l Hug Drinks
16 OZ. CUP
Solo
Party Cups
4
2
5.00
2.00
1.00
1.00
-jOO
1.00
3.00
5.00
2.00
tc 1.00
100
lbs.
U.S. NO. 1?ALL PURPOSE
Russet
Potatoes
?00
REGULAR OR NATURAL PLUS
White House
Apple Juice
64 oz.
REGULAR OR RIDGIES
Wise
Potato Chips
IW :r;3?$:iME?C;KJ.$$C?iEG 0RD;?T
Coca
Cola
6.5 oz.
bag
E
Prices effective Sunday, Aug. 21 through Saturday, Aug. 27,1968. Not responsible for typographical errors. Quantity rights reserved.
Prices Good In Greenville, N.C ? At 703 Greenville Blvd.
Open Sunday 7:00 a.m. to 11:00 p.m. ? Monday thru Saturday 7:00 a.m. -12 Midnight
Area
NAGS HEAD, N.C (Al
Every artist on the Outer
and they number in the hunc
has a tale or two or 10 to tell i
Glenn Eure, retired soldier!
lific painter and printmakei
tor-mouthed raconteur. A
anyone in the arts businc
writing, painting, music,
ever ? knows the shoi
man.
Steve Brumfield, manaj
Mantco Booksellers, reca
phone call from Eure about
ago.
Eure had stoj ped by
Devil Hills hotel for breakfaj
met a doctor attending a co
tion of medical students thd
turned out the doctor v.
who planned to read I
work to the students the ne:
So Eure phoned friends to
antee the man whom he'd
met before, an audience of I
listeners.
The arts swii
palpably as a sea I
either mal i or am:
some event in art,
fund-raiser for a cl
lery annually s:
or more re idir
special exhil
are local.
Every fund i
tion needing
Eure up f r a painting - i
and he never turns am
down. The so
lionth visitor" to North Cai
picked b) I tourist b
received one of aintirj
1986. Tuesday morninj
teaches art al a i
once a year ts the
dents' work at his .
entry wins a b
category or another.
"He's very genen
said Nags Head Mayor D
Bryan, a retired con
turned profess i al ;
uses his gallery to further
artists' care I
who are kind o: 'hng
In Euro's life, art
natural and necessary a
Italy.
His wife, Pat,couldn't hav
smoking without art. After!
teen failures she took to nru
zing a poem whenever the l
smoke struck her. SI
three months and two and
books of poetry without a'
rette.
Eure, a 56-year-ol
eran from the Korean . I
nam wars, can quote Kij j
poems all night ; ut
corner oi his mouth, in a
comprehensible brogue.
Assuming he has an au
? and he craves an a
hisdav beg - ? ith -
dance around: - tract
ture, Crazy Chiefs F
front of his Ghost Fleet G
Nags Head.
The belly part of Cra
a buoy and the head I
ball with two eye-h j
down from 15 irsi
manner of a Hollyw
Eure hops a few tin
then on the other , an
agaAn, chanting some;
"Hubba bubba bul
hubba
Periodically he rubs the
tummv and whisp rs
money then retun ;
bas and bubbas
A profitable
goes off to breakfast al
corns Restaurant in the
Ramada Inn.
Entering the hotel r j
by several people attc I
convention of North Ca
Clerks oi Supcric r O J
donated one of his pair. I
prize at the convention, aj
cryone in the lobby seel
know him.
In the restaurant ho or
double shot of mush and a 1
fresh fruit, with coffee and
of drinking water.
Never, never touch
water.
Waiting for the fool
sketches two skiffs on the
attached to a single anchor
that romantic?" he says H
in some bushes, a light
some gulls. And dippi
brush repeatedly in the drl
water, he adds color.
People stop to watch A
from the state oi Washingt
ing at an adjoining table aj
ticularly fascinated. Eurt
with them as he paints,
hinting that the painting
his gift to them.
Someone tells the waitnj
should stop work and wat
paint, but she demurs.
that every day she says.





ID
1 V I
00
I
100
THE EAST CAROLINIAN
AUGUST 23,1988 37
Area artist craves audience
NAGS HEAD, N.C. (AP) ?
Every artist on the Outer Banks,
and they number in the hundreds,
has a tale or two or 10 to tell about
Glenn Eure, retired soldier, pro-
lific painter and printmaker, mo-
tor-mouthed raconteur. Almost
anyone in the arts business ?
writing, painting, music, what-
ever ? knows the short, muscular
man.
Steve Brumfield, manager of
Manteo Booksellers, recalls a
phone call from Eure about a year
ago.
Eure had stopped by a Kill
Devil Hills hotel for breakfast and
met a doctor attending a conven-
tion of medical students there. It
turned out the doctor was a poet
who planned to read his own
work to the students the next day.
So Eure phoned friends to guar-
antee the man whom he'd never
met before, an audience of good
listeners.
The arts swirl around Eure as
palpably as a sea breeze. He is
either making art or arranging
some event involving art, often a
fund-raiser for a charity. His gal-
lery annually sponsors two dozen
or more readings, lectures and
special exhibits. Half the artists
arc local.
Every fund-raising organiza-
tion needing something to sell hits
Eure up for a painting or a print,
and he never turns anybody
down. The so-called "50 mil-
lionth visitor" to North Carolina,
picked by the state tourist bureau,
received one of his paintings in
1986. Tuesday mornings he
teaches art at a nursing home and
once a year he exhibits the resi-
dents' work at his gallery. Every
entry wins a blue ribbon in one
category or another.
"He's very generous to a fault
said Nags Head Mayor Donald
Bryan, a retired combat pilot
turned professional painter. "He
uses his gallery to further other
artists' careers, especially those
who are kind of struggling
In Euro's life, art is pervasive,
natural and necessary as opera in
Italv.
His wife, Pat, couldn't have quit
smoking without art. After ump-
teen failures, she took to memori-
zing a poem whenever the urge to
smoke struck her. She has gone
three months and two and a half
books of poetry without a ciga-
rette.
Eure, a 56-year-old combat vet-
eran from the Korean and Viet-
nam wars, can quote Kipling war
poems all night long, out of the
corner of his mouth, in a barely
comprehensible brogue.
Assuming he has an audience
? and he craves an audience ?
his day begins with a kind of war
dance around his abstract skulp-
ture, Crazy Chief's Belly, just in
front of his Ghost Fleet Gaily in
Nags Head.
The belly part of Crazy Chief is
a buoy and the head is a bowling
ball with two eye-holes peering
down from 15 or so feet up. In the
manner of a Hollywood Indian,
Eure hops a few times on one foot,
then on the other , and back
agaAn, chanting something like
"Hubba bubba bubba hubba
hubba
Periodically he rubs the chief's
tummy andvhispers, "Money,
money then returns to the hub-
ba sand bubbas.
A profitable day ensured, he
goes off to breakfast at Pepper-
corns Restaurant in the nearby
Ramada Inn.
Entering the hotel, he is greeted
by several people attending a
convention of North Carolina
Clerks of Superior Court. He
donated one of his paintings for a
prize at the convention, and ev-
eryone in the lobby seems to
know him.
In the restaurant he orders a
double shot of mush and a bowl of
fresh fruit, with coffee and a glass
of drinking water.
Never, never touch his drinking
water.
Waiting for the food, he
sketches two skiffs on the beach
attached to a singlcanchor. "Ain't
that romantic?" he says. He puts
in some bushes, a light house,
some gulls. And dipping the
brush repeatedly in the drinking
water, he adds color.
People stop to watch. A couple
from the state of Washington eat-
ing at an adjoining table are par-
ticularly fascinated. Eure chats
with them as he paints, never
hinting that the painting will be
his gift to them.
Someone tells the waitress she
should stop work and watch Eure
paint, but she demurs. "He docs
that every day she says. In fact,
he long ago gave her one of the
paintings.
The more people who stop to
watch, the happier Eure paints.
His coffee grows cold, his drink-
ing water cloudy. The food will be
served any minute.
He pretends to almost dip the
brush in the coffee by accident,
but a chorus of no's and whoa's
stops him.
One of the clerks of court stops
by. Eure shows her how to do
seagulls, with quick stroked, in a
few seconds. The lighthouse
takes him maybe 30 seconds to
complete. But the strokes are
crisp, the proportions are pleas-
ing. An amateur would be de-
lighted to complete such a paint-
ing in a month, or ever.
He finishes the painting as the
food is served and inscribes the
first names of the couple from
Washington, one on each boat,
Ranicr and Darlcne. Their last
name is House. They thank him
profusely.
He tells them to stop by his
gallery nearby to have his wife
mat the painting for free. You
can't miss the gallery, he says,
because it has a 17th century, 16-
foot anchor on the roof.
How docs he know the anchor
is from the 17th century? "I made
it myself he says unrepentantly,
"out of wood. But you can't tell
it's wood
After breakfast Eure heads back
to his gallery on Driftwood Street,
just south of the 10 Mile Post.
He sets to selling his paintings.
One doesn't have a lighthouse in
it, but he promises a customer
he'll add one if she wants, while
she waits, whatever style she
wants.
He favors abstract painting,
prints and sculpture, but the
money is in bcachscapcs with
boats that look like boats.
"Tine boats are all different he
says. "I don't copy anything.
They are all figments of my imagi-
nation, and I do it mainly because
I get such a great deal of pleasure
from the response of people I do it
for.
"And this is goingto sound
hokeyashell,but it's the truth, so
help me God. IneVer get used to
people buying those little things. 1
really don't. I'm always humbled
by it. I always like to personalize
them, put the names on the
boats
A fellow painter, Mike W. Scott
of Manteo, moved to the Outer
Banks a year ago to paint. He said
he had met 10 professional paint-
ers, all of them through Eure.
More amazingly, Scott says, "he
introduced me to people who are
potential buyers
Some artists will share ideas,
Scott adds, but customers usually
are a different matter.
"Glenn is a kind of central fig-
ure he says. "Everyone likes
him. He's kind of a common
ground for artists in the area.
Everybody meets all the other
artists through Glenn. He's a
driving force in getting people
together.
"He's generous to the point of
almost being self-destructive. He
gives everything away
Eure was born in Honolulu, the
son of an aircraft mechanic. The
family moved to Swansboro
when he was 11.
He served 23 years in the Army,
10 as an enlisted man, the last 13 as
an officer, retiring as a major in
1971. He recorded 150 parachute
jumps. As a reserve officer, he
had to get out, because his 20
years were more than up. But he
still misses the military, especially
the camaraderie.
The first time he invited Pat
over to his house, in 1976, she was
shocked to discover 46 paratroop-
ers bivouacked in his backyard.
Eure had forgotten that he'd told
a chaplain they could stay there.
After leaving the Army, Eure
earned a bachelor of fine arts
degree in printmaking from East
Carolina University, then built
and painted exhibits for the
North Carolina Aquarium on
Roanoke Island.
He started his gallery in 1976,
married Pat ii. 1979 and moved
the gallery to its -rsent location
in 1982.
His work hangs in private col-
lection and galleries in a dozen
countries, including China and
Japan. And he is living happily
ever after with his wife and their
15-year-old Tibetan spaniel,
Pelekea.
But how did Eure, who was shot
in the shin in Vietnam, get from
war to art?
"Oh it's all hand in glove he
says. "There's no getting from or
going toit's the same thing. I'm
writing a book aabout this, and to
make a Umgtory $frfii&4$ftW&
dicament of the protagonist is
this: He's a field grade airborne
infantry ranger that finds himslef
pursuing a lifetime ambition,
which is to become a painter.
"Pretty commonplace. But the
thing that's interesting about this
is he thinks he's working for fame
and fortune as a painter when in
fact all he's really doing is reliving
the euphoric high of combat on
the canvas. He becomes addicted
to the canvas, so that the more he
paints, the more he has to paint.
"There is a high, a rush in that
adrenalin-filled situation when
somebody is shooting at you. You
can be just clear as a bell and know
exactly what's going on. It's a
high like you can't believe
CAROLINA
PREGNANCY CENTER
The Center la Onen
Tues. Wed. Fri.
10-2 9-2:30 9-5
Por an appointment or more infor-
mation, call 24-Hour Helpline,
757-0003
111 East Third Street - The Lee Building
Greenville, N. C.
Free Pregnancy Test-
Xonfldcnttal Counseling
1
CALCULATORS,ETC.
PREVIOUSLY OWNED - GUARANTEED
Assorted Texas Instruments19.95
Staedtler Drafting Set19.95
Portable Drafting Board With Tools29.95
Franklin ComputerSpeller49.95
Name Brand Quartz Wrist Watches
(Seiko. Casio, Swatch. Pulsor)
AMFM Alarm Clock Radios
12"B&WT.V.
19.95 up
12.95 up
39.95
Toasters, Irons, Coffee Makers, Etc. 7.95 up
Dorm Refrigerators (sm & lrg.)
Microwaves
49.95 up
69.95 up
ETC. - ETC. - ETC. - ETC. - ETC. - ETC.
b
At
The Coin & Ring Man
10:00-5:00 M-F
10:00-3:00 Sat.
On The Corner Below "Fizz
400 S. Evans St.
?'?j'j
752-3866
CLEAR-VUE
OPTICIANS
HOUR
? GLASS ? PLASTIC ? SINGLE VISION
? BIFOCAL ? TRIFOCAL
1 DAY
OPTICIAN
BEECHER 17 years
KIRKLEY "PER.ENCE
Contact Lense
Referral Service
-coupon
i
SINGLE VISION
LENSES
No Frame Purchase Necessary
Plus or minus
3 00 sphere
2 cyi EXPIRES 9-15-88
$12.95
COUPON
1
PROGRESSIVE
BIFOCAL LENSES
Plus or minus
3.00 sphere
2Cv!t EXPIRES 9-15-88
$78.95
COUPON
MEN'S or LAKES SINGLE VISION
LENSES wMASTIC FRAMES
Also Available In Sungles $)
HUM
Plus or minus
3.00 sphere
2Cyi EXPIR1 9-15-88
$26.95
?COUPON
1
MEN'S or LADIES BIFOCAL LENSES
WPLASTIC FUMES
Also
Available In
Sunglass
$46.95
59.50 78mm Straight Too Up To 3 00 Add
Plus O' Minus 3 Spnere And 2 Cyl
EXPIRES 9-15-88
?COL PON
LINE BIFOCAL
LENSES
No Frame Purchase Necessory
Pius or minus
3 00 sphere
2 cyi EXPIRES 9-15-88
36.95
-COUPON
BUDGET DEPARTMENT
FRAMES
Starting
at
$12.95
EXPIRES 9-15-88
COUPON
MEN'S METAL
RIMLESS FRAMES
v? Sing e m on Plastic lenses
Plus or minus
3 00 sphere
2Cy. EXPIRES 9-15-88
$59.95
I
?COUPON
MEN'S or LADIES' BIFOCAL LENSES
AND RIMLESS FRAMES
Plus or minus
3.00 sphere
2 cyi EXPIRES 9-15-88
$79.95
We Can Make Arrangements
To Have Your Eyes Examined
By The Doctor Of Your Choice
-COUPON
LADIES METAL
RIMLESS FRAMES
?? Smgle Vsion Plostic lenses
Plus or minus
3 00 sphere
2 cyi EXPIRES 9-15-S8
59,95
?COUPON
OUR PREP
GLASSES
'36.95
EXriRES 9-15-88
I
HOUftS
t-S So?lM
Later It Apl
CLEAR VUE OPTICIANS
244 SUntonobwrg Road, Stamonobyrg Squr?
752-1446
COUPONS GOOD FOR GREENVILLE STORE ONLY
54 lye ond Above. Ovvrsuc Charge for 54 I ye and Above Tints Extro1
' BUIrwl Ptwtrt firm ?
1 Discount
r P.i' oi
Glasses
COUPON
t
Large Metal Sunglasses
x $37.95
plus tax
EXPIRES 9-15-88
r?
COUPON
Wayfarer
! I
I I
I I
I I
$31.95
EXPIRES 9-15-88 P?US tax
Of 34 ty?
?- -
??
?"?? ??
4vfm,4kmAt ?"??'??? m m ? mmmmm





38
THE EAST CAROLINIAN
AUGUST 23, 1988
ABC's "Frank's Place " wins
best comedy of the year honor

LOS ANGELES (AD ? When
CBS' "Frank's Place" picked up
an award from the Television
Critics Association as best com-
edy of the season ? an honor
shared with ABC's 'The Wonder
Years" ? it was recognition from
the one group "Frank's Place"
doesn't need to win over.
A cheer went up in the room
when the award was announced
at the recent television critics
convention here. But what
"Frank' Place" needs now is view-
ers, not more accolades from the
press, and there have been plenty
of those.
Despite them, "Frank's Place"
hasn't found a very large audi-
ence, becaues it's the kind of non-
?-f?rmuU show-thai takes a while t?
build. It has been in six different
time pcriodsduringitsone season
on the air.
It isn't on CBS' fall schedule.
CBS Entertainment President
Kim LeMasters said he couldn't
find a good enough time slot for it.
Instead, it's being held as a mid-
season replacement.
Meanwhile, there are some
awards being given out this Sun-
day that could translate into view-
ers for the stvlish, sophisticated
warm-hearted series. Its cast and
crew were surprised and de-
lighted when it was nominated
for nine Emmys, including best
corned v.
"It was wonderful said series
star Tim Reid, who was nomi-
nated as best lead actor in a com-
edv. "I feel very
"Yahoo interrupted his wife
and co-star Daphne Maxwell.
"Yeah said ReidYahoo! is
about the only way 1 can explain
the feeling I felt
Reid is co-executive producer
of the series with Hugh Wilson,
who produced the critically
praised "WKRP
Wilson sees similarities be- Harper), a lawyer who hangs out
tween the two shows, because at the Chez, seems to be no match
"WKRP" never got high ratings for tho quick.wiltcd attourncy
during its network run. It's now a (Conchata Farrell) who is rcpre-
popular syndicated scries in re- anting the dead man-s poverty-
runs, stricken family.
"We just had to keep doing Nevertheless, Bubba goes out to
shows they're embarrassed to thc projccts to try to talk to thc
take off the air, even though the widow (Richards). The pivotal
ratings are no good, and thafs scene is a virtual monologue by
been the angle with "Frank's the widow when she finally ad-
Place said Wilson. mits that her laborer husband had
"Frank's Place" is set in the staged his death,
unusual but zesty milieu - a New He was really dying of cancer,
Orleans Creole restaurant. Reid buthad read that a person could
plays a Boston professor who sue a bar for a drunken driving
inhcirits the restaurant, Chez death, and he had hoped to leave
Louisiannc, known affectionately something to his family that way.
as "the Chez" from his late, es-
tranged father, a legend in the
community. -???-?? - -
"It's not your normal, spoon-
fed television said Maxwell.
"You have to listen to 'Frank's
Wilson's account of Richard's
? performance sounds like a plot for
"Frank's Place
"1 knew she had the big speech
at the end, and if it wasn't won-
Place' or you miss it. It's no dog- derful, that was the big trouble
gie-biscuit-cookie 'OK, we're Wilson recalls,
going to laugh now or 'It's time "She came in and we were
to be real quiet now about three hours late, and she
"If just an incredibly different just sat over in the corner and
show she said. "It's more, I smoked Salems he said. "The set
would say, lovely than a hee-haw was very quiet because of the
show. It's enigmatic sometimes, subdued nature of the material,
and everybody was thinkingIf
this woman isn't any good, we're
gonna be in a cold, ugly place
"She came in and started to
rehearse, and I saidWhoa, whoa,
wait a minute She saidDo you
it's poignant. Sometimes, like
-Where's Ed?' it's hysterical
In that episode, the boys from
the Chez played hide-and-seek
with a health inspector with the
embalmed body of a deceased want me to do something differ-
cohort. ent?' I saidNo, 1 just want to
A serious episode, "The shoot this
Bridge garnered Emmy nomi- "So we shot it, long shot mc-
nations for Wilson for writing and dium, closcup, did it three times
for guest star Bcah Richards' act- and she cried in the same place
ing. each time. Harper was having
An elderly customer drives off a trouble doing his lines 'cause he
bridge in a drunken stupor after was so blown out by her
being served at the bar of the "She did it, then we turned
Chez. His family brings suit around and did it for Harper. She
against the bar for allegedly said,Thank you very much got
overserving him, and it looks like up, and the crew burst into spon-
Frank will lose the restaurant. tancous applause, and she
Bubba Weisberc (Robert walked off
Chapel Hill named a retirement city
Carrboro Chamber of Commerce. But Louise Baker, information
Manv decide to move here, she and referral specialist for the
said, and that helps businesses. Orange County Depratment on
She said area businesses are Aging, said more older people
begining to cater more to older will strain an already tight
people instead of their traditional amount of space to hold programs
cUcntshtniniversitvstud
FEELING LOW?
UNCERTAIN?
NEED HELP?
CHAPEL HILL, N.C. (AP) ?
Chapel Hill has made another list
of top-ranked retirement commu-
nities, and that is both a blessing
and a curse, local officials said.
Chapel Hill was ranked first in
Consumer Guide's 160-page
"Best-Rated Retirement Cities &
Towns The study evaluated 100
cities in 16 Sunbelt states based on
12 criteria, including climate, lei-
sure activities, community serv-
ices, health care, housing and
volunteer opportunities.
The list put Sun City, Ariz and
Colorado Springs, Colo second
and third.
The ranking will increase thc
number of people who investi-
gate thc town as a retirement
home, said Sherry Powell, man-
ager of small business and mar-
keting for the Chapel Hill-
Flying mower
astounds folks
CLARKSVILLE, Tenn. (AP) ?
Folks around Fairgrounds Park
who thought they saw a lawn
mower flving overhead weren't
hallucinating.
Not only did Clarksville inven-
tor Freddie Roberts fly the remote
control lawn mower for several
minutes in thc park, he even made
it fly loops, turns and upside-
down.
"I made it for fun and to silence
a few critics who think I'm crazy,
including my wife Roberts, 44,
said Monday.
"Who says a lawn mower can't
fly? This one can fly but it can't cut
grass unless we have a crash
landing
The flying mower, made of
balsa wood and Styrofoam,
weighs less than 5 pounds and is
equipped with a model airplane
engine. It is guided by a model
airplane radio remote control.
Roberts, a model airplane en-
thusiast for 30 years, also flied
gyrocoptcrs, ultra lights and is
getting his pilot's license.
"I plan to build a (remote con-
trol) flying Santa Claus and sleigh
with reindeer for Christmas he
said.
mi
UMtadWMu
Why not come by the REAL Crisis Intervention Center: 312
E. 10th St; or call 758-HELP. For Free Confidential Counsel-
ing or Assistance.
Our Volunteers and Staff are on duty 24 hrs. a day. year
around, in order to assist you in virtually any problem area
you might have. Our longstanding goal has always been to
preserve and enhance the quality of life for you and our com-
munity.
Licensed And Accredited By The Slate of North Carolina
georges
hair designers
CO
te
.?
ot
2X1
?
?JJO
&

1
i
:??:?:?:

e
CO
,tv
S&
lotv
n&'
&?
Open til 9 p.m. The Plaza
r
" $2.00 Off
All Haircuts
With This Ad
i
Open til 9 p.m.
Expires 9-30-88
W
Aoy
?rCord)
VtSA
DOWNTOWN
Dickinson Ave. & Reade Circlp
Hours:
MonThurs. 9:30-5:30
Fri. & Sat. 9:30-6:00
J8
G?
vx
EASTGATE
PLAZA
Across From Hwy Patroi Station
Hours:
MonSat. 9:00-8:00
Sunday 1:00-6:00
Apply today tor your
Whites Charge Card!
Up To $150.00
Instant Credit Available!
C0
v
PASSPORT.
JOHN Q. PUBLIC
swiils' ?"
i'
TfWrangJer
Sa.1-
Wrangler
Jeans
Straight leg
and boot cut
THE
LEGENl
LIVES1
ON
DUCK HEAD Slacks
?100 cotton twill
?Sizes 28 to 42
?
QconVERSE
'7'
?
CONVERSE
TENNIS
SHOES
? In hi and lo cut. Great for
campus casual wsari

sV
? MR

Jeans
for him
and her!
Ladies Chic
Clothing
?Jeans
?Skirts
?Twills
?Other Dress
Styles
The Plaza
Sheet Sets ? Pillows
? Pillow Cases
? Towels
? Cooking Utensils
? Cookware
? School Supplies
? Munchies ? and
everything
else you need for
school!
h.
li
H
n
a)
h.
(s
St
L
nr
rr
ic
n
b
S
R
1
B
v
ai
i
et
01
w
ti?
tx
Cc
bl
e
sr
th
Bowl
MCCOMB M
Allen Bowlin I
Original
and lest art)
appiar ? ?
? s, he claii
- ghl topi
"Tain I i
name but i
r tired I
i its '
i ml
?
.
I .
?
"It li
I ?
I I
? ?
Out :
? I

-
i
? -
Horsle
31
dt
th
I
Q
be
US
Lh
si
.
?
?
-a
M.
It
bu
be
ye
?
sol
COI
lag
th?
i
ph
tea
1
ret
bat
?r h a take
i ior v .j
rini r rms
5 ? "
- - -
-
it!
1
-
1 Valerie's r
quits TV si
. OS vn
alerie
larpei
????:???
? ? -
pat
tot
the
He
inj
ing
Atl
191
C- di -k ar i
tt:v? '
V
j) teshtied
in flK ti
f
tl the b
after he
enb rt
star w as
- gi Bioyetl
qm re w
pal Aith NV.?
ji Tom ?.
as t ecutiv
fort the spi
Atl weeks tx
ear v was I
iml "It was a -
six I rure concern n rr
tryl Valerie b
S, about her as
rur Lorimar e
mat Hafperand k
thc ter in the show. I'll
colt sued her for br
had anv sne a
s wrongful dis
insi aro before a Supei
T the actress la
has waBaperfectioi
Eas deliver the 1
will her audience I
that creative control was
ECl sue of dispute.
kinl





)
t
38
THE EAST CAROLINIAN
AUGUST 23,1988
ABC's "Frank's Place " wins
best comedy of the year honor
LOS ANGELES (AP) ? When
CBS' "Frank's Place" picked up
an award from the Television
Critics Association as best com-
edy of the season ? an honor
shared with ABC's "The Wonder
Years" ? it was recognition from
the one group "Frank's Place"
doesn't need to win over.
A cheer went up in the room
when the award was announced
at the recent television critics
convention here. But what
"Frank' Place" needs now is view-
ers, not more accolades from the
press, and there have been plenty plays a
of those. inheirits
Wilson sees similarities be- Harper), a lawyer who hangs out
tween the two shows, because at the Chez, seems to be no match
"WKRP" never got high ratings for the quick-witted attourncy
during its network run. It's now a (Conchata Farrell) who is repre-
popular syndicated scries in re- scntjng tne dead man's poverty-
stricken family.
runs.
"We just had to keep doing
shows they're embarrassed to
take off the air, even though the
ratings are no good, and that's
been the angle with "Frank's
Place said Wilson.
"Frank's Place" is set in the
unusual but zesty milieu - a New
Orleans Creole restaurant. Reid
Boston professor who
the restaurant, Chez
Despite them, "Frank's Place'
hasn't found a very large audi- as "the Chez" from his late, es-
ence,becaues it's the kind of non- tranged father, a legend in the
???formula sho wthattakes a whilet
build. It has been in six different
time periods during its one season
on the air.
It isn't on CBS' fall schedule.
CBS Entertainment President
Kim LeMastcrs said he couldn't
find a good enough time slot for it.
Instead, it's being held as a mid-
season replacement.
Meanwhile, there are some
awards being given out this Sun-
day that could translate into view-
ers for the stylish, sophisticated
warm-hearted series. Its cast and
crew were surprised and de-
lighted when it was nominated
for nine Emmys, including best
comedy.
"It was wonderful said scries
star Tim Reid, who was nomi-
nated as best lead actor in a com-
edy. "I feel very
"Yahoo interrupted his wife
and co-star Daphne Maxwell.
"Yeah said RcidYahoo! is
about the only way I can explain ?V? ? mebof "the
the feeling I felt
Reid is co-executive producer
of the series with Hugh Wilson,
who produced the critically
praised "WKRP
Nevertheless, Bubba goes out to
the projects to try to talk to the
widow (Richards). The pivotal
scene is a virtual monologue by
the widow when she finally ad-
mits that her laborer husband had
staged his death.
He was really dying of cancer,
buthad read that a person could
sue a bar for a drunken driving
death, and he had hoped to leave
Louisianne, known affectionately something to his family that way
Wilson's account of Richard's
? performance soundslikeaplot for
"Frank's Place
"I knew she had the big speech
at the end, and if it wasn't won-
derful, that was the big trouble
Wilson recalls.
"She came in and we were
about three hours late, and she
just sat over in the corner and
smoked Salems he said. "The set
was very quiet because of the
subdued nature of the material,
and everybody was thinking, If
this woman isn't any good, we're
gonna be in a cold, ugly place
"She came in and started to
rehearse, and I saidWhoa, whoa,
with a health inspector with the wait a minute She said,To you
embalmed body of a deceased want me to do something differ-
cohort. ent?' I saido, I just want to
A serious episode, "The shoot this
Bridge garnered Emmy nomi- "So we shot it, long shot, me-
nations for Wilson for writing and dium, closeup, did it three times
for guest star Beah Richards' act- and she cried in the same place
ing. each time. Harper was having
An elderly customer drives off a trouble doing his lines 'cause he
bridge in a drunken stupor after was so blown out by her
"She did it, then we turned
Chez. His family brings suit around and did it for Harper. She
against the bar for allegedly said,Thank you very much got
overserving him, and it looks like up, and the crew burst into spon-
Frank will lose the restaurant. taneous applause, and she
Bubba Weisberg (Robert walked off
community.
"It's not your normal, spoon-
fed television said Maxwell.
"You have to listen to 'Frank's
Place' or you miss it. If s no dog-
gie-biscuit-cookie 'OK, we're
going to laugh now or If s time
to be real quiet now
"If just an incredibly different
show she said. "Ifs more, I
would say, lovely than a hee-haw
show. Ifs enigmatic sometimes,
ifs poignant. Sometimes, like
'Where's Ed?' ifs hysterical
In that episode, the boys from
the Chez played hide-and-seek
Chapel Hill named a retirement city
CHAPEL HILL, N.C. (AP) ?
Chapel Hill has made another list
of top-ranked retirement commu-
nities, and that is both a blessing
and a curse, local officials said.
Chapel Hill was ranked first in
Consumer Guide's 160-page
"Best-Rated Retirement Cities &
Towns The study evaluated 100
cities in 16 Sunbelt states based on
12 criteria, including climate, lei-
sure activities, community serv-
ices, health care, housing and
volunteer opportunities.
The list put Sun City, Ariz and
Colorado Springs, Colo second
and third.
The ranking will increase the
number of people who investi-
gate the town as a retirement
home, said Sherry Powell, man-
ager of small business and mar-
keting for the Chapel Hill-
Flying mower
astounds folks
CLARKSVILLE, Tenn. (AP) ?
Folks around Fairgrounds Park
who thought they saw a lawn
mower flying overhead weren't
hallucinating.
Not only did Clarksville inven-
tor Freddie Roberts fly the remote
control lawn mower for several
minutes in the park, he even made
it fly loops, turns and upside-
down.
"I made it for fun and to silence
a few critics who think I'm crazy,
including my wife Roberts, 44,
said Monday.
"Who says a lawn mower can't
fly? This one can fly but it can't cut
grass unless we have a crash
landing
The flying mower, made of
balsa wood and Styrofoam,
weighs less than 5 pounds and is
equipped with a model airplane
engine. It is guided by a model
airplane radio remote control.
Roberts, a model airplane en-
thusiast for 30 years, also flied
gyrocopters, ultra lights and is
getting his pilot's license.
"I plan to build a (remote con-
trol) flying Santa Claus and sleigh
with reindeer for Christmas he
said.
Carrboro Chamber of Commerce
Many decide to move here, she
said, and that helps businesses.
She said area businesses are
begining to cater more to older
But Louise Baker, information
and referral specialist for the
Orange County Depratment on
Aging, said more older people
will strain an already tight
people instead of their traditional amount of space to hold programs
clientsheuniveratYStudmso
FEELING LOW?
8
NEED
Why not come by the REAL Crisis Intervention Center: 312
E. 10th St; or call 758-HELP. For Free Confidential Counsel-
ing or Assistance.
Our Volunteers and Staff are on duty 24 hrs. s day, year
around, in order to assist you in virtually any problem area
you might have. Our longstanding goal has always been to
preserve and enhance the quality of life for you and our com-
munity.
Licensed And Accredited By The Slate of North Carolina
:?:?? y. ?:?:?;?;? X- :?:?.?:? ? x-x ?
m
?georges?
hair designers
Co
??
&
?
jo
tf

&
f
e?
C?
?
&
AO?

3,0?
?:
I
Open til 9 p.m. The Plaza
" $2.00 Off
All Haircuts
With This Ad
W
wu1
6rpo?)
VISA
DOWNTOWN
Dickinson Ave. & Reade Circle
Hours:
MonThurs. 9:30-5:30
Fri. & Sat. 9:30-6:00
$&
EASTGATE
PLAZA
Across From Hwy Patroi Station
Hours:
MonSat. 9:00-8:00
Sunday 1:00-6:00
Apply today tor your
Whites Charge Card!
Up To $150.00
Instant Credit Available!
G?
j&
PASSPORT-
For Cr??( Cluian M
uimiUKMit ai'llltwi
JOHN Q. PUBLIC
tangjer
'fii.
traight leg
id boot cut
THE
LEGENl
LIVES'
ON
!?
DUCK HEAD Slacks
?100 cotton twill
?Sizes 28 to 42
QconvERSE
CONVERSE
TENNIS
SHOES
?In hi and lo cut. Great for
campus casual waarl

TA ??
?MI

Jeans
for him
and
? ?
J Ladies Chic
Clothing
?Jeans
?Skirts
?Twills
?Other Dress
Styles
M.
Sheet Sets ? Pillows
? Pillow Cases
? Towels
? Cooking Utensils
? Cookware
? School Supplies
? Munchies ? and
everything
else you need for
school!
M
st
tl
Bowli
MCCOMB, Miss. (AP)
Allen Bowlin bills himself
Original Rhinestone Co
and lest anyone suspect t
sissippian is just telling
tales, he claims to have th
right to prove it.
"Tain't nobody can clai
name but me the 78-y
retired auto mechanic say
points to a signpost outs
Beautiful Holy jewel Horn
Original Rhinestone Cowt
Both the inside and out
the home and just about
thing else on his propertv
off U.S. 51 are covered wit
and tinsel fashioned into (
designs by Bowlin.
"It came to me all in a c
Bowlin said. "I bought thi
and had it all worked ov
ain't never seen nothing U
Outside, the small alu
sided house is painted ii
designs accented with
Tinsel, lights, and Christ
naments hang from the
along with the sign ann
the house's name that Bow
is a Biblical reference.
Inside Bowlin's home
surface but the floor is gl
glittered with intricate, Azl
patterns. Even the 100-y
poster bed and dresser b
artistic mark.
"Artists can't do this
boasts of his work under
$ Horslel
NEW YORK (AP) ? W
Horsley was starring ii
Houston it just wasn't d
TV actor to cross over inl
"Now seems to be ti .e
ful time to cross over froi
sion into feature films. E
seems to do it said Horsl
will star this season in
Western, "Paradise
"Back when 'Houston'
theair,you couldn'tget ai
vou were on television,
unheard-of. No one wouj
you. That was tough. G
and trying to have a featuj
af umjiiavin' ?8J?isioi
hplej0vouiciill li
over mto lea rufcTfTms.
in the cult favorite 'Th
and the Sorcerer but o
found TV miniseries,
"Crossings and theaM
available. He was interv
N'ew York recentlv duni
with "Mack and Mabel'1
Jersey.
Horsley became popul
detective series "Matt Hj
but actually started out n
theatre, appearing in
productions oi "West SiJ
"Oklahoma and "1776J
i others.
He was bom in quaint
Mulcshoc, a small Wei
Valerie's
S quits TV si
in
1
A
1
LOS ANGELES lAP)j
months of battles on t
"Valerie actress
Harper's husband cleanj
desk and announced, "
ting nowhere. We're oii
We're off the show a
testified.
Robert Boyett, testifyil
in the trial of Lorimar's
contract suit against Mis
said the blowup came t
after he implied
entertainer's husband
star was having emoti
leros and should seek
B?yett, who produ
erie" with a partner,
wih Miss Harper's
Tony Cacciotti. who j
ecutive producer of the
the spring of 1987,
wefcks before Caeciot
wi? was through withj
'It was a conversat
pure concern on my
1 Valerie Boyett said
gl about her as a human P
D13 Lprimar eventually
5naj Hafpcr and killed off 1
thg, ter?in the show. Ultin
coll suetf her for breach
14 an4 she countersuedl
son wrongful dismissal.
insi are-before a Superior
Tl the actress' lawyer
has! was aperfectionist whj
Ea$ deliver the best show'
will her audience. He suj
that creative control was
EO sue of dispute,
kinl
a
s
q
as
fo
A
ea
im
six





THE EAST CAROLINIAN
AUGUST 23,1988 39

Hwy Patroi Station
fours:
at. &00-8:00
if 1:00-6:00
y today tor your
s Charge Card!
To $i 50.00
Credit Available!
ASSPORT-
- ? - .
MN Q PUBL.
HEAD Slacks
Ictton twill
to 42
Lee
Jeans
for him
and her!
lets ? Pillows
w Cases
lowels
ng Utensils
?okware
Supplies
hies ? and
thing
lu need for
hool!
Bowlin a glittering cowboy
10 Off Any Fall Top With
This Ad till September 30
MCCOMB, Miss. (AP) ? Loy
Allen Bovvlin bills himself as the
Original Rhinestone Cowboy,
and lest anyone suspect the MIs
sissippian is just telling glittery
tales, he claims to have the copy-
right to prove it.
"Tain't nobody can claim that
name but me the 78-year-old
retired auto mechanic says as he
points to a signpost outside his
Beautiful Holy Jewel Home of the
Original Rhinestone Cowboy.
Both the inside and outside of
the home and just about every-
thing else on his property located
off U.S. 51 are covered with glitter
and tinsel fashioned into original
designs by Bowlin.
"It came to me all in a dream
Bowlin said. "I bought this place
and had it all worked over. You
ain't never seen nothing like it
Outside, the small aluminum-
sided house is painted in bright
designs accented with glitter.
Tinsel, lights, and Christmas or-
naments hang from the caves
along with the sign announcing
the house's name that Bowlin says
is a Biblical reference.
Inside Bowlin's home, every
surface but the floor is glued and
glittered with intricate, Aztec-like
patterns. Even the 100-year-old
poster bed and dresser bear his
artistic mark.
"Artists can't do this Bowlin
boasts of his work under a pains-
takingly designed ceiling created
with paper cut-outs and glitter
glued onto tile-size pieces of
poster board.
"Other artists ha ve told me they
can't do this work he says.
"They say one million dollars
wouldn't do the artwork in this
house
"I can lay down at night, and
believe it or not, these designs
come to me
Five years of labor have been
put into the house's designs, he
says, and he works from eight to
10 hours a day.
"I work a lot on Sunday, too. I
get lonesome Bowlin says. "If I
didn't have something to do, I
wouldn't live no time. When you
get as old as I am, you just keep
going
Bowlin estimates he has used
about 100 pounds of glitter for his
decorations. Although he hasn't
kept track of how much his art-
work has cost him in materials, he
says he probably spends about
$50 to $60 per month ? almost 20
percent of his retirement income
? on paper, glitter, and glue.
The cowboy himself gleams
from his stone-studded hat to his
glittered tap-heeled boots. When
he grins at you, the rhinestoncs in
his teeth tell you he's not foiling
around about living up to his
name.
But before Bowlin even bought
the house eight years ago, he was
already a Mississippi first. His
lawyer, he says, helped him copy-
right his claim as the Original
Rhinestone Cowboy in 1977.
And Glenn Campbell, re-
nowned for singing the song
"Rhinestone Cowboy called
several yars ago "to tell me he was
glad there was someone who was
called the Rhinestone Cowboy
Bowlin says.
He does consider himself a real
cowboy since he grew up on a
cattle farm in Franklin County,
but Bowlin credits his nickname
to a flcsh-and-blood lady of fate.
He go this name in 1974, he says,
"on account of a beautiful girl. She
said, 'Mr. Bowlin, you ought to
get yourself some rhinestoncs
He did, and when he wore his
rhinestone cowboy suit uptown,
"everyone hollered Rhinestone
Cowboy he says.
Bowlin says in the past few
years he has been the subject of
television shows and articles, but
visitors who drive down the nar-
row road in front of the house are
sometimes too shy to visit.
"People will stop and stick the
camera out of the car window at
the house, but they don't come
in he laments.
Folks in McComb don't have to
drive by Bowlin's house to be
reminded of their flashy neigh-
bor. When he drives through
town in his Cadillac, the shiny
hubcaps, sequin trim, and glit-
tered dashboard tell the whole
story.
"It's got everything but the
cookstove he says proudly of
the 21-year-old car, which he has
owned only a few months. "It's
got revolving seats, air condition-
ing, and a two-speaker radio
Just in case anyone's not sure
about who'sbehind the wheel, the
aqua-blue Caddy has Bowlin's
tile scrolled across the driver's
side door.
But it's the house, not the
clothes and the car, that Bowlin is
most proud of.
"It's the good Lord's work
through me he says. "The Lord
directed me and showed me the
designs in a dream
Bowlin says there's still two
more years' worth of work to do in
the house.
"I'm working in that house all
the time he says. "I just get worn
out. People say they never seen
anyone who has the constitution I
do
He claims he's a man of little
education but with the great gifts
of faith and artistic vision.
"I'm sure thankful for it he
says, "I told people they could
laugh if they want to, but I'm
going to do something. I'm not
ashamed of it, neither
698-A- Arlington Blvd. ? Greenville, N.C
Open Monday Saturday 10 6 1S tUso
Welcome Back E.C.U. Students!
Hor sley to star in TV's 'Paradise'
NEW YORK (AP) ? When Lee
Horsley was starring in "Matt
Houston it just wasn't done for a
TV actor to cross over into films.
"Now seems to be the wonder-
ful time to cross over from televi-
sion into feature films. Everbody
seems to do it said Horsley, who
will star this season in the CBS
Western, "Paradise
"Back when 'Houston' was on
the air, you couldn't get arrested if
you were on television. It was
unheard-of. No one would touch
you. That was tough. Going out
and trying to havea feature career
attar havinaolwisionhowJ'
Hjprsleayroulctin lite tft?r,Q?s
over intoTeatufeTTlms. He sTafrecf
in the cult favorite 'The Sword
and the Sorcerer but otherwise
found TV miniseries, such as
"Crossings and theater more
available. He was interviewed in
New York recently during a run
with "Mack and Mabel" in New
Jersey.
Horsley became popular in the
detective series "Matt Houston
but actually started out in musical
theatre, appearing in the road
productions of "West Side Story
"Oklahoma and "1776 among
others.
He was born in quaintly named
Mulcshoe, a small West Texas
Valerie's man
quits TV show
LOS ANGELES (AP) ? After
months of battles on the set of
"Valerie actress Valerie
larper's husband cleaned out his
desk and announced, "We're get-
ting nowhere. We're out of here.
We're off the show a producer
testified.
Robert Boyett, testifying Friday
in the trial of Lorimar's breach of
mtract suit against Miss Harper,
v. id the blowup came two weeks
after he implied to the
entertainer's husband that the
star was having emotional prob-
lems and should seek help.
Hoyctt, who produced "Val-
e" with a partner, said he met
with Miss Harper's husband,
Tony Caccioth, who was co-ex-
ecutive producer of the show, in
the spring of 1987, about two
weeks before Cacciotti said his
wife was through with the show.
"It was a conversation of just
pure concern on my part about
Valerie Boyett said. "1 cared
about her as a human being
Lorimar eventually fired Miss
Harper and killed off her charac-
ter in the show. Ultimately they
sued her for breach of contract
and she countersued them for
wrongful dismissal. Both cases
are before a Superior Court jury.
The actress' lawyer has said she
was a perfectionist who wanted to
deliver the best show possible to
her audience. He suggested that
creative control was the chief is-
sue of dispute.
town, but raised in Colorado and
considers it home, though he and
his family live in Los Angeles.
He's an avid horseman and had
wanted to do a Western "for-
ever
"I've just been crazy for the
Western to comeback, and I hope
that this is a ticket to it. I really
hope it will work
Horsley plays Ethan Cord, a
mysterious former gunfighter
who inherits his late sister's four
children, sent to him in the de-
pressed mining town where their
mother thought he was a success-
ful merchant.
The romantic interest is a local
Liusinesswoman, played by Sigrid
Thornton (of "The' Man from
Snowy River"), who is cool to-
ward Cord but begins to warm
toward the children.
"This particular show, the rea-
son it's so exciting is it really has
all the elements I like Horsley
said. "It has that possibility of
going in all those directions ? the
good guy and the bad guy, the
Code, the relationship with the
kids. There's so many wonderful
ways to round it out that I think is
real special, so I'm real excited.
"To be able to work with two of
my favorite things, kids and
horses, that's not all bad either.
It's outdoors, which I love. I'm a
littlcbitclaustrophic. The thought
of going back to episodic televi-
sion and being on a soundstage
seven days a week did not appeal
to me
The show will have an uphill
battle in the ratings. CBS is put-
ting it on Thursday against NBC's
hit comedy line-up. It's lead-in
will be the CBS News documen-
tary series "48 Hours which
hasn't scored very high in the rat-
ings.
David Jacob ?j&Rj
co-crcatecrTar
'They do r ok like cowboys,
so I got a little concerned Hor-
sley joked. "But the dialogue is
right on the money. It's better
than anything I've ever come up
with as far as the flavor, and being
a Western buff myself, there's not
too much that gets by
The show seems to have
elements of "Shane" in it, not to
mention the potential for the
subtle romance of "Gunsmoke































THE SEARCH IS ON FOR ECUS jf.







AND
MIKE MAN
1
Super Fun






All Interested People Should Meet In The Lobby At Minges On y







Be A Part Of ECU's Most Exciting Sport ? Excellent Opportunity
To Travel ? Meet New People
Super Challenge!
Monday August 29th ? 5:00 P.M.
COME DRESSED TO PRACTICE!
FOR ADDITIONAL INFORMATION CALL 757-6491
Porter
ALL BOOKS
50 off
CrispeCCs
Cover to Cover
412 Evans St.
(Next to Bissette')
830-8944
MonFri. 10-6
Sat. 10-3
BUD LIGHT
Welcome Back ECU
Students & Staff
AskforBud
mm





J
40
THE EAST CAROLINIAN
AUGUST 23,1988
Cajun cook grabs acclaim
CONVENT, La. (AP) ? Just
five minutes away from Jim
Hymel's nondescript seafood res-
taurant on the Mississippi River,
celebrated chef John Folse grabs
national publicity with his Cajun
cuisine. Hymel smiles and ladles
out seafood that has drawn city
folks to this spot in nowhere for 20
years.
"Folse is a good promotor, a
good publicity man said the 63-
year-old Hymel. "Me, I don't
need that
Hymel's depended on word-of-
mouth, and the word spread to
Baton Rouge years ago. Custom-
ers thought nothing of the 40-
minute drive to Convent for food
that good.
"I don't cater to the tourist
trade he said. "A few stop by
driving the river road to see the
antebellum mansions but 1 don't
do the kind of advertising neces-
sary to draw them.
"I started advertising a little a
few years ago when the Legisla-
ture passed the tough DWI laws. I
guess my business dropped off 20
percent. Some of my Baton Rouge
customers didn't want to chance
the drive with beer on their
breath. But, business now is the
best it's been in three years
Baton Rouge is the home of two
famous seafood establishments
that have branched to the New
Orleans French Quarter ? Mike
Anderson's and Ralph & Kacoo's.
Before they expanded, they
came to Jim Hymel for advice.
"Mike came be for advice and
Ralph wanted me to show him
how to fry softshell crabs said
Hymel. "That was fine. I learned
from a restaurant man in New
Orleans years ago
Up the river road four miles
from Hymel's and right across the
Sunshine Bridge to the west bank,
Folse's establishment serves
grand food with a continental
French flavor in stylish surround-
ings.
Back in convent ? a speck on
the map ? Hymel's draws those
who are prepared to roll up their
sleeves for heavy duty eating on
tables covered by butcher paper
to handle the shell wreckage from
crabs, shrimp, crawfish and oys-
ters.
They quaff down beer or tea
from 24-ounce mugs known af-
fectionately as fish bowls ? best
handled with two hands.
Open at nights only on Thurs-
day through Sunday, the restau-
rant serves an average of 300 cus-
tomers during the dinner hours
alone.
"The best thing I go going is that
I cook just like I cook at home'
said Hymel. "Nothing is pre-
cooked. The seafood is fresh or at
least 90 percent of it. We're not
professional here. We're just fam-
ily
A stark brick building with at-
tached gas station, the restaurant
squats right across the narrow
river road from the levee protect-
ing residents from Mississippi
River floodwatcrs.
In back of the building is
Hymel's one-acre garden which
assures customers of fresh-
picked vegetables during the
spring and fall seasons.
Once, 20 percent of the seafood
sold at Hymen's at night was
caught by Hymel during the
morning hours.
"I've got a shrimp boat and a
deep sea fishing boat but I'm not
using them much these days he
said.
Once, Hymel and a few of his
cronies would go out to catch 500
to 600 pounds of fish. "Now I have
trouble getting a crew because
most of my good friends have
died said Hymel. "And, I don't
think commercial fishing will
ever come back like it was
Louisiana has banned commer-
cial fishing of redfish and has re-
stricted the catch of speckled
trout.
"We can get the shellfish but I
tell you, one day the prices of
seafood will be more than meat
hesaid. "I see it coming. Everyone
likes seafood because it's light,
good for the diet and cheaper than
meat. Enjoy it while you can
Hymel said he's ready to turn
the buisness over to his 38-ycar-
old son.
"My wife really doesn't want
me to. I don't think she wants me
to loaf but I've got plenty to do.
I've got the garden and I'm fixing
up our home
Any regrets?
"Naw. I once said maybe I
should have gone big like Ralph &
Kacoos But look at all the head-
aches. It'sa tough world out there.
You know, you marry your busi-
ness and you marry your wife.
llllininilllllllllllMIIIIIIIIIIIIIIIIIIIIIIIIIIIIIIIIIIIIIII4444444
:
HAIRGRAPHICS
236 Greenville Boulevard
Behind Tipton Annex
Donna Phillips and Dora Bower
(formerly of Scissorsmith)
cordially invite you to visit them
at their new loction on 236
Greenville Blvd.
behind the Tipton Annex.
355-3015
3 Bring ad in and receive $2.00 Haircut
iiiiiiiiiiiiiiiiiiimiMiiiiiniiiiiiiiiiiiiiiiinm
iiiiiiiiiini;
Young geniuses study in Duke program
DURHAM (AP) ? Like any 11-
year-old, Lenny Ng wears high-
top gym shoes and soccer jerseys,
he's never driven a car and he
doesn't like girls.
But unlike his peers, he scored
perfect 800s on his Scholastic
Aptitude Test, and this summer
he took a doctorate-level math
course with other gifted young-
sters in Duke University's Talent
Identification Program.
"He's real smart acknowl-
edged fellow student Matt Ses-
sions, 14, of Knoxville, Tenn a
rising eighth-grader who
absorbed a year's worth of college
french in three weeks.
"Everybody's smart here.
Everybody's a nerd here said
Lisa Turner2, a computer sci-
ence prodigy from Mobile, Ala-
These ar6 mctuturrscfehtists,
pfolosoRfrfljr.s yhQljtffrwwd lead-
ers of their generation, say educa-
tors who selected the 865 young-
sters from the top one-half of one
percent of their age group to
spend three summer weeks at
Duke.
Thev came from 35 states and
J
three countries, boys and girls
mostly ages 12 to 16 whose intel- sion. About 40 percent of students
Iectual peers were often adults recieve financial aid. The last ses-
and whose potential might never sion this summer ended Aug.13.
have been tested at their home- "It's tough said Dave Spano,
town schoos. the program's residential direc-
"Tho purpose is to give them tor. "I mean, some of them proba-
the challenges they need to keep bly coast along on sheer brain
them intellectually alive said power. But most are likecollege
executive director Robert Sawyer.
Selected from about 46,000 sev-
enth through 10th-gradcrs, the
youngsters scored in the top 3
percen t oi their age group on stan-
dardized tests and thetopquartcr
on college entrance exams.
These are intellectual heavy-
hitters said Sawyer, a former
junior-high math teacher who
founded the program in 1980,
now one of four in the nation.
"But they're also kids, too.
When they get into junior high
and high school, they can get lost.
They might feej social pressure to
lor. three weeks. They .cover up to
a year's worth of college-level
knowledge in a single subject
such as Chinese, statistics, ancient
Greek history and astronomv.
Teachers are college professors
or graduate students. The pro-
gram holds two three-week ses-
sions a summer at $1,250 per ses-
Carrier steals tons of mail
MILTON Ha. (AP) ? Tons of
magazines, circulars and free mail
samples, some more than three
years old, were found in the home
of a mail carrier, but his customers
apparently never missed the
missing mail, officials said.
"I've seen this type of thing
before, but never of this magni-
tude said postal investigator
Richard Jordan. Right now,
we're overwhelmed
Authorities responding to a tip
from a neighbor raided the
carrier's home Monday and
found the undelivered mail, some
of it badly deteriorated, piled in
the house, packed into a storage
shed and littering the surround-
ing woods.
Investigators were still hauling
away mail by the truckload
Thursday and could give no esti-
mate of how much had been
seized, except that it was in the
tones.
Jordan said about 16 trash bins
full of mail remained to be col-
lected today
The name of the mail carrier
was not released, but he works
out of the Pensacola office and
lives in Milton. He has been
placed on administrative leave
pending charges, officials said.
"We amazed ourselves when
we found more today Jordan
said Thursday after a trek in the
woods surrounding the house.
Examples of the bulk mail in-
cluded sweepstakes envelopes
and diaper samples.
Investigators are sorting the
mail and contacting each mailer to
see if they still want it delivered.
The rest will be destroyed.
"We hate to destroy it, but some
is just undeliverable. It's some-
thing I never thought I'd sec
Jordan said.
Pensacola Postmaster Ben Jasck
said he was surprised the carrier's
500 rural customers didn't notice
any mail missing. The post office
never received any complaints to
tip them off, he said.
"This is a fluke. All I can say is
that rural carriers are kind of their
own entity he said.
students - they have to buckle
down and study
He said one youngster was dis-
covered in a dormitory closet,
cramming with a flashlight at 4
a.m. Others had been known to
try the same thing under their
bedcovers after "lights out
In fact, aside from their IQs,
which range from 140 to 200, the
students tend to be much like
adolescents at summer camp ?
plagued by homesickness, lack of
discipline, rivalries and self-con-
ciousness, say counselors.
-It'a-vMecievin$ said
Leslie Qrysh, a psychologist and
the program's counselorYou
think you're talking to your peers.
Then I drove a few kids to West
campus. They were fascinated by
the stick shift on my car
"I mean, they don't even drive
A counselor told of the time an
administrator came upon TIP
MARATHON
RESTAURANTS
Greek Owned & Operated Since 1979
Delivery Hours
Mon. -Fri. 4-11
Sat. -Sun. 11-11
SUBS
GREEK DISHES
SANDWICHES
SALADS
PIZZA
GREEK PASTRIES
'Best Deal in Town"
752-0326
or
752-3753
560 Evans St.
students tnrowing a hnsbce on
:he campus line. With each toss of
he disk, a teen-ager would yell
3U t his or her SAT scores, she sa id.
One homesick 11-year-old boy
"rom Japan brought his teddy
x;ar with him to the Duke Marine
i-aboratory in Beaufort, where
IIP offers a course in advanced
pre-calculus.
But for some, there's relief at
being with equals.
"It feels good because it's nice to
be able to hold a decent conversa-
tion Turner said over lunch in
the school's cafeteria last week.
Added 13-year-olds Wendy
Shaffer of Orlando Fla and
Christine Moritz of New York, in
chorus, "People get your jokes
Comfort
Inn
Welcome Back New and
Returning Students!
$33 Single with Free Full Breakfast Buffet ($5.00 Value)
Meeting Rooms and Banquet Facilities
Group Rates Available
Relax In Our Cocktail Lounge ($1.00 Draft)
756-2792
(1-800-228-5150)
301 S. E. Greenville Blvd. (264 Bypass)
Approximately 1.5 miles from campus
Ibo's 20th Anniversary
Tues: Shot Night - your favorite liquor shot $1.00
Wed: Hunt the lizard man - Try our new lizard man drink
Thur: Ladies Night - Ladies free all night
Fri: The famous "Late Day Tea Bash"
5 p.m. - 2 a.m. $2.00 Ice Teas
and free admission for all until 9:00
Sat: Dance Party - Featuring the best in dance music
Sun: Kamikaze Night ? $1.00 Kamikaze Shots
Free Admission for everyone before 10:30 SunThur.
Elbo is a private club for members and guests only.
Membership special $1.00 now thru Sept. 1, 1988
Coming Soon
7 new 16 oz. Frozen Drinks every night -
featuring $2.00 dacquiri's
Coming August 31st
18th Annual Elbo - Sweet Willie's Bikini Contest. $200 in
cash and prizes to be given to the best bikini.
"Sesa
LOS ANGELES (AP) - The
season of PBS' "Sesame Str
beginning this November,
lead up to the birth of a bah
Maria and Luis, two of the chi
ters who marncd last season
This season will also marl
20th anniversary of two of
show's charter cast meml
singer-actor Bob McGrath
Caroll Spinney, the man ml
Big Bird.
They recalled their beg i
on the now historic PBS childr)
series at a recent news conferef
"When I first heard ah
didn't think I wanted to bj
volved with a new childi
show, because there was noli
thatexcitingintermsofc' I
shows at that poii
McGrath, who had been fcati
on the Mitch Miller si
joined "Sesame Street in
"But when I saw some of the
and animation that Jim
Novelist
Bond sequ
BLOXHAM, ENGLAJ
John Gardner is not jus! a th
writer but a master of a very
cial art: the posthumous scqti
At his home in this I I
lage west of London, the j
old author writes lam - Efl
novels, having picked
007's creator. Ian Fleming, k
when he died in 194
While American writer Ale
dra Ripley is just beginnii
sequel to Margaret M
"Gone With the Win I
has alreadv turned out
Bond novels, each a
the United States. The
cent, "Scorpius is in the its
consecutive week on I
York Times best-seller List
"It was a challenge, a
honor Gardner r.
decision to accept a p
offer in 1979 to write a
quel.
He had already mad
with his books about the a
turer Boysie Oak
cloak-and dagger yarr
Dancing Dodo" an I
tradamus Traitor He
written two novels fca
erlock Holmes' nemesis,
Bruce Willi:
parent eight
LOS ANGELES (AD- vi
lighting" star Bruce V
actress Demi Moore tx
parents of a baby girl , a sp(
man said.
Theas-yet unnam
1 ounce girl was delh
Paducah, Ky hospital
after 5a.m. PDT (7 a.m.
spokesman Paul Bloch -
Bloch said Willis was al
wife's side during th
childbirth and that the bab
her parents left the ur.tdenj
hospital within three hours.
"We are ecstatic Willis, v
in Kentucky filming a m
quoted as saying. "The bal
very happv and healthy
Willis, 33, and Miss M
xjl JV Jl
ART
"Welcoi
ALL YOU C
Served with Fr
Cole SI
SERVED THIS
11
79





fi 111 r I n 11111 m I
- i
GRAPHICS
Ieenville Boulevard
Ind Tipton Annex
Dora Bower
jsorsmith)
to visit them
lion on 236
Blvd.
ton Annex.
)
15
'9 $2.00 Haircut
1 i i?1.i.i?lililltti
New and
tudents!
ist Buffet ($5.00 Value)
iquet Facilities
railable
nge ($1.00 Draft)
92
150)
l (264 Bypass)
from campus
I
rsary
shot $1.00
:ard man drink
II night
lash"
:00
lance music
:e Shots
10 SunThur.
lests only.
It. 1, 1988
light-
intest. $200 in
it bikini.
THE EAST CAROLINIAN
AUGUST 23,1988 41
"Sesame Street" turns 20
LOS ANGELES (AP) - The 20th
season of PBS' "Sesame Street"
beginning this November, will
lead up to the birth of a baby for
Maria and Luis, two of the charac-
ters who married last season.
This season will also mark the
20th anniversary of two of the
show's charter cast members-
singer-actor Bob McGrath and
Caroll Spinney, the man inside
Big Bird.
They recalled their beginnings
on the now historic PBS children's
scries at a recent news conference.
"When I first heard about it, I
didn't think I wanted to be in-
volved with a new children's
show, because there was nothing
that exciting in terms of children's
shows at that pointsaid
McGrath, who had been featured
on the Mitch Miller show and
joined "Sesame Street" in 1969.
But when I saw some of the film
and animation that Jim HensPon
and some of the other people had
done, I knew this was really some-
thing quite out of the ordinary
from what had been on television
before
The producers of the show
expect to add new graphics and
use more films, including ones by
director Jonathan Dcmme and
photographer-artist William
Wegman, this season, a likely re-
sponse to the trend toward
miltimedia kids' shows like "Pce-
wee's Playhouse Guest starts
will include Lily Tomlin, Tracey
Ullman, Susan St. James, Rhca
Pcrlman and James Galway,
among others.
One of the major episodes last
season was the wedding of char-
acters Luis and Maria. This
season's finale will be the birth of
their baby. The producers hope to
see the baby grow up on the show.
Producer-director Lisa Simon
said a search is on for expectant
parents who would be willing to
let the show follow their child's
growth.
Big Bird has become the show's
biggest star, but he didn't start out
that way, said Spinney.
A peripheral character in the
early episodes, he was sort of "the
village idiot Spinney said.
"One day, I realized he was
really a child said Spinney.
"One of the scripts said he had to
go to day care or something. So I
said, we really should play him as
a child
Big Bird came to embody "all
the fears of children and things
they have to learn - a wide-eyed
view of the world said Spinney.
"He greadually learned to read
and write and so he grew from 4,
which I felt he was the beginning,
to 61 2, which is where he stays
Spinney carefully protects Big
Bird's real identity from little chil-
dren, but admits when he sees a
child toting one of the big yellow
dolls, "I keep wanting to say, you
know, (he goes into Big Bird's
high voice) "Hey, I do that "
Spinney had been into pup-
pcting since he was a child,
McGrath had intended to have a
career entertaining adults as a
singer, but when rock music be-
gan to take over the business, he
decided he would have to take
another path.
McGrath does a lot of concerts
and benefits as his "Sesame Stret"
character, Children, he said, "are
a wonderful audience. First of all,
they're very, very honest. I had a
little girl in Vancouver some
years ago, I was shaking hands
after a concert. She had me lean
over to her and said (he drops to a
stage whisper), 'You know some-
thing. Bob?' And I said, 'No,
what? "Up close, you don't look
too good
MonSat. 10-6
Thurs. 10-8
Novelist John Gardner cranks out seven James
Bond sequels, picking up Fleming mystique
Arlington Village
Hit's Still Hot
It may be "Fall
Semester" but the
weather is
definitely "summer"
Keep it cool in
100 cotten
tanks, skirts,
pants, dresses,
and of course
the most
important -
lingerie.
BLOXHAM, ENGLAND (AP) -
John Gardner is not just a thriller
writer but a master of a very spe-
cial art: the posthumous sequel.
At his home in this English vil-
lage west of London, the 61-year-
old author writes James Bond
novels, having picked up where
007's creator, Ian Homing, left off
when he died in 1964.
While American writer Alexan-
dra Riplcy is just beginning a
sequel to Margaret Mitchell's
"Gone With the Wind Gardner
has already turned out seven
Bond novels, each a best seller in
the United States. The most re-
cent, "Scorpius is in the its sixth
consecutive week on the New
York Times best-seller list.
"It was a challenge, a little
honor Gardner recalled of his
decision to accept a publisher's
offer in 1979 to write a Bond se-
quel.
He had already made a name
with his books about the adven-
turer BovsieOakes,and with such
cloak-and dagger yarns as "The
Dancing Dodo" and "The Nos-
tradamus Traitor He had also
written two novels featuring Sh-
erlock Holmes' nemesis, Profes-
sor Moriarty. So when Glidrose
Publications Bond's literary copy-
right owners, offered him a shot at
007 himself, he thought, "Why
not? If I don't do it, somebody else
will
Gardner was then living in
Ireland as a tax exile, and already
one Bond sequel, "Colonel Sun
had been published in 1968 by
author Kingsley Amis, writing
under the pseudonym Robert
Markham.
Gardner first encountered
Bond while in bed with the flu in
the early 1960s, when his wife,
Margaret, brought "Casino Roy-
ale" and "Dr. No" from the li-
brary. "I was absolutely en-
chanted he recalled.
"Fantasy, formula, fun are the
three F's of Bond writing he said
in an interview.
The expoits of the suave, self-
possessed hero, a man both
dressed and licensed to kill, de-
mand a lot from a writer, Gardner
said.
"I sit down to do Bond and
within about four days, I'm cut-
ting lujjesQut andjriaking it run
xcrvtastHac sajdT"Evcry chap-
ter ! 1 ffcvcvlcTgo bck and
say, 'no, you can take two lines
out there and you can say that in
three words
"It has to be that tight he said.
'These are books to be read in an
airplane or on a beach
His contract calls for two more
Bond novels. Under a separate
agreement he is writing the book
of the forthcoming "License Re-
voked the first Bond movie not
drawn directly form a Heming
book.
Movies, Gardner said, pose the
greatest obstacle to sequel-writ-
ing. "People remember the mov-
ies far better than the books he
said. "There's a universal myth
that Bond drove an Aston Martin.
He didn't except for a very short
time in "Goldfinger He drove a
very old Bentley
Gardner's immediate future
looks relatively Bond-free. "Se-
cret Families the last in a trilogy
about expionage from 1910 to the
present day, will appear next
May.
Read
Bruce Willis and Demi Moore
parent eight pound baby girl
LOS ANGELES (AP) - "Moon-
lighting" star Bruce Willis and
actress Demi Moore became the
parents of a baby girl, a spokes-
man said.
The as-yet unnamed, 8-pound,
1 ounce girl was delivered at a
Paducah, Ky hospital shortly
after 5a.m. PDT (7 a.m. CDT),
spokesman Paul Bloch said.
Bloch said Willis was at his
wife's side during the natural
childbirth and that the baby and
her parents left the unidentified
hospital within three hours.
"We are ecstatic Willis, who is
in Kentucky filming a movie, was
quoted as saying. "The baby is
very happy and healthy
Willis, 33, and Miss Moore, 25,
were married in November 1987
and live in Malibu.
Miss Moore was in "St. Elmo's
Fire" and "About Last Night
Moonlighting" duties as the
wisecracking detective opposite
Cybill Shepherd this fall.
He is filming the Warner Bros,
dram "In Country about a fam-
ily struggling to heal the wounds
of the Vietnam War.
jlJv JL ?
ART
NOW SHOWING!
AT HENDRIX
THURSDAY,
AUGUST 24
8:00 P.M.
He WASTED 4 PERFECT Mf
A PERFEC 1 TO
BUT THEY CCHADS'T MEASURE LP-
SEITHER COULD THE OTHERS
DIAL 7581976
WELCOME BACK ECU STUDENTS
liclo
yogurtV
i
ft Afar?&jpf0f9c' ftp k?atrf
? ?
? ? ? ? ?
? ? ? ? ? ?
? ? ? ? ? ?
? ? ? ? ? ?
??i.w
Grand Opening Special
BUY 1 ITEM, GET 2ND ONE 12
PRICE WITH STUDENT I.D.
Expires 8-31-88
i
i
THE
STEPFATHER
?, Tar Landing Seafood
y&WJi Restaurant
"Welcome Back Special"
ALL YOU CAN EAT FRIED SHRIMP
Served with French Fries or Baked Potato
Cole Slaw, Hush Puppies
$5.99
SERVED THIS TUES WED. & THURS.
11A.M. -9 P.M.
758-0327
105 Airport Rd.
Let Food Lion Help You Get Ready For . .
BACKlOSCHOO
THE COUPON GOOD FOR ONE Ring On
12 02. PACKAGE OF StoreCoupon
FOOD LION
LUNCHEON MEAT
Redeem at any
Food Lion Store
Expires October 15. 1988
Limit One Coupon Per Item. Per Customer
THE COUPON GOOO FOR ONE Ring On
7.5 02. PACKAGE OF StoreCoupon
OLD EL PASO
TORTILLA CHIPS
Redeem at any
Food Lion Store
Expires October 15 1988
lll!lllllljljlil!lllll!
Limit One Coupon Per Item. Per Customer
Redeem at any
Food Lion Store
Expires October 15. 1988
THE COUPON GOOD FOR ONE Ring On
? 02. PACKAGE OF StoreCoupon
FOOD LION
POTATO CHIPS
liiiiiiillillllf
Limit One Coupon Per Item. Per Customer
Redeem at any
Food Lion Store
Expires October 15, 1988
THE COUPON GOOO FOR ONE
? 02.CMT010F
FOOD LION
YOGURT
lliiiiiillfl
Ring On
Store Coupon
Key
Limit One Coupon Per Hem, Per Customer
THE COUPON GOOD FOR ONE
6 4 02. TU1E OF MMT
FOOD LION
TOOTHPASTE
Ring On
Store Coupon
Key
Redeem at any
Food Lion Store
Expires October 15, 1988
Limit One Coupon Per Item, Per Customer
Redeem at any
Food Lion Store
Expires October 15. 1988
THE COUPON GOOO FOR ONE ?? On
14 02. PACKAGE OF 010 MOOT StoreCoupon
FOOD LION
OATMEAL COOKIES
IIISI!lllllijljlllll!ll
Limit One Coupon Per Item Per Customer





iiiiiiniiiiniiiiII
GRAPHICS
?enville Boulevard
id Tipton Annex
Dora Bower
(sorsmith)
to visit them
ion on 236
Blvd.
n Annex.
15
'e $2.00 Haircut
mm irm
'I III I I Ml
i
I ? ?!????.???? ?.??4? I M I ?? 9 9 9 '??"??
New and
Itudents!
fast Buffet ($5.00 Value)
tquet Facilities
lailable
inge ($1.00 Draft)
92
irr
264 Bypass)
m campus
rsary
Ishot $1.00
ard man drink
l night
lash"
:00
lance music
:e Shots
?0 SunThur.
lests only.
1, 1988
tight
Intest. $200 in
tt bikini.
!
THE EAST CAROLINIAN
AUGUST 23.1988 41
"Sesame Street" turns 20
LOS ANGELES (AP) - The 20th
season of PBS' "Sesame Street"
beginning this November, will
lead up to the birth of a baby for
Maria and Luis, two of the charac-
ters who married last season.
This season will also mark the
20th anniversary of two of the
show's charter cast members-
singer-actor Bob McGrath and
Caroll Spinney, the man inside
Big Bird.
They recalled their beginnings
on the now historic PBS children's
scries at a recent news conference.
"When I first heard about it, I
didn't think I wanted to be in-
volved with a new children's
show, because there was nothing
that exciting in terms of children's
shows at that pointsaid
McGrath, who had been featured
on the Mitch Miller show and
joined "Sesame Street" in 1969.
But when I saw some of the film
and animation that Jim HensPon
and some of the other people had
done, I knew this was really some-
thing quite out of the ordinary
from what had been on television
before
The producers of the show
expect to add new graphics and
use more films, including ones by
director Jonathan Dcmme and
photographer-artist William
Wegman, this season, a likely re-
sponse to the trend toward
miltimedia kids' shows like "Pce-
wee's Playhouse Guest starts
will include Lily Tomlin, Traccy
Ullman, Susan St. James, Rhca
Pcrlman and James Galway,
among others.
One of the major episodes last
season was the wedding of char-
acters Luis and Maria. This
season's finale will be the birth of
their baby. The producers hope to
see the baby grow up on the show.
Producer-director Lisa Simon
said a search is on for expectant
parents who would be willing to
let the show follow their child's
growth.
Big Bird has become the show's
biggest star, but he didn't start out
that way, said Spinney.
A peripheral character in the
early episodes, he was sort of "the
village idiot Spinney said.
"One day, I realized he was
really a child said Spinney.
"One of the scripts said he had to
go to day care or something. So I
said, we really should play him as
a child
Big Bird came to embody "all
the fears of children and things
they have to learn - a wide-eyed
view of the world said Spinney.
"He greadually learned to read
and write and so he grew from 4,
which I felt he was the beginning,
to 61 2, which is where he stays
Spinney carefully protects Big
Bird's real identity from little chil-
dren, but admits when he sees a
child toting one of the big yellow
dolls, "I keep wanting to say, you
know, (he goes into Big Bird's
high voice) "Hey, I do that
Spinney had been into pup-
pcting since he was a child,
McGrath had intended to have a
career entertaining adults as a
singer, but when rock music be-
gan to take over the business, he
decided he would have to take
another path.
McGrath does a lot of concerts
and benefits as his "Sesame Stret"
character, Children, he said, "are
a wonderful audience. First of all,
they're very, very honest. I had a
little girl in Vancouver some
years ago, I was shaking hands
after a concert. She had me lean
over to her and said (he drops to a
stage whisper), 'You know some-
thing, Bob?' And I said, 'No,
what? "Up close, you don't look
too good
MonSat 10-6
Thurs. 10-8
Novelist John Gardner cranks out seven James
Bond sequels, picking up Fleming mystique
Arlington Village
Hit's Sttll Hot
It may be "Fall
Semester" but the
weather is
definitely "summer"
Keep it cool in
100 cotten
tanks, skirts,
pants, dresses,
and of course
the most
important -
lingerie.
BLOXHAM, ENGLAND (AP) -
John Gardner is not just a thriller
writer but a master of a very spe-
cial art: the posthumous sequel.
At his home in this English vil-
lage west of London, the 61-year-
old author writes James Bond
novels, having picked up where
007's creator, Ian Fleming, left off
when he died in 1964.
While American writer Alexan-
dra Riplcy is just beginning a
sequel to Margaret Mitchell's
"Gone With the Wind Gardner
has already turned out seven
Bond novels, each a best seller in
the United States. The most re-
cent, "Scorpius is in the its sixth
consecutive week on the New
York Times best-seller list.
"It was a challenge, a little
honor Gardner recalled of his
decision to accept a publisher's
offer in 1979 to write a Bond se-
quel.
He had already made a name
with his books about the adven-
turer Boysie Oakcs, and with such
cloak-and dagger yarns as "The
Dancing Dodo" and "The Nos-
tradamus Traitor He had also
written two novels featuring Sh-
erlock Holmes' nemesis, Profes-
sor Moriarty. So when Glidrose
Publications Bond's literary copy-
right owners, offered him a shot at
007 himself, he thought, "Why
not? If I don't do it, somebody else
will
Gardner was then living in
Ireland as a tax exile, and already
one Bond sequel, "Colonel Sun
had been published in 1968 by
author Kingsley Amis, writing
under the pseudonym Robert
Markham.
Gardner first encountered
Bond while in bed with the flu in
the early 1960s, when his wife,
Margaret, brought "Casino Roy-
ale" and "Dr. No" from the li-
brary. "1 was absolutely en-
chanted he recalled.
"Fantasy, formula, fun are the
three F'sof Bond writing he said
in an interview.
The expoits of the suave, self-
possessed hero, a man both
dressed and licensed to kill, de-
mand a lot from a writer, Gardner
said.
"I sit down to do Bond and
within about four days, I'm cut-
jmg Ug?4jut andjrraking it run
4:crvSst,e saidTEvery chap-
ter rrHfe I RvcvWeo b?ck and
say, 'no, you can take two lines
out there and you can say that in
three words
"It has to be that tight he said.
'These are books to be read in an
airplane or on a beach
His contract calls for two more
Bond novels. Under a separate
agreement he is writing the book
of the forthcoming "License Re-
voked the first Bond movie not
drawn directly form a Fleming
book.
Movies, Gardner said, pose the
greatest obstacle to sequel-writ-
ing. "People remember the mov-
ies far better than the books he
said. "There's a universal myth
that Bond drove an Aston Martin.
He didn't except for a very short
time in "Goldfinger He drove a
very old Bentley
Gardner's immediate future
looks relatively Bond-free. "Se-
cret Families the last in a trilogy
about expionage from 1910 to the
present day, will appear next
May.
Read
Bruce Willis and Demi Moore
parent eight pound baby girl
LOS ANGELES (AP) - "Moon-
lighting" star Bruce Willis and
actress Demi Moore became the
parents of a baby girl, a spokes-
man said.
The as-yet unnamed, 8-pound,
1 ounce girl was delivered at a
Paducah, Ky hospital shortly
after 5a.m. PDT (7 a.m. CDT),
spokesman Paul Bloch said.
Bloch said Willis was at his
wife's side during the natural
childbirth and that the baby and
her parents left the unidentified
hospital within three hours.
"We are ecstatic Willis, who is
in Kentucky filming a movie, was
quoted as saying. "The baby is
very happy and healthy
Willis, 33, and Miss Moore, 25,
were married in November 1987
and live in Malibu.
Miss Moore was in "St. Elmo's
Fire" and "About Last Night
Moonlighting" duties as the
wisecracking detective opposite
Cybill Shepherd this fall.
He is filming the Warner Bros,
dram "In Country about a fam-
ily struggling to heal the wounds
of the Vietnam War.
ART!
ART!
NOW SHOWING!
AT HENDRIX
THURSDAY,
AUGUST 24
8:00 P.M.
He WASTED 4 PERFECT EA1ll
l 4 PFRFEC 1 TO
BUT THEY CCKIDT 1E1SLRE UP-
EITHER COt ID THE OTHERS
THE
STEPFATHER
DIAL 7581976
WELCOME BACK ECU STUDENTS
KclQ
yogurtV
lAfa
wr Cfrerieitc& tip Manrt-
r
ttxxzmmm.
Grand Opening Special
BUY 1 ITEM, GET 2ND ONE 12
PRICE WITH STUDENT I.D.
Expires 8-31-88
n
i.
i
Tar Landing Seafood
Restaurant
"Welcome Back Special"
ALL YOU CAN EAT FRIED SHRIMP
Served with French Fries or Baked Potato
Cole Slaw, Hush Puppies
$5.99
SERVED THIS TUES WED. & THURS.
11A.M. -9 P.M.
758-0327
105 Airport Rd.
Let Food Lion Help You Get Ready For . .
B.VCK 10 SCHOO
THE COUPON GOOD FOR ONE Ring On
12 0Z. PACKAGE OF StoreCoupon
FOOD LION
LUNCHEON MEAT
Redeem at any
Food Lion Store
Expires October 15, 1988
Limit One Coupon Per Item. Per Customer
Redeem at any
Food Lion Store
Expires October 15. 1988
THE COUPON GOOD FOR ONE R'ng On
7.5 02. PACKAGE OP StoreCoupon
OLD EL PASO"
TORTILLA CHIPS
I
Limit One Coupon Per Item. Per Customer
THE COUPON GOOD FOR ONE Ring On
? 0Z. PACKAGE OF StoreCoupon
FOOD LION
POTATO CHIPS
Redeem at any
Food Lion Store
Expires October 15. 1988
Limit One Coupon Per Item, Per Customer
THE COUPON GOOO FOR ONE Rtng On
lOZ.CARTOiOF StoreCoupon
Redeem at any
Food Lion Store
Expires October 15. 1988
FOOD LION
YOGURT
I
Key
Limit One Coupon Per Hem, Per Customer.
THE COUPON GOOD FOR ONE
? 4 0Z. TU0E OF MINT
Redeem at any
Food Lion Store
Expires October 15. 1988
FOOD LION
TOOTHPASTE
llilliiliiiillilijllilllllii
Ring On
Store Coupon
Key
Limit One Coupon Per Item. Per Customer
THE COUPON GOOO FOR ONE R'ng On
t4 0Z. PACKAGE OF 0L0 FASM0N StoreCoupon
FOOD LION
OATMEAL COOKIES
Redeem at any
Food Lion Store
Expires October 15 1988
iilllllllljlllllll
Limit One
Coupon





42
THE EAST CAROLINIAN
AUGUST 23,1988
NAGS HEAD N.C. (AP)? The run out before the next supply mer. When the ocean swept past tors from all over eastern North
old bones arc mostly buried un- boat arrived. There were no them in the great storms of sum- Carolina.
der the cosmetics of modern plas- bridges then, no roads. Old Nags mer and during winter gales, the "I guess they had everything
tic siding. Head was happily isolated in its owners simply jacked up the but modem plumbing
remember Old Nags Head
But here and there, the perfect sandy pleasures,
line of an octogenarian porch and Now Old Nags Head is a near-
gabled roof soar above the Nags forgotten ghost-village. But those
Head glitz like the proud chin of earlier antebellum soundside
an age-defying dowager. houses fathered the long gray line
"Unpainted Aristocracy" is the of occanfront cottages that have
felicitous phrase Raleigh editor held out, more than less, against
sand and the gray and blue water
of the changing ocean
Between 1910 and 1940 Sam
Twine built most of those cot-
tages, and in the 1920s, Charlie
Jonathan Daniels applied years nearly 100 years of hurricanes and a century of home improvement.
buildings and rolled them farther way said of the original LcRoy.
up the beach. "Most of the cottages and hotels Martin Johnson was his powerful little damaged
A fcwyearsago, theN.C. Divi- caught rain water to drink and helper
sion of Archives and History dc- stored it in big cisterns. The toilets
cided the timbers of nine of the were built over the water ? very
original 13 cottages could still be efficient ? although there were
found layered beneath more than some regular outhouses up on the
ter cottages weredestroyed.S
simply vanished. But there, in ?
of the most ulnerable stretchc
the Outer Banks, the long g
line of early cottages has 1
(HI
ago to the earliest oceanfront cot- dancing feet. No other structures
tages that were the homes of on the beach have been so pcrma-
summer to the founding families ncnt.
of nags Head. Early in the last century,
Once the line of weathered wealthy farmers and merchants
structures stood in a lonely, mile- from the communities surround-
long row south of Jockey's Ridge ing Albcmarle Sound, Elizabeth
on the Beach Road. City, Plymouth, Williamston,
After two devastating calami-
tics all but wiped out the sound-
side settlement and steamer
docks of Old Nags Head in 1899
and 1903, the summer colonists
speeded the community migra- Aristocracy,
tion ? this time to the ocean ? The builder was Samuel J.
and began to slowly create the Twine, a tiny, bespectacled man
beach around the hotels.
It was a bantam-sized Elizabeth
city carpenter who more than any
one was responsible for the
unique architectural style that
now distinguishes the Unpainted
Nobody, it seems, does it better.
In hurricanes that have
scourged the Dare coast, and in
the Ash Wednesday gale of 1962,
dozens of newer, supposedly bet-
"You've got to remember
Johnson said, "in those days
by-4 was a 2-by-4, not 3 inches
1 12 inches. Even the i
seemed better
Pirate
"There were about 20 houses on Hertford and Edenton ? began unique structures that are today's with no formal training in design
hte oceanside that you could call going to soundside Nags Head admired wooden aristocracy. but with a sure hand for form as
original said Charlie-Martin during the summer months to The Nags Head Hotel ? then the beautiful handmaiden of
Johnson, a 75-year-old Outer escape the malarial mostquitoes the latest Old Nags Head inn of function. Twine died in 1973 at 99
Banks stalwart who outh to know farther inland. that name ? was a 200-room and many of his cottages will
? he helped build some of them. Hotels were built and, by the wooden structure, extraordinary likely live longer
"There was a fishing campu mid-1850s, there were 20 or 30 for its time, and built in the late "Mr. Twine Wi
WELCOME BACK
lE.C.U. STUDENTS
Hold these coupons ?
c?r For Future Savings ?
"?
called Buzzard's Roost off to the
north a ways, but there wasn't
another house between here and
Virginia Beach
For antiquarians, the archeol-
houses, all of the same model. A
Harper's New Monthly Magazine
correspondent reported "quite a
lively and pleasant scene
Gen. Ambrose Bumside landed
ogy of Nags Head ? old and Union troops on the Outer Banks
ncw? is layered with succeeding during the civil War and made a
as a real peculiar
man ? that is, he didn't smoke or
drink Johnson recalled.
"When he came down for the
summer work, he lived next to us
in Old nags Head. Early in the
cultures like Egypt's Valley of the
Kings, or Babylon's eroded
ziggurats, although in a time
frame of 200 rather than 2,000
years.
In the beginning, in colonial
times, there were the "Bankers a
1880's
For years, soundside swimmers
traveled over to the ocean in a
mule cart, a wide-tired affair with
two high wheels for sand travel.
The line of cottages along the morning we'd put our tool boxes
ocean was slowly lengthening, on our shoulders and walk across
but there were still no bridges to the sand to the beach to work on
the Outer Banks ? they came one of the houses
Gen. Henry A. Wise to burn down around 1930. So Old Nags Head Twine's genius impressed an
the first Nags Head hotel to pre- remained the principal port of anonymous U.S. Interior Depart-
vent its use by the Yankees. entry. A fleet of streamers ment appraiser who arrived
Buy by August 1867 the Norfolk brought vacationers in from
mess of tourism. Burnside's visit
caused retreating Confederate
i
Wheel Alignment:
!j15 (with coupon) J
Journal reported "Nags Head has
hardy mixture of Eastern Shore never been patronized more than
MarylandcrsandVirginians,who during the past season
trickled down to what is now the It was about this time that an
Nags Head area to farm and fish Elizabeth City physician named
and mind their own business. William Gaskins Pool had built a
It wasn't until the early 1800s cottage on the ocean, east of
that the Old Nags Head home- Jockey's Ridge, but most of the
steads began to rise from the summer action remained in Old
sands. Now the original Old Nags Nags Head.
Head homes weather quietly in The Pool family was lonely, so
the loving attendance of a few in 1866 Pool bought from the
hardshell residents who try to Midgctt family 50 acres bordering
Elizabeth City and the rail heads
of Norfolk.
"When I was a boy we always
came down on the Trenton said
Dr. James D. "Bud" 1 lathawayjr
an 85-ycar-old retired Elizabeth
appraiser
Nags Head a few years ago to list
some of the old cottages for the
National Register of Historic
Places.
"Along the oceanfront beach
stands an irregualr row of frame
cottages whose shapes, texture,
? ?
City eye specialist, who is an spry color and detail are expressive of
as Charlie-Martin Johnson.
"My family had a cottage on the
soundside, built over the water
bewtcen two hotel docks. Many a
time one of my friends would rap
on the floor trim the water under
keep the place invisible to tourists
by putting up ever-large "Dead-
End" signs on the Southside Road
off U.S. 158.
Once Old Nags Head jumped
with summer joy ? there was a
200-room hotel there, a 1,000-foot
steamboat dock, barefoot dancing
ocean "at or near Nags ncath to tell me it was time to go
He started giving away crabbing
on the
Head
oceanfront losts to the wives of his
friends as an induccmnt to build
on the beach.
Within a few years, the nucleus
of present-day Nags Head was
built, a tring of 13 Spartan-simple
their function and the demands
for survival on the weather-tor-
tured Outer Banks theappraiser
wrote.
"The regular rhythm of one and
two-story units, the somber roofs
and the repetition of sweeping
gable roofs and expansive
Winterize
Servicing
$1788
(includes 1 Gal. AntiFreeze)
????????????a
Used Tires
IJ)0 and up
4-Wheel Drum or
Front Disc Reline an
Rotor machined
3I- (with coupon)
Lubrication, Oil
?Filter, Oil Chang
(with coupon
$1388

wt
I 4-Wheel Computer
I Balance and Rotate
? $19
88
(with coupon
on the porches and an all-pervacP cottages, many built hard on the
ing worry that the liquor might sand of scrap and salvaged lub-
Hathaway began going to the porches, relate in an almost or-
beach in 1910 and met his bride- ganic fashion to the slope of the
to-be at a party in the I.eRoy Cot- beach to the sea, and to the light
tages in Old Nags Head. The
LeRoy was a sprawling establish-
ment, also built over the water,
and the LeRoy's relatively elegant
accommodations attracted visi-
VISA-Master Card-Amer. ExpDiscover-Moncy Express
COGGINS CAR CARE
320 W. Greenville Blvd Greenville. N.C. Phone 756-5244
MANTEO, N.C. (AP) ? Andy "We were staying at the old air
Griffith graduated from playing base (now the Dare County Re-
first soldier in "The Lost Colony" gional Airport), and on the way to
the Waterside Theater saw the
smoke. When we realized it was
the theater, we were sick he said.
But Albert Quentin "Skipper"
mm
to the part of Sir Walter Raleigh
during his early theater days but
he remains dubious about how
well he performed as Raleigh.
"I don't think I was very good as
Raleigh Griffith told the choir of
the outdoor drama during a re-
cent visit, "but I enjoyed it
Griffith and his wife, Cindi,
were invited to speak to the choir
by Rosaling MacEnulty, music
director and longtime friend.
Griffith, the star of the "Mat-
lock" television series, also
starred in "The Andy Griffith
Show which was set in the fic-
tional town of Maybcrry, N.C He
has a home on Roanoke Island,
where Manteo is located. He and
his wife have spent some time
there since the writer's strike be-
gan, butGriffith said: "We want to
get back to work
TheGriffiths have been married
for five years. Mrs. Griffith has
also appeared in the "The Lost
Colony
A fire struck during Griffith's
association with "The Lost Col-
ony reducing the stage to ashes.
Bell, who had built the theater,
did not give up. He told the cast,
"Wc can be back in business in six
days if everyone will pitch in
Bell said.
Everyone did that, and the
show reopened .
I
All You Need Is Light!
Functions (ifsinf spa lal ? forstu
dents, and a spei .a. power system de
sijrned to work in almost any light
? Contains the acnanctd dip
and trigonometric fun "i"ns toda)
math and srienif students need
? Most needed slide rule functions .??
the touch of a ke Roots P wen
Reciprocals i xjmmon and na;ura.
iogs And much more
? Ar.gu.ar onversx ns f r degrees
radians and grao
? Easy U use four key memor 't
Constant Memrvfeature
TI-3C
btuaei
SLR
$19.95
r"
?'r?
;
Texas
Instruments
?s
v
UniversnyT&toolKJ
STUDENT
STORES
516 S. Cotanche ? Greenville, NC 27834

Professors and Students
LOVE
Course Mates
Exclusively By
The Wm nm Sttiuimn m L"rr iherun ? Higher Edurafw
What Are Course Mates?
Course Males are customized course reading detuned bv w pro-
fessor that apply specifically to vour class so thai vou pov onl for
material fterlaining to your class requirements
How Much Do They Cost?
Course Males are prnedacxordmg to the numbc of students in your
class, so die more students, ihe less each copy costs. AccuCopv's low
copy prices insure that you pov ihe lowest prices available for course
materials besause there is mo markup foi bookstores and middlemen
You pay only for the i-opies and preparation expenses Generally each
copy averages 4 per copy.
Where Do I Get My Course Mates?
Course Mates are available exclusively at AccuCopy, located next in
Chicos in ihe Georgetown Stiops AccuCopy has the lowest copy
rales, best ftaper and binding choices in ihe area
When Do I Get My Course Mates?
At the beginning of each semester Your professor ?ill announce vour
Course Mates requirements your first week in class
You'll Love Course Mates
fe
Exclusively By
nohh
Swrda ? 2
Greenvile's 01 Copy Center
7SS-2400
W
Check cashing
VisaMatercard
Gift wrapping
Room accessories
Film developing
Special ordering of books not in stock
Greeting cards
Pirate imprinted items
Class rings
Computer hardware, software
and accessories
Typewriter rental
Caps & Gowns
? Graduation announcements
Gifts Tradebook Department
General ManagerMichael G -
Asst. General ManagerRoger M
Book Dept. Supervisor Virginia S. E
Supply Dept. Supervisor Wanda A Scatter
Soda Shop Supervisor Mildred L Davor
Croatan Supervisor Marv I et l
"One stop shopping at the heart of campus"
BOOKSTORE
Wright Building
HOURS:
MonFri. 8:30 a.m5 p.m.
Telephone: 757-6731
SODA SHOP 1
Wright Building
HOURS:
MonFri. 7:30 a.m5 p.m.
Telephone: 757-6731
m?
THE CROATAN1
HOURS:
MonThur?. 7:30 ?m9 p m
Fri 7:30 a m 5 p.m.
Sat. 8:30 a.m12:30 p m
Telephone: 757-6477
ECU quarterback Ti
complel st seas n H
Pirate's succt ss this si i
Sports Inon
leaves EC I
By DOUG JOHN
Bob B
Sp
for the past 1
University or
cept the v
municatii ? - ?
Commit!in M
Roller, a gradual of V
Tech with a degree in jotu
was an as
rector here .
selected for the -
UNC-Wilm
mained for two ai I
Act i
lease. Roller 27 will kx
of c loc
rial, and nati
which ?
receives He v
with NBC-TV in
duction a so sei
tor of a monthh rr
titled Oi
"L 5t ol
the game and a
attei
Roller said
round
In add
; also an On
E riod. u
through March T
ball to.
10k run
While the New '?
is the c.
Bake
ByPAUl DUNN)
All ati
Head Rx tball O
as he pi
Pirates at the recentv
Bakers open
oneofhighhoi
as excited aboul tn -
as 1 am The
indkab rs 1 at has n
excited he said.
Commenting on his
staff. Baker said v'
significant I
t least in the yean
have had is that I
excellent coaches J
tr but you're goir I
chance to do your best
have a Staff that fits the
this particular universal!
particular time in it -?
torv
Baker said that he tclt
without any reflect
anvbodv'spastortuturt.
happens to be the grout
ball coaches that tv -
i stands the needs and go
team and knows where t
the developcment 01





sHead
were destroyed. Som
? Butthere,inon
rable st retches o
the long gray!
- lias b- ,
remcmlx r
,A
x days a 2-
t 3 inches y
n the n s
IE BACK
UDENTS'
Savings ?
I Drum or
Reline and
? machined
r9 upon)
ation, Oil
niter, Oil Change
5) I 3 upon)
???????????
? ? ?
iter
1 Rotate
f1 f s s
19
ev E cpress
CAR CARE
n ville, N.C Phone 756-5244
r
44
If h
6
cr,
a
i
"
ty - ? t??u

y
m-tf
. i tx
)f campus
THE CROATAN1'
HOURS
Mon.Thun. 7:30 a.m9 p m
Ft! 7 30 am5 p.m.
Sat. 8:30 am 12:30 p m
Telephone: 757-6477
THE EAST CAROLINIAN
Sports
AUGUST 23, 1988 Page 43
Pirates, Baker look foward to '88 season
ECU quarterback Travis Hunter throws for one of his many
completions last season. Hunter will be instramental in the
Pirate's success this season. (Courtesy of Sports Information).
By DOUG JOHNSON
Co-Sport? Editor
"We're looking at having our
finest offense since I've been here.
We have an excellent quarterback
in (junior) Travis Hunter, a host of
experienced and talented slots,
and an offensive line that is intact
from last season
So spoke Pirate Head Coach Art
Baker.
And so rests the fortunes of the
Pirates in the 1988 football season.
The Pirates must place their hopes
and faith on a proven, experi-
enced and multi-talented offen-
sive unit, while depending on
first-year defensive coordinator
Richard Bell to shore up a defense
that lost seven starters from last
year's squad. But Baker has ex-
pressed a great deal of confidence
in the abilities of Bell, and his
defensive scheme. "Defensively,
we lost some outstanding football
players Baker said. "But we
were able to let many of our re-
turning players see a great deal of
playing time last season. The
addition of Richard Bell means so
much to our program, and the
eight-man front that he will use
should really compliment our
personnel he added.
The Pirate offensive unit will be
led by Travis hunter, a junior who
started all 11 games last season.
"For the first time in the four years
that I have been head coach here
we'll have a starting quarterback
from all 11 games last year return-
ing Baker said. Last season,
Hunter led the Pirates with 1,107
yards in passing and another 371
yards rushing. Baker is looking
for bigger numbers from Hunter
this season. "Travis should have
his best season this fall now that
he has the experience and repeti-
tion in running our complex (run-
and-shoot) offense Baker said.
"He has such quick feet that he is
a great threat when he runs, and
his passing has improved greatly
in the off-season he added.
Joining Hunter in the Pirate
backficld will be Tim James at the
lone set-back position, while sen-
iors Reggie McKinney and Jarrod
Moody and juniors Willie Lewis
and Dcnell Harper will rotate at
the slolback position. James, a 5-
11, 235-pound fullback, will have
achance to add his name to the list
of fine fullbacks, such as Earnest
Byner, Reggie Branch, and An-
thony Simpson to come out of
ECU in the past. James rushed for
284 vards last season in the back-
up role to Simpson, and Baker
feels that he can improve on that
peformance in the lead position.
"Tim James at fullback gives us so
much versatility on offense this
year he said. "Tim can run up
the middle, to the outside, and he
has the great hands that make him
a good receiver. Even at 235-
pounds, Tim still has good
speed As for the slots, Baker is
very happy to have a problem.
"We have a very good problem in
having these four fine football
players he commented. The tal-
ented group combined for 910
yards last season. McKinney, who
rushed for 212 yards against Cin-
cinnati last season and 486 yards
on 78 carries for the year, is, ac-
cording to the 1988 Pirate Media
guide, the Pirate's best break-
away threat with excellent speed,
while Moody is probably the best
receiver out of the backfield.
Lewis is potentially the finest all-
around slot, and Harper came on
extremely strong in the latter half
of the 1987 season, it went on to
say.
The offensive line will be an-
other strong plus for the Pirates
this season, returning last year's
starting five in full. Anchoring the
offensive line at center will be
Head Coach Art Baker
Kyle Condrey, a 6-2, 265-pound
senior. Condrey was voted the
most valuable lineman for the
1987 season by his teammate
and according to Offensive Line
Coach Steve Shankweiler he
worked hard during the off-sea-
son, and had a very promi- ig
spring.
Stewart Southall, a 6-1, 260-
pound junior, will fill one of the
See PIRATES, page 44
Sports Information Director Bob Roller
leaves ECU after two years at the position
By DOUG JOHNSON
Co-Sports I'd,tor
Bob Roller, East Carolina's
Sports Information Director (SID)
for the past two years, left the
University on August 8th to ac-
cept the post oi Director oi Com-
munications for the Orange Bowl
Committee in Miami, Ha.
Roller, a graduate of Virginia
Tech with a degree in journalism,
was an assistant information di-
rector here in 1983 before being
selected for the SID position at
UNC-Wilmington, where he re-
mained for two and a half years.
According to a Pirate press re-
lease, Roller, 27, will be in charge
of coordinating the local, re-
nal, and national coverage
which the Orange Bowl Classic
receives. He will work closely
with NBC-TV in the game's pro-
duction and also serve as the edi-
tor of a monthly magazine en-
titled "Orange Bowl Today
"Most of the job is working with
the game, and all of the media
attention that surrounds it
Roller said, "and this is a year-
round job
In addition to the game, there is
also an Orange Bowl Festival pe-
riod, which runs from November
through March. There is a basket-
ball tournament, a regatta, and a
k run, among other events.
While the New Year's Day game
is the centerpiece of the Festival,
there are more than 100 events
that will be taking place during
that time. "We will have about a
17 person full-time staff that will
handle all of this, but our primary
goal is the game and the parade
Roller said.
mm-r ?-?
Uob Roller
"I was directly involved in
bringing Bob to East Carolina
said ECU Director of Athletics
Dave Hart in a press release, "so I
am fully aware of the skills that he
possesses. I think it is a credit to
our program that (executive di-
rector) Steve Hatchell and the
Orange Bowl Committee would
make Bob their primary target for
this position
The exact job of the SID office is
hard to nail down, according to
Roller, but their role is not. "We
serve as a liason between the
sports department and the me-
dia Roller said. 'That includes a
million different things, such as
preparing media guides, press
releases, etc. This office is very
valuable to the media, and I've
had a great deal of help from
(Assistant Sports Information
Director) Dean Buchan and the
rest of the staff in making it the
best possible Roller considers
himsel f lucky to have been at ECU
at the time that he was. "I've been
here through some of the growing
years he said. "Case in point is
the new Sports Medicine facili-
ties. It will aid in recruiting, and in
having everyone in a central loca-
tion. On the sports field, I think of
the basketball program, and how
(Head Coach) Mike Stcele and his
staff has turned it around. I think
you're going to see them with an
18 win season this year, and com-
peting for the coference crown in
the next few years. In football, I
think that we have the best team
that we've had since the 1983
squad, (8-3 record, 20 nationally
according to Sports Illustrated). I
think that within a few years, I
will be able to follow ECU
through the papers, And see how
well they have done
As of this date, no one has been
named to take over the vacated
SID post.
Jarrod Moody leaps over a defender in route to the endzone and a Pirate touchdown. (Courtesy SID).
ECU's Lee McNeill goes for Olympic gold
By CAROLYN JUSTICE
Stiff Writer
Last summer Lee McNeill won
three gold medals. This summer,
he'll be happv with just one: an
Olympic one.
McNeill, ECU's first sprinter to
ever appear in the Olympics, will
be going for a gold medal in the
4X100 meter relay, an event which
he has had much experience and
success in.
Besides holding the ECU record
for the 55 and 100 meter dashes,
he also is a member of the relay
team which holds the current
ECU record.
Last summer, McNeill carried
his expertise to the U.S. Olympic
Festival, which was held in his
home state oi North Carolina.
There McNeill caputurcd his first
gold medal oi the summer, as a
member of the South 4 X100 meter
relay.
The St. Paul, N.C, native then
proceeded to the Pan American
Games in Indianapolis, where for
the second time he was a part of a
gold medal winning effort by the
US 4 X100 meter relay.
Alone with another North
Carolina native, Lee McRae. and
top sprinters Harvey Glance and
Carl Lewis, McNeill won what he
hopes to be one oi many more
gold medals as the team took the
title at the World University
Games in Rome, Italy.
This summer, the three-time
See McNEILL, page 41
Baker addresses local media
By PAUL DUNN
( i Sporti I ditor
All attention was focused on
i lead Football Coach Art Baker,
as he prepared to present the 1988
Pirates at the recent Media Day.
Baker's opening remark was
( ne of high hopes. "I hope you're
as ex( ited about this 1988 season
as I am. Their are many good
indicators that has really got us
excited he said.
Commenting on his coaching
staff, Baker said, "One of the most
significant things about any staff,
at least in the years of experience I
have had, is that there arc many
excellent coaches across the coun-
try, but you're going to have a
chance to do your best when you
have a staff that fits the needs of
this particular university at this
particular time in it's football his-
tory
Baker said that he felt fortunate,
without any reflection on
anybody's past or future, that this
happens to be the group of foot-
ball coaches that best under-
stands the needs and goals of the
team and knows where they are in
the dcvclopemcnt of the pro-
gram.
"I believe as far as the players
they have to coach and the people
we ha ve to coach against, that this
is the best staff we have had
heresaid Baker.
Highlighting on the quarter-
backsituation, Baker said without
reservations that Travis Hunter
would be starting.
"For the first time in the four
years that I've been here, we will
have a starting quarterback from
all 11 games last year, returning
said Baker.
The head coach was quick to
point out that Hunter is a pi oven
winner and that he continued to
improve in the spring.
Boasting on the dedication of
his players, Baker was especially
pleased with a certain young
man. "One of the real success sto-
ries since last year is Mike Apple-
white. Mike was told that he was
actually too big to play last year
and defensive line coach Don
Thompson asked him to get down
to a weight that would enable him
to be the best he could be added
Baker.
Applewhite tackled the chal-
lenge and came out on top. The
defensive lineman, since last sea-
son, has lost 42 pounds while
improving his strength and
speed.
Commenting on his method of
weight loss, Applewhite said. "I
just started eating like a human. I
also ride a bike for at least 25
minutes non-stop everyday
Coach Baker stated that going
back, he felt that two significant
things have happened in the
growth of this program. Baker,
being in his fourth season, said he
made a commitment to himself to
correct the mistakes that were
present upon his arrival to the
university. He said that steady
quality growth is what he had
hoped for from the very begin-
ning and he feels that the unit has
made that.
"Certainly, the 1987 team, com-
pared with some statistics of the
1983 team, you would find a dif-
ference of only about 100 yards in
total offense and average points
per game were about the
samesaid Baker.
The second significant situation
Baker feels that will help get the
1988 team where they want to be
was the results of the 20 spring
practices.
"Our staff and players really
made a committment to continue
the turn around and 1 felt that we
came out of spring practice with a
good feeling about ourselves and
a very positive outlook on the '88
season stated Baker.
Baker addedWe are all cer-
tainly aware of the difficulty of
the schedule and we know who
we have to play
The coaching staff was very
pleased with the mental and
physical condition of the players
returning after the short summer
break. Their individual
comittmcnt for conditioning has
made this the best physically pre-
pared football team that he has
had at East Carolina, Baker said.
The recent return of the fresh-
men players has created even
moreenthusiasm for the team. "In
my four years, I can safely say that
this group of freshmen arc with-
out a doubt in my mind the most
talented we have had report here
at one time Baker stated.
One outstanding freshmen line-
man, Tom Scott, is a huge 6-7,and
See PREVIEW, page 45
East Carolina Head Coach Art Baker adresses the media at the
annual Pirate Media Day festivities. (Courtesy SID).





sHead
cr cottages were destroyed. Some
imply vanished. But there, inon
the most vulnerable stretches o
(the Outer Banks, the long gray
line of early cottages has beer
little damaged.
"You've got to remember
Ijohnson said, "in those days a 2
fbv-4 was a 2-by-4, not 3 inches b
II 12 inches. Even the nail
Iseemed better
I
E BACK
UDENTS'
coupons o
Savings 1
4-VVheel Drum or
Front Disc Reline an
Rotor machined
3i?y (with coupon)
Lubrication, Oil
Filter, Oil Chang
(with coupon)
$1388
4-Wheel Computer
Balance and Rotate
$1988
(with coupon)
-Discover-Money Express
CAR CARE
jenville, N.C. Phone 756-5244
Ushtr
?.
ffc
l
THE EAST CAROLINIAN
Sports
AUGUST 23.1988 Page 43
Pirates, Baker look foward to '88 season
I
f

I
ECU quarterback Travis Hunter throws for one of his many
completions last season. Hunter will be instramental in the
Pirate's success this season. (Courtesy of Sports Information).
By DOUG JOHNSON
Co- Sport Editor
"We're looking at having our
finest offense since I've been here.
We have an excellent quarterback
in (junior) Travis Hunter, a host of
experienced and talented slots,
and an offensive line that is intact
from last season
So spoke Pirate Head Coach Art
Baker.
And so rests the fortunes of the
Pirates in the 1988 football season.
The Pirates must place their hopes
and faith on a proven, experi-
enced and multi-talented offen-
sive unit, while depending on
first-year defensive coordinator
Richard Bell to shore up a defense
that lost seven starters from last
year's squad. But Baker has ex-
pressed a great deal of confidence
in the abilities of Bell, and his
defensive scheme. "Defensively,
we lost some outstanding football
players Baker said. "But we
were able to let many of our re-
turning players see a great deal of
playing time last season. The
addition of Richard Bell means so
much to our program, and the
eight-man front that he will use
should really compliment our
personnel he added.
The Pirate offensive unit will be
led by Travis hunter, a junior who
started all 11 games last season.
'Tor the first time in the four years
that I have been head coach here
we'll have a starting quarterback
from all 11 games last year return-
ing Baker said. Last season,
Hunter led the Pirates with 1,107
yards in passing and another 371
yards rushing. Baker is looking
for bigger numbers from Hunter
this season. 'Travis should have
his best season this fall now that
he has the experience and repeti-
tion in running our complex (run-
and-shoot) offense Baker said.
"He has such quick feet that he is
a great threat when he runs, and
his passing has improved greatly
in the off-season he added.
Joining Hunter in the Pirate
backf ield will be Tim James at the
lone set-back position, while sen-
iors Reggie McKinney and Jarrod
Moody and juniors Willie Lewis
and Denell Harper will rotate at
the slotback position. James, a 5-
11,235-pound fullback, will have
a chance to add his name to the list
of fine fullbacks, such as Earnest
Byner, Reggie Branch, and An-
thony Simpson to come out of
ECU in the past. James rushed for
284 yards last season in the back-
up role to Simpson, and Baker
feels that he can improve on that
pcformance in the lead position.
"Tim James at fullback gives us so
much versatility on offense this
year he said. 'Tim can run up
the middle, to the outside, and he
has the great hands that make him
a good receiver. Even at 235-
pounds, Tim still has good
speed As for the slots, Baker is
very happy to have a problem.
"We have a very good problem in
having these four fine football
players he commented. The tal-
ented group combined for 910
yards last season. McKinney, who
rushed for 212 yards against Cin-
cinnati last season and 486 yards
on 78 carries for the year, is, ac-
cording to the 1988 Pirate Media
guide, the Pirate's best break-
away threat with excellent speed,
while Moody is probably the best
receiver out of the backfield.
Lewis is potentially the finest all-
around slot, and Harper came on
extremely strong in the latter half
of the 1987 season, it went on to
say.
The offensive line will be an-
other strong plus for the Pirates
this season, returning last year's
starting five in full. Anchoring the
offensive line at center will be
?141- i. ?"
Head Coach Art Baker
Kyle Condrey, a 6-2, 265-pound
senior. Condrey was voted the
most valuable lineman for the
1987 season by his teammates,
and according to Offensive Line
Coach Steve Shankwcilcr he
worked hard during the off-sea-
son, and had a very promising
spring.
Stewart Southall, a 6-1, 260-
pound junior, will fill one of the
See PIRATES, page 44
Sports Information Director Bob Roller
leaves ECU after two years at the position
?'? lfe
Michael G. Coston I
crRoger M Bullock
rVirginia S. Ellison!
risor Wanda A. Scarboroughj
ar Mildred L. Davenport
Mary Lee Cobb
By DOUG JOHNSON
Co-Sport Editor
Bob Roller, East Carolina's
Sports Information Director (SID)
? for the past two years, left the
University on August 8th to ac-
cept the post of Director of Com-
munications for the Orange Bowl
Committee in Miami. Fla.
Roller, a graduartfedf "Virginia0
Tech with a degree in journalism,
was an assistant information di-
rector here in 1983 before being
?j? selected for the SID position at
UNC-Wilmington, where he re-
mained for two and a half years.
According to a Pirate press re-
lease. Roller, 27, will be in charge
of coordinating the local, re-
gional, and national coverage
which the Orange Bowl Classic
receives. He will work closely
with NBC-TV in the game's pro-
duction and also serve as the edi-
tor of a monthly magazine en-
titled "Orange Bowl Today
"Most of the job is working wiL.
the game, and all of the media
attention that surrounds it
Roller said, "and this is a year-
round job
In addition to the game, there is
. also an Orange Bowl Festival pe-
i riod, which runs from November
through March. There is a basket-
ball tournament, a regatta, and a
10k run, among other events.
While the New Year's Day game
is the centerpiece of the Festival,
there are more than 100 events
that will be taking place during
that time. "We will have about a
17 person full-time staff that will
handle all of this, but our primary
goal is the game and the parade
Roller said.
Bob Roller
"I was directly involved in
bringing Bob to East Carolina
said ECU Director of Athletics
Dave Hart in a press release, "so I
am fully aware of the skills that he
possesses. I think it is a credit to
our program that (executive di-
rector) Steve Hatchell and the
Orange Bowl Committee would
make Bob their primary target for
this position
The exact job of the SID office is
hard to nail down, according to
Roller, but their role is not. "We
serve as a liason between the
sports department and the me-
dia Roller said. "That includes a
million different things, such as
preparing media guides, press
releases, etc. This office is very
valuable to the media, and I've
Teat .deal of help from
tyfetajnf Sport Information
irector) Dean Buchan and the
rest of the staff in making it the
best possible Roller considers
himself lucky to ha ve been at ECU
at the time that he was. "I've been
here through some of the growing
years he said. "Case in point is
the new Sports Medicine facili-
ties. It will aid in recruiting, and in
having everyone in a central loca-
tion. On the sports field, I think of
the basketball program, and how
(Head Coach) Mike Steele and his
staff has turned it around. I think
you're going to see them with an
18 win season this year, and com-
peting for the coference crown in
the next few years. In football, I
think that we have the best team
that we've had since the 1983
squad, (8-3 record, 20 nationally
according to Sports Illustrated). I
think that within a few years, I
will be able to follow ECU
through the papers, And see how
well they have done
As of this date, no one has been
named to take over the vacated
SID post.
Jarrod Moody leaps over a defender in route to the endzone and a Pirate touchdown. (Courtesy SID).
ECU's Lee McNeill goes for Olympic gold
By CAROLYN JUSTICE
Staff Writer
Last summer Lee McNeill won
three gold medals. This summer,
he'll be happy with just one: an
Olympic one.
McNeill, ECU's first sprinter to
ever appear in the Olympics, will
be going for a gold medal in the
4X100 meter relay, an event which
he has had much experience and
success in.
Besides holding the ECU record
for the 55 and 100 meter dashes,
he also is a member of the relay
team which holds the current
ECU record.
Last summer, McNeill carried
his expertise to the U.S. Olympic
Festival, which was held in his
home state of North Carolina.
There McNeill caputured his first
gold medal of the summer, as a
memberof the South4X100 meter
relay.
The St. Paul, N.C, native then
proceeded to the Pan American
Games in Indianapolis, where for
the second time he was a part of a
gold medal winning effort by the
US 4X100 meter relay.
Along with another North
Carolina native, Lee McRae, and
top sprinters Harvey Glance and
Carl Lewis, McNeill won what he
hopes to be one of many more
gold medals as the team took the
title at the World University
Games in Rome, Italy.
This summer, the three-time
See McNEILL, page 44
Baker addresses local media
bust cur
UfVERSf
of campus.
99
"THE CROATAN"
HOURS:
Mon. Thura. 7:30 am. 9 p.t
Fri 7 30 a.m5 p.m.
Sat. 8:30 am. 12:30 p.m
Telephone: 757-6477
By PAUL DUNN
Co-Sporti Editor
All attention was focused on
Head Football Coach Art Baker,
as he prepared to present the 1988
Pirates at the recent Media Day.
Baker's opening remark was
one of high hopes. "I hope you're
as excited about this 1988 season
as I am. Their are many good
indicators that has really got us
excited he said.
Commenting on his coaching
staff, Baker said, "One of the most
significant things about any staff,
at least in the years of experience I
have had, is that there are many
excellent coaches across the coun-
try, but you're going to have a
chance to do your best when you
have a staff that fits the needs of
this particular university at this
particular time in it's football his-
- tory
Baker said that he felt fortunate,
without any reflection on
anybody's past or future, that this
happens to be the group of fool
ball coaches that best under-
stands the needs and goals of the
team and knows where they are in
the developement of the pro-
gram.
"I believe as far as the players
they have to coach and the people
we have to coach against, that this
is the best staff we have had
heresaid Baker.
Highlighting on the quarter-
back situation, Baker said without
reservations that Travis Hunter
would be starting.
"For the first time in the four
years that I've been here, we will
have a starting quarterback from
all 11 games last year, returning
said Baker.
The head coach was quick to
point out that Hunter is a proven
winner and that he continued to
improve in the spring.
Boasting on the dedication of
his players, Baker was especially
pleased with a certain young
man. "One of the real success sto-
ries since last year is Mike Apple-
white. Mike was told that he was
actually too big to play last year
and defensive line coach Don
Thompson asked him to get down
to a weight that would enable him
to be the best he could be added
Baker.
Applewhite tackled the chal-
lenge and came out on top. The
defensive lineman, since last sea-
son, has lost 42 pounds while
improving his strength and
speed.
Commenting on his method of
weight loss, Applewhite said. "I
just started eating like a human. I
also ride a bike for at least 25
minutes non-stop everyday
Coach Baker stated that going
back, he felt that two significant
things have happened in the
growth of this program. Baker,
being in his fourth season, said he
made a commitment to himself to
correct the mistakes that were
present upon his arrival to the
university. He said that steady
quality growth is what he had
hopea for from the very begin-
ning and he feels that the unit has
made that.
"Certainly, the 1987 team, com-
pared with some statistics of the
1983 team, you would find a dif-
ference of only about 100 yards in
total offense and average points
per game were about the
same'said Baker.
The second significant situation
Baker feels that will help get the
1988 team where they want to be
was the results of the 20 spring
practices.
"Our staff and players really
made a committment to continue
the turn around and I felt that we
came out of spring practice with a
good feeling about ourselves and
a very positive outlook on the '88
season stated Baker.
Baker addedWe are all cer-
tainly aware of the difficulty of
the schedule and we know who
we have to play
The coaching staff was very
pleased with the mental and
physical condition of the players
returning after the short summer
break. Their individual
comittment for conditioning has
made this the best physically pre-
pared football team that he has
had at East Carolina, Baker said.
The recent return of the fresh-
men players has created even
moreenthusiasm for the team. "In
my four years, I can safely say that
this group of freshmen are with-
out a doubt in my mind the most
talented we have had report here
at one time Baker stated.
One outstanding freshmen line-
man, Tom Scott, is a huge 6-7,and
See PREVIEW, page 45
East Carolina Head Coach Art Baker adresses the media at the
annual Pirate Media Day festivities. (Courtesy SID).
?? ?,( ??





44
THE EAST CAROLINIAN
AUGUST 23, 1QH8
Pirate hopes ride on strong offensive unit
Continued from page 43
guard positions. Southall has
great quickness and striking abil-
ity, and according to Shankweiler
he fits well into the Tirate offen-
sive scheme because of his ability
on the trap and the trap-option
that the Pirates run. At the other
guard position will be Billy
Michel, a 6-4, 270-pound senior,
who the coaches arc very high on.
Michel suffered a torn ligament in
his right knee last season against
Virginia Tech. Me underwent re-
constructive surgerv, missing the
remainder of the '87 season and
spring drills. But according to
sports medicine personnel, he is
far ahead in his rehabilitation, and
the coaching staff feels as if he is a
good professional prospect. Not
only does he have good size, but
he is very fast for his size, clocking
in at 4.6 seconds in the forty-yard
dash.
At one tackle position will be
Grant Lowe, a 6-5, 25-pound
junior. Lowe was named a ' star ot
the future" by The Sporting News
last fall as the magazine rated the
top offensive linemen, and he was
the team's top tackle in terms of
consistency. According to
coaches, he has greatly improved
his upper body strength and his
pass blocking ability. Filling out
the starting five at the other tackle
will be Todd Drugac, a 6-3, 2S4-
pound junior. According to the
coaches, Drugac worked hard
during the off-season on a weight
and conditioning program and
has improved on his pass block-
ing, which was his only weak area
last year.
Rounding out the of tensive unit
are the wide receivers. Walter
Wilson a junior, will be the pri-
mary argot for Travis Hunter.
Wilson caught 18 passes for 324
vards last reason to lead the Pi-
rates in receiving yardage. Also
expected to see playing time this
season are senior Don Gaylor,
red-shirt freshman Terry Bennett.
and junior Bojack Davenport.
On the defensive side of the ball,
the Pirates are not so fortunate,
with onlv four starters returning
from last season. The loss of inside
linebackers Vince Smith and
Bubba Waters, outside lineback-
ers John Williamson, Willie Pow-
ell and Essrav Taliafcrro, and
defensive back Ellis Dillahunt
McNeill runs
with the U.S.
4 xlOO team
Continued from page 43
All-American is going for the gold
he's dreamed of all his life.
"This is what I've always
wanted said McNeill, who will
be competing in several interna-
tional meets before the Olympics
in mid-September. "I've heard so
many people talk about me get-
ting the chance to be in the Olym-
pics. I guess I knew I had a shot at
it, but now it's really happening
McNeill was selected to the
Olympic teambut will not know if
he'll be running at Seoul until the
games roll around. At the upcom-
ing international meets in Europe,
McNeill will run on the relay.
After that the coach will decide
who will run in Seoul.
McNeill is guaranteed of any
medal that the relay team wins in
Seoul, even though he may not
run.
The spot that McNeill hopes to
be in is that of the second leg of the
relay. His biggest competition
will be Joe Deloach from Houston
University. "I think I've got a bet-
ter chance than anyone else be-
cause I've got more experience at
the second-leg than anyone else
does said McNeill. "Joe (Delo-
ach) will be a hard competitor, but
even though he's a little faster,
I've got the experience handling
the baton. The speed's no good if
you drop the baton
McNeill says he's excited about
the Olympics, but if he's given the
opportunity to run he wants to
treat the relay in Seoul as if it is any
other race. He says nerves won't
be a problem because he's going
to do what has to be done to win.
"I want to put everything out of
my mind before the race, every-
thing but winning
will put a severe strain on the
young defensive unit. "We will
definitely miss the leadership that
we had from our linebackers dur-
ing the last two seasons Baker
said. "We have several players in
Glenn Willis. Brian McPhatter
Mike Applewhite, a 6-3, 285-
pound junior, will be expected to
lead a young but talented line.
Applewhite will be expected to
pressure opposing quarterbacks
in the Pirate's pass rush. Starting
with Applewhite on the line will
who can play any position on the
line, and Joey Maddox, a 6-2, 250-
pound sophomore, who also won
an "Every Play, Every Day"
award in the spring.
The new defensive scheme for
the Pirates calls for two corners
strength and experience at this
position. At free safety will be
returning starter Bryan
Haywood, who the defensive
secondary will look to tor leader-
ship. He will share playing time
with senior Hint McCallum, who
and Compton McCurry who saw be Carl Carney, a 6-2, 260-pound and a free safety. Returning start- coaches say is one of the smartest
valuable playing time last season, junior, who won an "Every Play, ers Junior Robinson, who Coach players op the squad.
But there's no question that we Every Day" award this spring for Don Powers called "one of the Special teams is a question
will need someone to take charge his durability. At the defensive finest athletes ever to play in the mark for the Pirates this season,
end positions will be Shannon ECU secondary and Ed with thelossof placckicker Chuck
Bohng, a 6 4,240-pound senior Brogdon will Rive the Pirates Berleth. Robb Imperato has
this spung
On the line, defensiv
lineman
most experience of ai ? I the
kickers on the squad, an I
orked a lot with Berl th la ?
season. Returning at puntci
unior Craig Losito, I
piled a 38 5yai
son.
Baker feels as though C' I
and the coaching stafi has a
good attitude about the
ing season, and he thinks tl
will help the team tren
Fresh Daily
GROUND
BEEF
SportsWriters
needed!
Apply in person at The East
Carolinian.
Prices in this ad good thru
Sunday, August 28, 1988.
Lb. Pack Or More
USDAr c'oE
Golden Ripe
BANANAS
Large Western
Cantaloupes
Each
Lbs.
Blue, Red Seedless Or
WHITE SEEDLESS GRAPES
USDA Choice Beet
Boneless
YORK sitw SltMl
1212oz.
Coors
Regular & Lite
$5.29
NR
1.5 TCC
Blush, Burgandy,
Chablis, Rhine,
Rose, Chablis w
Twist, Lt Blush,
Lt Chablis
Pepsi & Pepsi Free
Diet Pepsi, Diet
Pepsi Free
99 ?
Mountain Dew &
Diet Mountain
Dew
$1.09
$3.69 $4.39
1212oz. cans
Busch
Cans
?"? Av I
Jumbo Baking 4J
POTATOES
Sweet Juicy
EXTRA LOW PRICESEVERYDAY
V
.n
Wise - 7 Oz. Reg.Triangles
NACHO BRAVOS
Wise Snack ft
Assortment. .7?1?"0z79
9 Pack - Double Fruit Cooler
Fruit PunchOrangeGrapeCherry
Candy Apple CoolerWild Berry
Hl-C DRINK
$199
9.5 Oz. - RegBran Biscuits
BUTTER-ME-NOTS
299c
r?i.?
16 Oz - Lt. Thousand Island
KRAFT DRESSING
$159
to ?c. ' ?.?
ic ??"
5 Lb. - Frozen
INTERSTATE POTATOES
6 Pack WhiteYellow
CHARMIN TOILET TISSUE
$159
-f-

AM?
fciLA:
$139
6 Ct Plain'10 0: ? Raisin
With Honey12 Oz - OnionEgg
LENDERS BAGELS
120 Ct. - Napkins
MARDI GRAS
6 Oz. - Cat Or Dog Food
KAL KAN
tea
25 Lb RationChunk Dog Food
HUNTERS CHOICE
Kai Kan &
Baker
( anl
linen
?
he i
i ?
? ?
? i
I
Hill Mo
O!
ECU ? n
?

at E '
gran
he
form n
h 4
I
at PI
has
in
?
? ? i
?
the
the - ?
?

conl
w
thai
n- ii ?
. I
abl ?
"C ?
? ? . .
tennis
interc
courts ???
sut ?
hal
The ?
i-
irts ;
fite i .
th icfa
the
? ?
?

M
?
be vvl al
the) -
conl ?
I ?
?
? I
FOOT
inn





I
V
44
THE EAST CAROLINIAN
AUGUST 23,1988
Pirate hopes ride on strong offensive unit
Continued from page 43
guard positions. Southall has
will put a severe strain on the
young defensive unit. "We will
Mike Applewhite, a 6-3, 285- who can play any position on the strength and experience at this most ?P"te?? of any of the
pound junior, will be expected to line, and Joey Maddox, a 6-2,250- position. At free safety will be kickers on ?&?? J
s1j u i1j u-? a o?ui?,?? u? ,i????? rnh.mina ctartpr Bryan worked a lot wih
I
VUUng UUCII31VI. Ullll. ?VC Will pUUIIU JUIIIUI, ??lll IA. tJVJVM iv nuv unu juvj i.iuvamu i. v ?- j
guard positions. Southall has definitely miss the leadership that lead a young but talented line, pound sophomore, who also won returning starter . .
great quickness and striking abil- we had from our linebackers dur- Applewhite will be expected to an "Every Play, Every Day" Haywood, who the defensive n l urT ?,
ity, and according to Shankweiler ing the last two seasons Baker pressure opposing quarterbacks award in the spring. secondary will look to
Fresh Daily
GROUND
BEEF
Prices in this ad good thru
t .?. no HHQQ
ity, and according to Shankweiler ing the last two seasons Baker pressure opposing quarterbacks award in the spring. secondary will look to for leader- SfifSlJfSSJJuLf
he fits well into the Pirate offen- said. "We have several players in in the Pirate's pass rush. Starting The new defensive scheme for ship. He will share playing time piled a x.o yara averse ?dM .a-
sive scheme because of his ability Glenn Willis, Brian McPhatter, with Applewhite on the line will the Pirates calls for two corners with senior Flint McCallum, who son.
on the trap and the trap-option and Compton McCurry who saw be Carl Carney, a 6-2,260-pound and a free safety. Returning start- coaches say is one of the smartest . . .
that the Pirates run. At the other valuable playing time last season, junior, who won an "Every Play, ers Junior Robinson, who Coach players on the squad. "?? iccis as ?w"b" "? ?-?
guard position will be Billy But there's no question that we Every Day" award this spring for Don Powers called "one of the Special teams is a question .Pl
Michel, a 6-4, 270-pound senior, wm need someone to take charge his durability. At the defensive finest athletes ever to play in the mark for the Pirates this season, good attitude a?ui me ?P?rn-
who the coaches are very high on. this spring end positions will be Shannon ECU secondary and Ed with the loss of placckicker Chuck ing?f?n'and nc l "?s
?J On the W, defensive lineman BqI a 6-4,240-pound senior Brogdon will give the Pirates Berleth. Robb Imperato has the will help the team trcmcndoi ly.
Michel suffered a torn ligament in
his right knee last season against
Virginia Tech. He underwent re-
constructive surgery, missing the
remainder of the '87 season and
spring drills. But according to
sports medicine personnel, he is
far ahead in his rehabilitation, and
the coaching staff feels as if he is a
good professional prospect. Not
only does he have good size, but
he is very fast for his size, clocking
in at 4.6 seconds in the forty-yard
dash.
At one tackle position will be
Grant Lowe, a 6-5, 265-pound
junior. Lowe was named a "star of
the future" by The Sporting News
last fall as the magazine rated the
top offensive linemen, and he was
the team's top tackle in terms of
consistency. According to
coaches, he has greatly improved
his upper body strength and his
pass blocking ability. Filling out
the starting five at the other tackle
will be Todd Drugac, a 6-3, 284-
pound junior. According to the
coaches, Drugac worked hard
during the off-season on a weight
and conditioning program and
has improved on his pass block-
ing, which was his only weak area
last year.
Rounding out the offensive unit
are the wide receivers. Walter
Wilson, a junior, will be the pri-
mary target for Travis Hunter.
Wilson caught 18 passes for 324
yards last season to lead the Pi-
rates in receiving yardage. Also
expected to see playing time this
season are senior Don Gaylor,
red-shirt freshman Terry Bennett,
and junior Bojack Davenport.
On the defensive side of the ball,
the Pirates are not so fortunate,
with only four starters returning
from last season. The loss of inside
linebackers VinceSmkh and
Bubba Waters, outside lineback-
ers John WilliamsonWillie Pow-
ell and Essray Taliaferro, and
defensive back Ellis Dillahunt
Lb. Pack Or More
USD
Cho
'ice
USDA
Fami
Choi,
Jck
at.85
0UNd
eless
smn
Large Western
Cantaloupes
Each

Blue, Red Seedless Or
HITE SEEDLESS GRAPI
ree
et
McNeill runs
with the US.
4 xlOO team
Continued from page 43
All-American is going for the gold
he's dreamed of all his life.
This is what I've always
wanted said McNeill, who will
be competing in several interna-
tional meets before the Olympics
in mid-September. "I've heard so
many people talk about me get-
ting the chance to be in the Olym-
pics. I guess I knew I had a shot at
it, but now if s really happening
McNeill was selected to the
Olympic team but will not know if
he'll be running at Seoul until the
games roll around. At the upcom-
ing international meets in Europe,
McNeill will run on the relay.
After that the coach will decide
who will run in Seoul.
McNeill is guaranteed of any
medal that the relay team wins in
Seoul, even though he may not
run.
The spot that McNeill hopes to
be in is that of the second leg of the
relay. His biggest competition
will be Joe Deloach from Houston
University. "I think I've got a bet-
ter chance than anyone else be-
cause I've got more experience at
the second-leg than anyone else
does said McNeill. "Joe (Delo-
ach) will be a hard competitor, but
even though he's a little faster,
I've got the experience handling
the baton. The speed's no good if
you drop the baton
McNeill says he's excited about
the Olympics, but if he's given the
opportunity to run he wants to
treat the relay in Seoul as if it is any
other race. He says nerves won't
be a problem because he's going
to do what has to be done to win.
"I want to put everything out of
my mind before the race, every-
thing but winning
USDA
Choice
Boneless
Beef
Regular & Lite
$5.29
SIMP STEM
NR
1.5 TCC
Blush, Burgandy,
Chablis, Rhine,
Rose, Chablis w
Twist, Lt Blush,
Lt Chablis
Mountain Dew &
Diet Mountain
Dew
$1.09
?.?? "
1212oz. cans
Busch
Cans
$3.69 $4.39
Jumbo Baking
POTATOES
Sweet Juicy
PEACHES
3
Lbs
EXTRA LOW PRICES-EVERYDAY
Wise - 7 Oz. Reg.Triangles
NACHO BRAVOS
Assortment. .7?0z.1.79
9 Pack ? Double Fruit Cooler
Fruit PunchOrangeGrapeCherry
Candy Apple CoolerWild Berry
Hl-C DRINK
$199
9.5 Oz. - Reg.Bran Biscuits
BUTTERME-NOTS
iUM
u?i
64 Oz.
FIVE ALIVE JUICE
?EB
If
1
16 Oz. - Lt. Thousand Island
KRAFT DRESSING
Oz. - Hunt's
TOMATO SAUCE
Hunts
5 Lb. - Frozen
INTERSTATE POTATOES
$139
6 Ct. - Plain10 Oz - Raisin
With Honey12 Oz. - OnionEgg
LENDER'S BAGELS
SportsWriters
needed!
Apply in person at The Ea$t
Carolinian.
6 Pack - WhiteYellow
CHARMIN TOILET TISSUE
$159
120 Ct. - Napkins
MARDI GRAS
tX-
6 Oz. - Cat Or Dog Food
KALKAN
25 Lb. RationChunk Dog Food
HUNTER'S CHOICE
UKaiKan (i
Baker
Continued from page 43
329- pounds. Baker said that tj
lineman received many joku
remarks about his condition, b
he proved to have one of the fa
est times for the offensive line
tlat particular time.
Scott's time in the 40 vard dal
was 5.3 seconds and obvious
occording to Baker, he is not
perfect shape. Baker was quick!
point out though that Scott li
Bill Moore ta
ECU men's a
By GREER BOWEN
SUH Writer
The East Carolina tennis te;
has a new coach, Dr. William
Moore. Moore founded the P
formancc Fundamental progri
at East Carolina in 1987. The
gram is a sports pschhology ci
sultancy program designed
help athclets achcive "elite"
formance.
Moore is an excellent terj
player. During his college can
at Pheifer College he was a jur
collegiate player before mov
up to the professional ran
Moore is married and has
young boys.
'Tennis is a lifetime sport
Moore. He believes that tel
has taken the place of golf ml
business world. "Many ?J
tives play tennis and man
decisions are made on the U.
courts he added. Moore
that students who want to goj
business should play tennis
also said that many people
been offered jobs by a tennis
r.er or someone they nut an
the courts.
Theonly courts at East Cai
which are suitable for play n.
the six courts at Mingcs. N
would like to see more c
idded at East Carolina
courts arc going to be full d
the school year with the I
team and tennis clas-
Moore. This is certain to
conflict between the sU;
4?vho want to play, a"
fffcat needs to pradircw
rrioore said that he is con
bout the courts bccau
would hate for students nc
able to play tennis tor recrel
"Golf takes too much tu
most students, but it does ncj
long to play a game or t
tennis said Moore. He u
interested in how a.e lose
courts will effect the intrar
department. These court
sure to be in great dcmai
that is sure to cause conflici
The tennis team will hal
practice in shifts due to the if
two courts. But Moore sau
the tennis team will do fine
though the facilities arc noti
they should be. Moore sai
does net really have any expj
toons about the teams p
mance. "Our schedule is
difficult this year said M
The tougher schedule shou!
the team prepare for confer!
play. Moore said that
though the teams record mai
be what it has been in the
they should have a much bj
conference ranking this yearj
"The program is go in.
grow Moore said. The atii
department has aloted nj
scholarship funds this year"
Moore believes that this is a I
that the University would lik
program to grow. Moore sau
te?m has not lived up to it's f
rial and he would like to sce'J
change.
Tfoot"
! BAL

Sport
d
EC
STYLE
s





THE EAST CAROLINIAN
AUGUST 23,1988 45
unit
i nee ol an) ol the
the squad and he
: n th Per loth last
nine at punter will
- to, who com-
- 5 vard a erage last sca-
- as though the team
ting slatt has a very
t the upcom-
- and he thinks that this
ndously.
Lb.
Or More
?qe Western
mtaloupes
y
0
Each
lc Seedless Or
1DLESS GRAPES
io Baking it
TOES
let Juicy
64 02 I
ALIVE JUICE '
Oz - Raisin
'2 Oz - OnionEgg
lER'S BAGELS
ationChunk Dog Food
ER'S CHOICE
3"
Baker previews '88 Pirate football team
Continued from page 43
329- pounds. Baker said that the
lineman received many joking
remarks about his condition, but
he pro ed to have one of the fast-
est times tor the offensive line at
that particular time.
Scott's time in the 40 vard dash
was 5 3 seconds and obviously,
occording to Baker, he is not in
perfect shape Baker was quick to
:nt out though that Seott has
made it through every workout
and has a great additude.
"We are looking forward to
opening our season at home, for
this is the tirst home opening the
Pirates have had in twelve years
said Baker.
As Coach Baker and his staff
take a look at their difficult sched-
ule, they deeided to break it up
into throe parts.
"Our goal for the first five
games is to have a winning sea-
son. Of course we would like to do
much better than that'said
Baker.
The Pirates then venture into
their second part of the schedule
that Baker is calling the Super
Bowl Four. Their opponents are
some of the powerhouses of the
nation, such as Florida State,
Miami, West Virginia and South
Carolina.
"Our minimum goal is to upset
one of those teams and to beat
someone we have not beaten be-
fore at East Carolina stated
Baker.
The final two games being away
sets the third and final stage of the
season.
"We want to finish the season
with two wins that will be on the
roadsaid Baker.
The Pirates have ten returning
offensive starters, and that is an
added strength towards setting
their goals. "Anytime you have
Bill Moore takes over the reigns to lead the
ECU men's and women's tennis squads
Bv GRIER BOWEN
SUtf Writer
The East Carolina tennis team
has a new coach, Dr. William E.
Moore. Moore founded the Per-
formance Fundamental program
at Fast Carolina in 1987. The pro-
cram is a sports pschhology con-
sultancy program designed to
help athelcts acheive "elite" pre-
to nuance
Moore is an excellent tennis
player. During his college career
at Pheifer College he was a junior
collegiate player before moving
up to the professional ranks.
Moore is married and has two
young boys.
Tennis is a lifetime sport said
Moore. He believes that tennis
has taken the place of golf in the
business world. "Many execu-
tives play tennis and man) big
decisions are made on the tennis
courts he added. Moore said
that students who want to go inl ?
business should play tennis. 1 le
aso said that many people have
been offered jobs by a tennis part-
ner or someone they met around
the courts.
Theonly courts at East Carolina
which are suitable for playing are
the six courts at Minges Moore
would like to see more courts
ridded at East Carolina. "These
courts are going to be full during
the school year with the tennis
team and tennis classes said
.Moore. This is certain to cause
conflict between the students
who v. ant to play ind H?e tearr
that needs to practice
Moore said that he is concerned
-?bout the courts because he
would hate for students not to be
able to play tennis tor recreation.
"Golf takes too much time for
most students, but it does not take
long to play a game or two of
tennis' said Moore. He is also
interested in how
lose of tin
! FOOT
that many returning starters, you
have an excellent chance for a
winning season said Baker.
The defense is a young and in-
experienced team but that will be
a short-coming they will have to
face.
"I am really impressed with the
running ability and quickness of
our defense. Coach Bell and the
rest of the defensive staff have
done an excellent job said Baker.
The biggest question mark of
the '88 season will be the special
teams. The graduated
placckicker, Chuch Borlcth, will
be greatly missed. The squad is
still looking for someone to fill
those shoes.
The 1988 season will be a most
difficult one but will prove to be a
most exciting one.
Benetton Invites ECU
to come Preview Our
Colorful FA11
COLLECTION and
Receive 20 Off Any
Item With This Coupon
While You're In Sample Our new
Fragrance For Men:
638 Arlington Blvd.
Arlington Village
MonSat. 10-6
355-7473
Coupon Valid Thru Labor Dav
Not Valid On Lavawavs
Susan Mattocks prepares to return service during a Pirate tennis
match. I his year's squad will be directed by first year coach
Bill Moore. (Courtesy SID).
courts will effect the intramurals
department. These courts are
sure to be in great demand, and
that is sure to cause conflicts.
The tennis team will have to
rachce in shifts due to the lose of
two courts. But Moore said that
tuc tennis team will do fine even
though the facilities are not what
they should be. Moore said he
does net really have any expecta-
tions about the teams prefor-
mance. "Our schedule is more
difficult this year said Moore.
The tougher schedule should help
the team prepare for conference
play. Moore said that even
though the teams record may not
be what it has been in the past,
thev should have a much better
J
conference ranking this year
"The program is going to
grow Moore said. The athletic
department has aloted more
scholarship tunds this year and
Moore believes that this is a sign
that the University would like the
program to grow. Moore said the
team has not lived up to it's poten-
tial and he would like to sec that
change.
1
ball
Lumber Co. and
Home Center
Lake wood Galaxy
20" Box Fan 12"
Oscillating
Fan
(Model P 23
(Model 2150C:
V
Your Choice
SjrL
INTRODUCING A
CHECKING ACCOUNT f?
THAT WILL 0NDT v
COST YOU THIS
MUCH A MONTH.
PLANTERS BASgJNE CHECKING
NO Minimum Balance
You don't have to keep two months of grocery money tied up in
minimum balance requirements with Planters Baseline Checking.
In fact, this account will cost you less than a chicken dinner, just
$3 per month with no minimum balance required.
10 FREE Checks
write your first 10 checks of every month free (S(K per check
charge applies only to additional checks).
Unlimited Planters Green" Withdrawals
Am time vou get a last minute dinner invitation and need extra
cash - no matter what time of the day or night- just drop by any of
our Planters Green 24-hour automated teller machines and use
your Planters Green Card. There's no charge. No matter how many
baseline Checking withdrawals and deposits you make.
tour Planters Green Card can also be used at other ATMs that
are part of the Relav system. nd the service charge for a Relay
transaction is just S(K (most other banks charge between 75
and SI)
Gome visit your local Planters Bank to open your Baseline
Checking account today And go ahead and splurge a little tonight
on
Na
iora
Cassette Tape-5Pk.
With Carrying Case
Buy 5 pk ot high quality
90 minute audio tape
and get tree, a zippered
carrying case that holds
10 tapes
WHILE
SUPPLIES
LAST
iveMonex
Less
Rebate
Swing Arm Lamp
Architect style ciamp on lamp tor home desk or office i
white or brown
O.16S240
697391
Your
final
Cost
)99
(738
32413.32614)
As Advertised
On
National TV.
WHILE
SUPPLIES
LAST
Lumber olnc.
4-Pk. Pin
(3008 D
59662)
Master
4-PACK
Tumbler Padlocks
3!
so?ii i 1 ,2- laminated steel
iJgrTp&il padlocks All four locks
'TjJjjJUBil are keyed alike.
(2001 D
59665)
Heavy Duty
Combination Lock
With dual locking ac
tion, stainless steel case
& hardened steel shac
kle
701 W. Fourteenth St.
Greenville, N.C.
Telephone: 752-2106
Open 7:30 a.m5:00 p.m.
Quantities Limited
Sale Ends August 31, 1988
MCmWOM ?vt
'
Lumber (cine.





)

46
THE EAST CAROLINIAN
AUGUST 23,1988
Lust named as soccer coach
?
By TOM DOYLE
Special to the East Carolinian
The 1988 edition of the Pirate
Soccer team is going into the new
season with hope, optimism, and
a lot of questions. It's the first year
for new head coach Bob Lust, who
takes over the reigns from Charles
Harvey. Lust is a doctor in the
cardiac surgery lab, and is hoping
to get his latest patient, the ECU
soccer program, up and running.
It's a job that Coach Lust may
very well be able to handle. His
experiences with soccor stretch
back to being a player at Hamilton
College in Clinton, New York,
being head coach at Clinton High
School, where he compliled a 16-
4-3 record and a sectional champi-
onship. Then coaching in Lub-
bock Soccer Association and
South Plains Soccer Association
while studing for his doctorate
from Texas Tech, to assistant
coach at Tech and finally head
coach at Tech, where his teams
had a combined indooroutdoor
record of 250-38-31.
Lust is cautiously optimistic
about the upcoming season and
does not promise any miracles on
the field. "When you're in a con-
ference with the likes of Ameri-
can, James Madison, and George
Mason, it's tough to get recogni-
tion. Those schools are usually
ranked in the Southeast, and one
of them will be conference repre-
sentative to the NCAA's said
Lust in evaluating the upcoming
season.
"At Texas Tech, if vou weren't
the football team, you didn't get
any press. As a matter of fact, the
Southwest Conference didn't
even recognize soccor as a major
sport. The program was run
through the recreational sports
department. The only school to
branch off and become a division
one program was Southern Meth-
odist, and that's only because
their football team got the death
penalty Lust is pleased with the
attention the sport is getting at
ECU.
"We used to have to struggle to
make meal money for road trips.
Usually, there was a player on the
team that was from the city we
were visiting, so he could help out
with accomidations. It was a real
struggle sometimes said Lust is
recalling his experience at Tech.
Brighter times are ahead. Fol-
lowing thrce-a-day practices in
early August, the roster was
trimmed down to 24 players, 13 of
which are freshmen. The nucleus
of the team, though, is going to be
three returners from last years
team, a team that only went 3-13.
LA. Raiders cut
veteran Plunkett
OXNARD, Calf. (AP) ? The
Los Angeles Raiders released
quarterback Jim Plunkett re-
cently, ending a comeback at-
tempt by the 40-year-old Heis-
man Trophy winner.
The oldest active player in pro
football, Plunkett learned of his
release after breakfast when first-
year coach Mike Shanahan told
Plunkett he didn't fit into the
Raiders' plans.
"This was no big shock'
Plunkett said, showing little emo-
tion.
"I just didn't think it would be
this quick. It's unfortunate, be-
cause I really wanted to be a part
of this club
Asked about the emotions of
getting released by the Raiders
after 10 years with the club,
Plunkett said, "Obviously, I
would rather be here. I just came
to give it another shot
"Put I have no regrets about my
10 years here. They were a lot
better than my first seven (at New
England and San Fransicso)
Asked if he planned to pursue
any possible career options else-
where in the NFL, Plunkett
laughed.
"I don't think there's too much
demand for 40-ycar-old quarter-
backs he said.
The Raiders' plans for 1988, not
yet revealed by Shanahan,
seemed to call for three quarter-
backs, with Steve Beuerlein and
Vince Evans being the top two.
Plunkett got his last chance to
make the Raiders in the second
half of Saturday's preseason
game against Dallas, but he ap-
peared tentative and uncomfort-
able in the club's new offense.
Coach Lust plans to make de-
fense a key. "I know it may sound
corny, but a good defense might
make our offense better. Until we
can find out if our forwards and
mid-fielders can score some
goals, we'll have to depend on a
good defense. That will help the
guys up front losen up, knowing
that there's not going to be a big
margin in the score said Lust.
Senior Mac Kendall is the first of
the three seniors on the roster.
Kendall is the teams goal keeper,
charged with stopping
opponent's shots. Before being
injured in 1987, Kendall regis-
tered 860 minutes of playing time,
with 66 saves.
T.J. Aspdcn is another senior
who will play a key role. "I like the
way T.J. and Mac have taken over
as team leaders. They'll give our
younger players the guidance
they need to help build this pro-
gram Aspdcn returns after play-
ing all 16 games last year, and had
one of the teams 12 goals scored
last season.
The third key returner is junior
AndyBritton. Brittonisoneof the
backs, and will be a mainstay in
the Lust defensive scheme. Brit-
ton did manage to score an assist Steve McCarthylightsTfoTwntrol of the balfduring one of ECU'S
m 1987, although defensive play- matches held beside Fickien stadium. The soccer team will be under
ers rarely score. me 1 0f first year coach Bob Lust. (Courtesy of SID).
The freshman class is what is
impressing Lust most right now. beginning their regular season, three of them are on less than 24
"I have been pleasantly surprised Mount Olive comes to town Au-
gust 29th, and St. Andrews Sep-
tember 1st. Regular season and
conference play begins on the
same day. Richmond visits ECU
9
APPLICATIONS
BRING ACCEPTED
FOR THE
FOLLOWING POSITIONS
? SPORTS WRITERS
? NEWS WRITERS
APPLY IN PERSON
MONDAY - FRIDAY
10-A.M4P.M.
AT
by how well these guys are play
ing in practice said Lust of the
newcomers.
Those include Paul Lech, a
forwrd from Vcmon, New Jersey, September 4th at 2:00. In addition
Austin Batse, a mid-fielder from to the Colonial Athletic Associa-
Chaple Hill, and Jason Juliano, a tion schedule, ECU will play in
hours rest Lust is referring to a
date with James Madison after
playing George Mason, a game
with Navy immediately follow-
ing one with American, and fac-
ing Campbell right after playing
UNC-Wilmington the day before.
"I hope to spread those confer-
THE EAST
CAROLINIAN
mid-fielderforward form Long four tournaments this year. They cnce games out next year to bal-
ance our schedual. Right now,
we've just got to suck it up and
rise to the challenge
Rising to the challenge. Some-
thing Pirate players in all sports
have been known to do.
Branch, New Jersey. 'These three include the Francis Marion Col-
freshmem have shown me terrific lege Tournament, Roanokc Col-
ability to move the ball, and by the lege Tournament, Winthrop Col-
end of the year could really be lege Tournament, and the annual
contributing to the team with North Carolina Weslyan College
goals and assists commented Tournament.
Lust. The schedule is something Lust
The Pirate booters will play a plans to change. "We play some of
pair of home scrimmages before the best teams in the region, and
2ND FLOOR
PUBLICATIONS BUILDING
IN FRONT OF JOYNER LIBRARY
Riverbluff
Apartments
Welcomes
New and Returning
Students
?Fully Carpeted
?Large Pool
?Free Cable
?Bus Service1.5 miles from campus
?Under New Management
10th Street Ext. to Riverbluff Rd.
758-4015
I
NICHOLS
WE BEAT ALL COMPETITORS PRESCRIPTION PRICES
COMPARE and
SAVE at
NICHOLS
PHARMACY
- . COMPUTERIZED PRESCRIPTION SERVICE
lr THAT MONITORS DRUG INTERACTIONS
f FREE MEDICAL RECORDS
FOR TAX AND INSURANCE PURPOSES
WE HONOR ALL THIRD PARTY
? AND UNION PRESCRIPTIONS
ASK FOR A QUALITY GENERIC DRUGS
AND SAVE UP TO 70
1 EAST CAROUNA UNIVERISTY STUDENTS
10 DISCOUNT ON PRESCRIPTION DRUGS WITH I.D
I
NEED MONEY?
Let Dining Services
Help To Meet
YOUR NEEDS!
Reasons Why
You
Should Refer To
Dining Service Employment
MONEY
Everyone Needs Extra Spending Money
MEETING PEOPLE
Dining Halls Are Great For Making Friends
ACCESSIBLE
Three On-Campus Locations
"FLEXIBLE SCHEDULES
Work Schedule Built Around YOUR NEEDS
"LEARNING EXPERIENCE
Working With Other People
Great Job Reference
Come By College Hill Dining Hall, Jones
Dorm, For Employment Applications
NateW
to com
ECU NEWS BLRFAL
GREENVILLE ? Eigl
ago, if your name wj
YVigfall, you were a bitterj
pointed 285-pound coll
ball star at East Carolinal
sity whose dream of a pi
was crashing in the class
Full of athletic abilitv,
with youth, strength a
recruited and coached bj
liant Pat Dye, your only
to play for the pros.
But Dve moved on to VI
J J
in 1980 and there was a nl
and a rebuilding oi fool
tunes at ECU. Because
demic difficulties, you wj
part of it and it hurt. Sittif
bench during crucial ga
losing season, you wei
gling with your subjects)
college career was awa!
of F's.
You were brought dc
reading impairment ca
lexia, which was diagnj
same year, 1980. You U
dial reading (
late. There was n
program in place - - a
that now incl
tutoring, having n
special permission to
instead of writti n exai
There is su h a pi
but not them.
You had to hav
college to make the pn s
ter what courses you tl
many or how noi I
were ? you had to main
lastic eligibility and I
It didn't matter I to the pj
didn't graduate, ify
a degree.
You didn't make
were academically incl
you dropped out oi
dream oi making thel
several teammates' did
"1 was very bitter at
Carleste
Sports I
By REID FOGLEyj
Su(f Wiilet
Carlester Crumple
time leading rusher anl
icyrip " 'nitijti: "1
tt5s 1!5rhcd color aYiall
Pirate Sports Network
week. Crumpler will
by-play announcer Jeff
the booth for each of tl
11 games this fall.
Crumpler, a ils j
tive, starred at Wilson
School from 1967-1
he led the Golden Dj
three straight state t. I
pionships. He also I
basketball and track
high school career
then joined the Pirate
had an outstanding carj
virtually every rushij
there is and still h
those today.
After graduation,
enjoyed a short stay
tional Football League!
played professiona
Buffalo Bills, Washii
dskinsand Montreal oj
dian Football League
and a desire to rctui
ended his football car.
After returning to v
pier worker as a sport
WNCT-TV in Green I
as a sports director tl
radio in Wilson. Hit
employed with Ch
Greenville prior to his
Pirate Sports Networl
he was excited about r
Tiratcs, Crumpler sai
new job will be more J
than scoring touchdof
really looking forward
position with the Ptratj
with the upcoming
I've always kept track
progress and now 1 an
be a part of this pro
again Gilbert Fcrrj
presently the Athletic





THE EAST CAROLINIAN
AUGUST 23,1988 47
D
IONS
ERS
ERS
SON
DAY
M.
ome
one
esot
ray
ecn
?er
a2-
?sby
lails
r
i"1
y
3T
IAN
? ?l
id
i)
??
i
;e
)
? ?
ILDING
R LIBRARY
N
ment
lonev
Friends
S
NateWigfall returns to ECU
to complete his education
????? thc Nathaniel Daniel Wigfall of boxing championships.
GREENVILLE - Eight years today, who is 31 years old. He is With a four-year footbal sdnol-
ago, if your name was Nate eight years older, more mature, P3101?
US,fi,a?,youwereab,t.er,ydisap- married, the father of two robust U'd micTh
pointed 285-pound college foot- sons ? and wiser. overcome any
ball star at East Carolina Univcr- He still carries some bitterness ac- . , n that
sitv whose dream of a pro career and the disappointment still .??? Vknew I had
was cradling in the classroom. hurts. But Nate Wigfall is back in ?npo he said- ?'??
Full of athletic ability, blessed school at ECU and achieving aca- JJJtiSSL atout
with youth, strength and size, demic honors. In tact, until he ?1 wS
recruited and coached by the bnl- made his first B last spring he had ? J f a 3 ed
Hant Tat Dye. your only goal was a string of straight A's in 12 tough ?? was hcaVy rCCrUltCd
to plav for the pros. academic courses and added two oUs.
But Dye moved on to Wyoming more A's in sociology and bus- II? . , fo?tball.
in 1980 and there was a new coach ncss writing in summer school. paying P?? OC?
and a rebuilding of football for- With a big grin, he says he's 'ar-s
tunes at ECU. Because of aca- knocking down A's as easily as he ggS SdS
demic difficulties, you were not a used to bring down ball carriers all and getting a degree
part of it and it hurt. Sitting on the behind thc line of scrimmage. matter, Maw.
bench during crucial games in a The F that ended his eligibility After leavmg g?
losing season, you were Strug- eight years ago was in physics I ' 7"??'por
gling with your subjects and your 1 could take it now I'd ace that SofM a car-
Ur careerwasawashmasea ?W?? ?SSS?
?fYou were brought down by a has definitely changed' Wigfall dmpped bjf M?nyn??;
reading impairment called dvs- says. "It used not to matter. Jt
lexia, which was diagnosed that thought I could get by, but now I SUJ?ghn Danicls,
same year, 1980. You took a rente- know that academics are impor- Math professor jo
dial reading course but it was too tant. and other friends talked to
late. There was no additional "My sons will know hat aca- 'hfnds
program in place - a pro-am .Pw sugge ted that, with help, he
that now includes counseling, they will be athletes, but know ume his studics FThcy
tutoring, having note-takers and that academics are a part o it. "g" g Rowe, the
You'vegottohaveacademics, he J of h'andi.
"in Wigfall'scase, it wasa matter capped student Programs .Rowe
ofnotknowingofprogramsavail- gave him counseling and advice
able and ways to overcome aca- and helped obtain a vocational
demic deficiencies. "I knew that I rehabilitation scholarship His
had a deficiency he says. "And I wife, Lucy, cou"Sim- .
don't think that ECU used me. If Wigfall re-enrolled. He started
anybody used me, it was the sys- by taking three reading courses
- simultaneously and did well. I
"Some people got the breaks. I just wish this program had been
just didn't get the same breaks available to me back then, he
UNEEDS
CE
11, Jones
ations
ston
lock
ison
?jgh
port
lobb
YOUR NEIGHBORHOOD CHURCH
special permission to take oral
instead of written examinations.
There is such a program now,
but not them.
You had to have four years of
college to make the pros. No mat-
ter what courses you took, how
many or how non-academic they
wcrc you had to maintain scho-
lastic eligibility and stay in school.
It didn't matter (to the pros) if you
didn't graduate, if you didn't earn
,H.Hr?o At Jacksonville, N.C, Senior says.
3 'vo-udidn-t make it in ,981, you High School, Wigfall won a rec- ??????
wcrc academically ineligible and ord two state championships in nffJ?? ?xs
you dropped out of school The igtovfMcm ?55??Z??
jril,m nr nnkine the oros, as in lV. He was a Tour-spun , , j ? i
SS ;l:S? U -Jed. athlete and in ,979 and ,982 was psyche g arid sociology.
-1 was very bitter about it says the open runner-up in the state s 1 SH on the tront
Carlester Crumpler named as Pirate
Sports Network Color Analyst
By ROD FOGLEMAN hc xson County School Sys-
s,J"VVn,er tern, and who was the Athletic
Carlester Grumpier, ECU'S all- Director at F.ke High School
time leading rusher and a mem- when Crumpler was a player
taouu scWu.ind aiiya tymf UJS
X "ed cXranalySt of the Carlester Cfumpler wafc nofjust
Pirate Sports Network this past a fine athlete but a fine person as
k. Grumpier will join play- well. He has always been a good
Former football standout Nate Wigfall, whose hopes of playing professional football were destroyed
when he was declared academically ineligible to play college football after failing his classes
because of a dyslexic condition, pictured here upon his return to ECU. (Courtesy ECU News Bureau
make eye contact wi th the instruc-
tors which, he says, is a tech-
nique much like playing tackle in
thc defensive line. "I stay alert and
know what's going on. I pay at-
tention
"Thc difference now is, I want
to be here
Christian says Wigfall's aca-
demic accomplishments are all
thc more remarkable because of
his dyslexia which means that he
must memorize much of the lec-
ture information instead of taking
notes.
In two more years, Wigfall will
have earned a BS degree in thera-
peutic recreation through the lei-
sure systems studies program in
thc Department of Health, Physi-
cal Education, Recreation and
Safety (HPERS). In the meantime,
he has developed a commercial
sideline of videotape production,
North State Video Recording in
Greenville.
One of his videotapes produced
as a project in a wri ting class in the
English department is a promo-
tional piece designed to urge
young people to concentrate on
academics and consider profes-
sions such as medicine
I Wednesday
5:45 Fellowship Supper
6:30 College Choir
9:45
Hugh Burlington, Pastor
Garrett
JarvisFlcmingCotti
Fletcher
ClementWhite
SlayUmstead
(in front of Slay)
Arrive at Immanuel
i
wee
by-play announcer Jeff Charles in
the booth for each of the Firates'
11 games this fall.
Crumpler, a Wilson, N.C. na-
tive, starred at Wilson Fike High
School from 1967-1969 in which
he led the Golden Demons to
three straight state football cham-
pionships. He also lettered in
basketball and track during his
high school career. Grumpier
then joined the Pirates, where he
had an outstanding career. He set
virtually every rushing record
there is and still holds many of
those today.
After graduation, Crumpler
enjoyed a short stay in thc Na-
tional Football League, where he
played professionally with thc
Buffalo Bills, Washington Re-
dskins and Montreal of the Cana-
dian Football League. Injuries
and a desire to return to N.C.
ended his football career early.
After returning to N.C Crum-
pler worker as a sportscaster for
WNCT-TV in Greenville and also
as a sports director for WGTM
radio in Wilson. He also was
employed with Chrysler of
Greenville prior to his joining the
Pirate Sports Network. Asked if
he was excited about rejoining thc
Pirates, Grumpier said that his
new job will be more challenging
than scoring touchdowns. "I'm
really looking forward to my new
position with thc Pirates, and also
with thc upcoming fall season.
I've always kept track with ECU's
progress and now 1 am thrilled to
be a part of this program once
again Gilbert Fcrrcll, who is
presently the Athletic Director of
role model and has worked hard
to be where he is now Ferrcll
also stated that Crumpler is very
supportive of his family, which is
the main reason for his continued
success.
The Pirate Sports Network is
very lucky to have Mr. Crumpler
in the booth this fall and we wish
him and the East Carolina football
team much success in the future.
Welcome Back ECU
GO PIRATES!
Carlester Crumpler
H '
EVERY TUESDAY
NITE IS COLLEGE
NITE8-11
ONLY $1.50admission
WITH COLLEGE LD.
.75SKATE RENTAL
104 E. RED BANKS RD.
GREENVILLE, NC
756-6000
HAS
THC too.
East Carolina University's National Award
Wining Literary-Art Magazine
IS NOW ACCEPTING APPLICATIONS
FOR ART DIRECTOR.
LAYOUT EXPERIENCE IS ESSENTIAL.
APPLICATIONS MAY BE OBTAINED
IN THE MEDIA BOARD
OR REBEL OFFICE
LOCATED IN THE
PUBLICATIONS BUILDING.
APPLICATIONS SHOULD BE
TURNED IN NO LATER THAN
THURSDAY, SEPT. 1,5:00 P.M.
! 757-6502
Great TasteLess Filling
ein Mitt 8rpwme Co Maukw





48 THE EAST CAROLINIAN
AUGUST 2.1 1W8
Intramurals offer an assortment of events
i
ECU's (
in recru
By NEEDHAM PARK
SUff Writer
Once again this year the Intra-
mural-Recreational Services (IRS)
have put together a full calandcr
of events for the fall semester. All
the activities or events are avail-
able to any students who presents
hisher ECU identification card.
.Memorial Gymnasium is open
daily during designated times for
use of the basketball court. Those
times are as follows: Mondavs at
12pm to 1:30, and 4pm to 9pm,
Tuesdays from 4pm to 9pm,
Wednesdays from 12pm to 1:30
and 3pm to 9pm, Thursdays from
3pm to 9pm, Fridays from 3pm to
7pm, Saturdays from 11am to
5pm and Sundays from noon until
5pm.
Swimming is available in both
Memorial Gym and at Minges.
The hours available arc as fol-
lows: Memorial is open on Mon-
davs and Wednesdays from 7am
to 8am, 12pm to 1:30pm and 3pm
to 9prn. On Tuesdays and Thurs-
days it is available from 4pm to
5:30pm and 6:30pm to 9pm, as
well as 7am to 8am and 12pm to
1:30pm. Fridays hours are 3pm to
7pm, Saturdays from 11am to
5pm, and Sundays for noon to
5pm. Minges is open for swim-
ming on MonWedFri 7:30 to
9:30 pm, Tues and Thurs from 6 to
8 pm, and Sundays from noon to 5
pm. Minges is not open for swim-
ming on Saturdays.
Weight lifting is available in
three campus locations; Memo-
rial Gym, Minges Coliseum, and
Garret hall. Their hours are as
follows: Memorial Gym is open
on Mon-Thurs from 10am to 9pm,
Fridays from 10am to 7pm, Satur-
days from 11am to 5pm, and
Sundays from noon to 5pm.
Minges will be open on Mon-
Thurs from 3pm to 8:45pm, Fri-
days from 3 to 7pm, closed Satur-
days, and noon to 5pm on Sun-
days. Garret will be open from
3pm to 9 pm on Mon-Thurs, and
Friday and Sunday from 1 to 5
pm.
Aerobics classes are available,
but registration as well as a fee are
necessary to participate. Registra-
tion dates will be August 30 thru
September 2 for the first sessions
and October 11 thru the 14th. To
register, drop by 204 Memorial
hall during these dates.
There are several trip activities
planned for fall which include
back-packing skiing, hang glid-
ing, windsurfing, and kayaking
and canoeing. Equipment check-
out is available, as well as Raquet-
ball. Raquetball reservations can
be made in room 115 Memorial
Gym or be calling 757-6911.
Special events are scheduled
periodically throughout the fall
with first of such on August 30 at
the bottom of College 1 lill. Events
are planned and prizes will be
given to individuals, and the best
represented residence hall will be
declared "King of the Hill For
any information on any of the
given information call 757-6387or
Stop by iii person.it 704 Memorial
Gym.
Kirkpatrick volleyball coach
By CAROLYN JUSTICE
Staff VVntcr
Expect a lot of good things from
ECU'S Women's Volleyball pro-
gram this year as the squad begins
workouts with new head coach,
Judy Kirkpatrick.
The lady Pirates, who open
their season September 9th at the
All Carolina Classic in Chapel
Hill, are looking to improve on
last vcar's 9-19 record by going
out on the court with a new atti-
tude.
"We have nothing to lose in this
situation savs Kirkpatrick, who
begins her first year at ECU after
coaching tor seven season at West
Georgia College. "There's no-
where to go but up, and the girl's
attitude's have come full circle
smci- last sj. ring arid 1 think we
have a lot to forward to
The Ladv I irater. have a busy
schedule to look forward to with
six home marches ;ncluding, the
ECU Invitational Tournament in
late October. The Tournament
will feature conference rivals
lames Madison University, UN'C-
Wilmington, and Winthrop Col-
lege.
ECU finished in last place in the
Colonial Athletic Conference last
season, winning no conference
matches. Kirkpatrick, who
coached at James Madison before
the CAA was established, says
that it is the conference to be play-
ing in.
"The CAA is a super Division-1
conference ?o be playing in. We
have two top teams in William
&Man. and James Madison. Both
are potential national top-20
teams, and then it's anyone's
game as to who finishes in the
third conference spotsays
kirkpatrick. "If we can come up
two spots in the conference, we
will be pleased, and it will be the
start to building a strong program
here at ECU
Expect the lady's squad to be
aggressive, with the new attitude
being, if the ball is on their side,
they play it, get it back over, and
let the other team make the mis-
takes.
"We will be a very upset-
minded team this year. We have
nothing to lose because when we
step on the court, we will be facing
teams who beat us last year says
Kirkpatrick. "It's going to have to
be the other teams who should be
prepared because we are looking
to upsel them
The Lady Pirates return eight
members of last year's team.
Among them are junior setter
outside hitter Debbie Tate, who
earned All-CAA honors last sea-
son with her .367 assist percent-
age and 154 kills.
Junior Jcmma Hollcy also re-
turns for the Lady Pirates. Holley
served up 35 aces for ECU last
season, along with 151 kills and 24
solo blocks.
Two seniors will step into the
leadership role this year tor the
squad. Senior Donna Davis, who
served up 42 aces last year and
made 132 kills, will be back as a
Pirate middle hitter. Tracy Smith,
also a senior, will return to the
team for her senior year, after set-
ting out two years.
Junior Kerry Wcisband will
continue to hold down her setter
position. Wcisband, who had a
.343 assist percentage last season,
will share the spot with Tate.
The lady Pirates will also return
three experienced outside hitters
See VOLLEYBALL, page 49
A member of the ECU women's volleyball team prepares to lam
the ball down for a point. (Courtesy SID).
RACK ROOM SHOES
Grccnvile Buyers Market
Memorial Drive
BACK-TO-SCHOOL '
Whether it's back-to-school, to the
court, track, gym or just relaxing, the
RACK ROOM has a great selection of
NIKE tor you and everyone in your
family.
Shown are just a few oi our great
selection-so come in today and see
our great display oi NIKE anc
pair or two.
RACK ROOM
SI lOES has as large
a selection of fine
athletic footwear as
you will find in the
area - and WE'LL
SAVE VOU
MONEY!
a
CR0SS4IA1NUK
Flag football965:00 pm
Co-rcc Softball966:00 pm
Tennis Singles975.00 pm
Badminton Singles920500 pm
Raquetball Singles9275.00 pm
Golf (best ball)9276:00 pm
Bowling1045:00 pm
Co-Rcc Water Basketball1046:00 pm
1 on 1 Basketball1055.00 pm
Volleyball10195:00 pm
Soccer10196:00 pm
Co-Rcc Flag Football10255:00 pm
3 on 3 Basketball1115:00 pm
Free throw contest1183:00-6:00 pm
BIO 103
MG102
MG102
BB 103
BIO 103
MG102
GCB 1026
MG 102
MG102
GCB 1026
GCB 1026
GCB 1026
BIO 103
TBA
Serving up the best with ECU Athletics!
Doug Johnson and Paul Dunn
INC.
OFFICE SUPPLIES, SCHOOL SUPPLIES
SOCIAL STATIONERY. GIFTS. GREETING CARDS
422 Arlington Blvd. (Opposite Pitt PUzm)
7564224
GREENVILLE. N. C.
Electronic Typewriters For All Your
Resume Paper School Supply Needs
Electronic Typewriter Ribbons
Great Selection, Price, and Service!
M-F 9:30- 6:00
SAT 9:30 - 5:00
IBM Faculty and Staff
Purchase Offering
?Specially priced IBM computer products
?Advanced, easy-to-use technology
?Flexible payment options
?See your Education Product Coordinator today
ComputerLand
m 1 ne one thing to know about computers:
Carolina East CentreHwy. 11
Greenville, North Carolina 27834
Tel: (919) 355-6110
By (,IU ER HOW;
Su!f w ?
Coach
forward to tl
season. "Wo have s
players coming n ?
said Man)
from i
Ovcrton said that the
reputation for being I
ball club,
area don
recruited a nurnl -
from oul
don't want 1
club that d
Carohr .
O ?.
Aho '? I
for ECL ifr
Overton I
coach aJ
he was i
?
numbc- I
wh
icated
add : :
-
nun b ?
Rah igl
?
South is loac
A1 LAN
?
ning
T: ?
?
-
r ?
nd ?
I
?
i
?
?
?gg
:
blessed i
ami
oreia ?
dncy :
acaderr
?
ders n
I .
Clen
captui ?
and v '
n.
The S
is
i ha
seven g in
Volleyba
Continued fi n paj
in junioi M ! ;
soph
Kelly Malara
Newe m rs I
include Alisha Freeney
from Manatee (
lege in Florida Freed
kirkpatrick predicts to :
potential in division e
ball, will be a big boo
team as a setter and a hi
Also joining the team
favorite Amv Barr, a stf
Rose High in Grccnvill
oEllen Best, Melissa
Alisha Seiche.
Preseason action tor
Pirates will include a
mage on Septembc I
Atlantic Chistian (
first home match for thel
be a 7:00 match on Wcj
September 14th,
Campbell University.





r
V'
48 THE EAST CAROLINIAN
AUGUST 23,1988
Intramurals offer an assortment of events
By NEEDHAM PARK
Staff Writer
Once again this year the Intra-
mural-Recreational Services (IRS)
have put together a full calander
of events for the fall semester. All
the activities or events are avail-
able to any students who presents
hisher ECU identification card.
.Memorial Gymnasium is open
daily during designated times for
use of the basketball court. Those
times are as follows: Mondays at
12pm to 130, and 4pm to 9pm,
Tuesdays from 4pm to 9pm,
Wednesdays from 12pm to 130
and 3pm to 9pm, Thursdays from
3pm to 9pm, Fridays from 3pm to
7pm, Saturdays from 11am to
5pm and Sundays from noon until
5pm.
Swimming is available in both
Memorial Gym and at Minges.
The hours available are as fol-
lows: Memorial is open on Mon-
days and Wednesdays from 7am
to 8am, 12pm to 1:30pm and 3pm
to 9pm. On Tuesdays and Thurs-
days it is available from 4pm to
530pm and 6:30pm to 9pm, as
well as 7am to 8am and 12pm to
130pm. Fridays hours are 3pm to
7pm, Saturdays from 11am to
5pm, and Sundays for noon to
5pm. Minges is open for swim-
ming on MonWedFri 730 to
9:30 pm, Tues and Thurs from 6 to
8 pm, and Sundays from noon to 5
pm. Minges is not open for swim-
ming on Saturdays.
Weight lifting is available in
three campus locations; Memo-
rial Gym, Minges Coliseum, and
Garret hall. Their hours are as
follows: Memorial Gym is open
on Mon-Thurs from 10am to 9pm,
Fridays from 10am to 7pm, Satur-
days from 11am to 5pm, and
Sundays from noon to 5pm.
Minges will be open on Mon-
Thurs from 3pm to 8:45pm, Fri-
days from 3 to 7pm, closed Satur-
days, and noon to 5pm on Sun-
days. Garret will be open from
3pm to 9 pm on Mon-Thurs, and
Friday and Sunday from 1 to 5
pm
Aerobics classes are available,
but registration as well as a fee are
necessary to participate. Registra-
tion dates will be August 30 thru
September 2 for the first sessions
and October 11 thru the 14th. To
register, drop by 204 Memorial
hall during these dates.
There are several trip activities
planned for fall which include
back-packing, skiing, hang glid-
ing, windsurfing, and kayaking
and canoeing. Equipment check-
out is available, as well as Raquet-
ball. Raquetball reservations can
be made in room 115 Memorial
Gym or be calling 757-6911.
Special events are scheduled
periodically throughout the fall
with first of such on August 30 at
me bottom of College Hill. Events
are planned and prizes will be
given to individuals, and the best
represented residence hall will be
declared "King of the Hill For
any information on any of the
given information call 757-6387or
stop by in person at 204 Memorial
Gym.
Kirkpatrick volleyball coach
By CAROLYN JUSTICE
Staff Writer
Expect a lot of good things from
ECU's Women's Volleyball pro-
gram this year as the squad begins
workouts with new head coach,
Judy Kirkpatrick.
The lady Pirates, who open
their season September 9th at the
All Carolina Classic in Chapel
Hill, are looking to improve on
last year's 9-19 record by going
out on the court with a new atti-
tude.
"We have nothing to lose in this
situation says Kirkpatrick, who
begins her first year at ECU after
coaching for seven season at West
Georgia College. "There's no-
where to go but up, and the girl's
attitude's have come full circle
since last spring and 1 think we
have a lot to forward to
The Lady Pirates have a busy
schedule to look forward to with
six home matches including, the
ECU Invitational Tournament in
late October. The Tournament
will feature conference rivals
James Madison University, UNC-
Wilmington, and Winthrop Col-
lege.
ECU finished in last place in the
Colonial Athletic Conference last
season, winning no conference
matches. Kirkpatrick, who
coached at James Madison before
the CAA was established, says
that it is the conference to be play-
ing in.
"The CAA is a super Division-1
conference to be playing in. We
have two top teams in William
&Mary and James Madison. Both
are potential national top-20
teams, and then it's anyone's
game as to who finishes in the
third conference spotsays
kirkpatrick. "If we can come up
two spots in the conference, we
will be pleased, and it will be the
start to building a strong program
here at ECU
Expect the lady's squad to be
aggressive, with the new attitude
being, if the ball is on their side,
they play it, get it back over, and
let the other team make the mis-
takes.
"We will be a very upset-
minded team this year. We have
nothing to lose because when we
step on the court, we will be facing
teams who beat us last year says
Kirkpatrick. "It's going to have to
be the other teams who should be
prepared because we are looking
to upset them
The Lady Pirates return eight
members of last year's team.
Among them are junior setter
outside hitter Debbie Tate, who
earned All-CAA honors last sea-
son with her .367 assist percent-
age and 154 kills.
Junior Jemma Holley also re-
turns for the Lady Pirates. Holley
served up 35 aces for ECU last
season, along with 151 kills and 24
solo blocks.
Two seniors will step into the
leadership role this year for the
squad. Senior Donna Davis, who
served up 42 aces last vear and
made 132 kills, will be back as a
Pirate middle hitter. Tracy Smith,
also a senior, will return to the
team for her senior year, after set-
ting out two years.
Junior Kerry Wcisband will
continue to hold down her setter
position. Wcisband, who had a
343 assist percentage last season,
will share the spot with Tate.
The lady Pirates will also return
three experienced outside hitters
See VOLLEYBALL, page -9
A member of the ECU women's volleyball team prepares to slam
the ball down for a point. (Courtesy SID).
RACK ROOM SHOES
Greenvile Buyers Market
Memorial Drive
BACK-TO-SCHOOL
Whether it's back-to-school, to the
court, track, gym or just relaxing, the
RACK ROOM has a great selection of
NIKE for you and everyone in your
family.
Shown are just a few of our great
sclection-so come in today and see
our great display of NIKE and try a
pair or two.
RACK ROOM
SHOES has as large
a selection of fine
athletic footwear as
you will find in the
area - and WE'LL
SAVE YOU
MONEY!
Flag football96
Co-rec Softball96
Tennis Singles97
Badminton Singles920
Raquetball Singles927
Golf (best ball)927
Bowling104
Co-Roc Water Basketball104
1 on 1 Basketball105
Volleyball1019
Soccer1019
Co-Rec Flag Football1025
3 on 3 Basketball111
Free throw contest118
5:00 pm
6:00 p.n
5.O0pm
5:00 pm
5:00 pm
6:00 pm
5:00 pm
6:00 pm
5:00 pm
5:00 pm
6:00 pm
5:00 pm
5:00 pm
3:00-6:00 pm
BIOKO
MG102
MG102
BB103
BIO 103
MG102
GCB1026
MG102
MG102
GCB 1026
GCB 1026
GCB 1026
BIO 103
TBA
?
Serving up the best with ECU Athletics!
Doug Johnson and Paul Dunn
INC.
OFFICE SUPPLIES. SCHOOL SUPPLIES
SOCIAL STATIONERY. GIFTS. GREETING CARDS
422 Artmgton Blvd. (Opportf WB Fto-
756-4224
GREENVILLE. N. C.
Electronic Typewriters For All Your
Resume Paper School Supply Needs
Electronic Typewriter Ribbons
Great Selection, Price, and Service!
M-F 9:30 - 6:00
SAT 9:30 - 5:00
IBM Facility and Staff
Purchase Offering
Specially priced IBM computer products
Advanced, easy-to-use technology
Flexible payment options
See your Education Product Coordinator today
ComputerLand
M The one thing to know about computers?
Carolina East CentreHwy. 11
Greenville, North Carolina 27834
Tel: (919) 355-6110
ECU'S
in recrul
By GREER BOW
Staff Writer
Coach Gary Overt
forward to this years I
season. "We have so
players coming in this
said. Many of the fresj
from eastern North
Overton said that the t(
reputation for being a
ball club, with players I
area dominating the ell
recruited a number oi
from out of state last yd
don't want the reputai
club that doesn't have a
Carolina players said
Overton is origin
Ahoske, and he playet
for ECU from 1969 to 197
Overton became an
coach at East Carolina ai
he was named head coa
This year the te
number of outstanding
who will be looked upor
spots vacated by plaj
graduated. Overton sail
young players will be lo(
add depth to the pitchl
"Pitching has becomf
element in baseball
ton. He added that the
lina team has a gTcat oti
that this should imp:
addition of the freshmci
Jim Bottomly, a trai
dent from Louisburg col
be looked to to be tl
number one lcft-handcx
Bottomly, who playcdj
for Millbrook High
Raleigh, is slated to rep
Smith.
There are a numbe:
South is loai
ATLANTA (AD ?' i
loaded again in 1988
with quality quarterbaj
ning back? and out
teams.
Three of the teams co
key role in the chase n
football's national chamj
including Atlantic Coaj
encc favorite Clemson
Florida independents cc
a 12 finish in last sea?
poll, national champioj
and Florida State.
She group of top quaj
udes a trio of dropl
sers, Tom Hodson of
State, Steve Walsh of M
Jeff Francis of Tcnness
stars Eric Jones of Vandc
Tcrrence Jones of Tul
run-and-shoot ace Tod
South Carolina.
Alabama's Bebbv H
and a pair of Smiths ? Sj
FSU and Emmitt of
head a deep cast of ou
running backs.
Among the others U
Reggie Cobb of Tennej
rold Green of South Cai
Harvey Williams, the
coming off a severe knej
Georgia and Clei
blessed with quality a
among their running be
Georgia features sol
Rodney Hampton and
academic casualties ba
fold, Tim Worlev and Ki
dcrson. Clemson will haj
opposition with the tail
dem of Tern Allen an
McFaddcn.
Clemson is heavily f
capture the ACC chamj
and Miami and Florida ?
the independent field
gion.
The Southeastern G
title is up for grabs inj
championship chase i
seven-game league s
Vollevb
Continued from p?
in junior Michelle Mcli
sophomores Dasha 1
Kelly Malara.
Newcomers to this y
include Alisha Freeney,
from Manatee Comrm
lege in Florida. Freei
Kirkpatrick predicts to
potential in division oi
ball, will be a big booj
team as a setter and a h
Also joining the teai
favorite Amy Barr, a stj
Rose High in Greenvilk
JoEllen Best, Melissa
Alisha Soiche.
Preseason action for
Pirates will include a ho
mage on September 6t
Atlantic Chistian Coll
first home match for the
be a 7:00 match on Wc
September 14th,
Campbell University.





nts
,n
B 103
i im
1026
.thletics!
inn
h )S
-
?
Your
pply Needs
rvice!
,1-F 9:30 - 6:00
AT 9:30 - 5:00
f
:
i
i
today
l
)mputers.
34
ECU'S Overton has fruitful year
in recruiting new baseball players
THE EAST CAROLINIAN
AUGUST 23,1988 49
ByGREERBOWEN
Staff Writer
Coach Gary Overton looks
forward to this years baseball
season. "We have some gTeat
players coming in this year he
said. Many of the freshmen are
from eastern North Carolina.
Overton said that the team has a
reputation for being a solid base-
ball club, with players from the
area dominating the club. "We
recruited a number of players
from out of state last year, but we
vlon't want the reputation of a
lub that doesn't have any North
Carolina players said Overton.
Overton is originally from
?hoske, and he played baseball
for ECU from 1969 to 1974. In 1977
Verton became an assistant
roach at East Carolina and in 1984
o was named head coach.
This year the team has a
number of outstanding freshmen
who will be looked upon to fill the
spots vacated by players that
graduated. Overton said that the
young players will be looked to to
add depth to the pitching staff.
'Pitching has become a key
dement in baseball said Over-
ton. He added that the East Caro-
lina team has a great offense and
that this should improve with the
iddition of the freshmen.
Jim Bottomly, a transfer stu-
dent from Louisburg college, will
be looked to to be the teams
number one left-handed pitcher.
Bottomly, who played baseball
for Milibrook High School in
Raleigh, is slated to replace Gary
smith.
There are a number of fresh-
men from Greenville that will be
playing for the Pirates this season.
Tom Moye, who graduated from
Greenville Rose High School, is
right-handed pitcher who is cur-
rently a member of the football
team as a punter. "Moye is the
kind of player who should get a
great deal of playing time said
Overton. David Daniels went to
Grecnvile Rose and plays first
base and is a football signce as
well. Dallas McPherson, a left-
hander, is also from Greenville
and he too played at Greenville
Rose.
Gary Overton
Rodney Calvin, a left-handed
pitcher from Southern Wayne
High School in Goldsboro, will be
a relief pitcher. "Calvin should
earn a starting spot said Over-
ton.
There are a number of other
freshman pitchers who are going
to add power to the Pirates' base-
ball club. Warren Hall, a lefthan-
der from Apex, Owen Da vis a left-
hander from Fayettville, Ricky
Brite, a left-hander from Snow
Hill and Steve Johnson, a right-
hander from Tarboro, are all
young players who will add the
pitching depth that Overton was
searching for.
Another player that is ex-
pected to help the team this year is
John Gast from Baltimore Mary-
land. Cast is a pitcher and first
baseman that is a right-handed
hitter. "Gast is a power hitter and
was heavily recruited said
Overton. Glen Beck is a third
baseman from South Port N.C
and he played for the state cham-
pion team from South Brunswick.
Many of the returning play-
ers are going to be looked to for
good preformances. Calvin
Brown and John Thomas both had
a great summer. These players
played in the Valley League and
Overton and Coach Best hope that
this summer has improved them.
Brown had 12 homeruns last year
and he is expected to continue to
be a strong hitter.
Overton said that try-outs for
walk on players will be Septem-
ber 1 at 3:00 at Arlington field.
Overton said that usually 50 or 60
guys come out. Any former high
school player is welcome to try
out. Overton said that anywhere
form 5 to 10 players are kept. He
also stressed that many great
players have been walk-ons such
as Chris Bradbcrry, Kurt Parsons,
and Dominic Digirolamo. "Walk-
ons add to East Carolina baseball,
and it helps us to fill any gaps that
come from graduating players
said Overton.
South is loaded with talent at a number of key positions
ATLANTA (AP) ?The South is
loaded again in 1988 ? loaded
with quality quarterbacks, run-
ning backs and outstanding
teams.
Three of the teams could play a
key role in the chase for college
football's national championship,
including Atlantic Coast Confer-
ence favorite Clemson and two
Florida independents coming off
a 1-2 finish in last season's final
poll, national champion Miami
and Florida State.
The group of top quarterbacks
includes a trio of dropbacik pnS
sers, Tom Hodson of Louisiana
State, Steve Walsh of Miami and
feff Francis of Tennessee; option
stars Eric Jones of Vandcrbilt and
Tcrrence Jones of Tulane; and
run-and-shoot ace Todd Ellis of
South Carolina.
Alabama's Bobbv Humphrey
and a pair of Smiths ? Sammie of
SL and Emmitt of Florida ?
ad a deep cast of outstanding
running backs.
Among the others to watch are
Reggie Cobb of Tennessee, Ha-
rold Green of South Carolina and
Harvey Williams, the LSU star
coming off a severe knee injury.
Georgia and Clemson are
blessed with quality and depth
among their running back corps.
Georgia features sophomore
Rodney Hampton and two 1987
academic casualties back in the
told, Tim Worley and Keith Hen-
derson. Clemson will hammer the
opposition with the tailback tan-
lem of Terrv Allen and Wesley
McFadden. "
Clemson is heavily favored to
apture the ACC championship,
md Miami and Florida State head
the independent field in the re-
gion.
The Southeastern Conference
title is up for grabs in the first
hampionship chase involving
ven-game league schedules.
Volleyball
Continued from page 48
in junior Michelle Mclnlosh and
sophomores Dasha Jones and
Kelly Malara.
Newcomers to this year's team
include Alisha Frcency, a transfer
from Manatee Communtiy Col-
lege in Florida. Freeney, who
Kirkpatrick predicts to have great
potential in division one volley-
ball, will be a big boost for the
team as a setter and a hitter.
Also joining the team are local
favorite Amy Barr, a standout at
Rose High in Greenville last year,
loEllen Best, Melissa Lutz, and
Alisha Soiche.
Preseason action for the Lady
Pirates will include a home scrim-
mage on September 6th against
Atlantic Chistian College. The
first home match for the team will
be a 7:00 match on Wednesday,
September 14th, against
Campbell University.
Auburn could repeat its 1987
championship, but Georgia could
be ready to hand Vince Dooley his
seventh SEC title in this, his 25th
season at the helm.
Three other SEC teams could
figure in the race ? Alabama,
Tennessee and LSU, which has by
far the toughest overall schedule
in the league, probably in the na-
it
"Greenville's Finest Bakery for over 65 years
IT
m .
Happy Birthday
(buy your friends personalized
B-Day cakes at Dieners)
Phone: 752-5251
L
815 Dickinson Avenue
Greenville, N.C
UNIVERSITY
MAIRCUnCKS
JMt t WOMJN
?Quality Cuts & Perms at Affordable Prices
?Appointment or Walk-ins
?University Haircutters Support the pirates
Located on corner of
14th & Charles Blvd.
(directly across from "I Can't Believe It's Yogurt")
752-0559
An ECU baseball player prepares to go for the tag during one of the Pirate's games. Coach Gary
Overton has high aspirations for a program that has been outstanding in the past. (Courtesy SID).
tion. Florida is regarded as a dark-
horse contender.
Despite the loss of 13 starters,
seven on offense, and both kick-
ers, Miami isn't rebuilding in its
quest for a third national title in
six years. Coach jimmy Johnson
has plenty of talent, some of it
inexperienced.
I
WELCOME BACK STUDENTS
Krispy Kreme is your full service
Restaurant & Fund Raiser Headquarters
OPEN 24 HOURS A DAY
Located at 300 E. 10th Street (across from McDonald's)
830-1525
Offer Good From
Aug. 22 - Sept. 19
STUDENT STORES
WRIGHT BUILDING
EAST CAROLINA UNIVERSITY
COUPON MUST ACCOMPANY ORDER
TRI-COUNTY HOMES
EAST
745 GREENVILLE BLVD. SW. 756-9874
WELCOME BACK
E.C.U
NEW 2 & 3 BEDROOM
HOMES
FULLY FURNISHED, AC.
WITHIN 5 MINS. OF CAMPUS
ONLY $21500
A MONTH
CALL 756-9874
NOW
j





??
V
f
50
THE EAST CAROLINIAN
AUGUST 23,1988
Tenn Tech looks to improve
By PAUL DUNN
Co-Sporti Editor
Tennessee Tech will venture to
Ficklen Stadium on September
3rd to take on the mighty Pirates.
The home-opener will be the first
time East Carolina has opened
with a home game since 1981. The
Pirates and fans are getting ex-
cited about spending their Labor
Day weekend around Purple and
Gold Country.
The Golden Eagles posted their
best record that they have had in
seven years, in '87, but will be
looking for more improvement in
19S8 as they try to continue their
cl imb to the top of the Ohio Valley
Conference.
Many people have decided that
head coach Jim Ragland made a
big mistake back in 1986 that will
hurt the 1988 squad and beyond.
Ragland decided two seasons ago
to redshirt some of his top seniors.
Coach Ragland stated that he
did not do it for a one year deal but
instead did it to stabilize the foot-
ball program at Tennessee Tech.
Ragland said that if they had not
won any games in 1987, it would
of been a bad move but if we
would have won 10 games and
then lost everything we had
worked to accomplish, it still
would not have been a great
move.
Ragland feels that he made a
good decision but also feels that
winning more games will be a
difficult task until recruiting
catches up. He said that one more
year of recruiting like this year
will make the Golden Eagles
competitive with just about any-
body.
On the defensive line will be
plenty of familiar faces for all four
starting linemen from last year
will be returning. Also joining the
returning starters will be a long
line of game experienced backups
making this area one of the deep-
i -ton the team.
Senior Jonathon Barksdale will
man the left end. Barksdale was
the leading tackier among the
linemen last fall. Backup support
will come from junior Jason
Green, who is known to have
good range and size.
Taking on the duties at the left
tackle position will be the two
year starter Curtis Hissam.
Hissam will continue giving his
consistency and stability to the
defensive front. Redshirt fresh-
man Derrick Lloyd will provide
excellent backup.
Junior Jo Jo Swafford ranks as
the Golden Eagle's biggest defen-
sive lineman and will man the
right tackle spot. Behind Swaf-
ford will be sophomore Travis
Wilson.
Linebacker positions are very
unbalanced. The inside lineback-
ers will be inexperienced while
the outside positions will be
loaded.
Tenn.Tech's two top tacklers
last season, have gone on to the
NFL, leaving a big question mark
at the inside linebaker.
But outside linebacker slots will
see the return of two experienced
players.
Junior Gerald Dossett (no kin to
Tony Dossett playing for the
TCU) moves into the right inside
linebacker position since playing
on the reserve and special team
units in the third year player.
Also Hollis Rutledge comes
back from a 87 redshirt cuts in the
linebacker core as well as junior
Jerry Jared (who may be jared for
the ECU battle) assumes starting
position.
The secondary will be under the
leadership of Ail-American can-
didate Jimmy Isom. Back by his
side again this season will be Mike
Thornton, Frankie Bankhead, and
Bryant Wyatt.
Thornton, after a great year in
'87, continued to improve during
spring practice.
Bankhead returns to one corner
where he will assume his '87 posi-
tion. He is considered to be Tenn.
Tech's best-man coverage player.
A fundalmcntal and consistent
player, Wyatt will cover the other
corner. Wyatt is not known as a
flashy player but can make the big
plays.
Isom, ranking as one of the best
free safeties in 1-AA ball, made 78
tackles and intercepted five
passes in 1987. He has great
speed, quickness and is a sure
tackier.
Although the Golden Eagles
lost many explosive players to
graduation, southpaw Thomas
DeBow Takes over Tech's run and
shoot attack.
Debow has a strong arm and is
known to have quick feet. He
produced well last season as
backup QB and continued to
improve during the spring.
DeBow will be missing experi-
enced protection in his front line,
for all five starters are gone from
last year.
It is a toss up for the center
position going into the fall. So-
phomore Keenan Allen and jun-
ior Winston Massengale are in
deep competition for the call.
Ron Wright, after missing the
'87 season because of a knee in-
jury, will be giving a chance to
prove himself as the starting right
guard. Redshirt freshman Tony
Buhl will be backup and has the
potential to be a good player.
Also hoping for a healthy return
after missing last fall due to a back
problem will be junior Ted Quinn.
Even with him missing the action,
Quinn is still said to be the more
experienced lineman on the team.
Quinn is slated to start at right
tackle. Sophomore Carlos James
has the ability to become a future
all-star and may be called to fill
the position.
Emerging as a top quality line-
man, junior Marc Lewis moves
into the left guard slot after serv-
ing as backup tackle last fall.
Lewis ultilizcs good technique
and is a hard worker. Redshirt
freshman Ted Malone will serve
as Lewis's backup.
Keith Martin , the only senior
lineman, will open at left tackle
after seeing reserve duty through-
out his career. Backing Martin
will be junior Jimmy England.
England suffered injuries in an
automobile accident that side-
lined him temporarily for the last
week of spring practice.
After two seasons on defense,
Eric Miller will move to the offen-
sive line to backup the inside
starters.
The Golden Eagles suffered the
loss of two of their best backfield
players last year to the CFL but
some select returnees and a crop
of speedburning rookies hope to
pick up right where the twosome
left off.
Alfonzo Alexander, sopho-
more, will serve backup for QB
Thomas DeBow, while Lance
Brown needs to regain his touch
after missing '87 due to Proposi-
tion 48.
Darrin Brown, redshirt fresh-
man, came out of spring drills as
the top running back, but will
have to stay on top of the ball
because of stiff competition from
several newcomers.
Most of the challenge will come
from junior college transfer Jackie
Williams, while other top signces
include speedsters Jeff Burns,
William Hargrove, Chip Holmes,
Lewis Jackson and Mike Stewart.
Making a move from tailback to
fullback during spring practice,
senior James Hird appears to have
found a new home at the position.
Hird is expected to make big con-
tributions to the offense.
Redshirt freshman Scott Parrott
and sophomore John Webb also
saw extensive work during the
spring.
Junior Jimmy Hull returns to be
in the starting lineup at the half-
back position after serving as
backup last season. Hull had one
pass reception last year, a 33
yardcr.
Said to be one of the finest re-
ceivers in Tenn. Tech's history,
senior Kenneth Gilstrap will lead
a group of quality receivers that
willallsceplcntyofactionin 1988.
Gilstrap is the type player that
thoroughly knows the passing
game and reads defenses well.
See GOLDEN, page 51
iWAUTIFUL PULL ciolok
COLOR COPIES
Beautiful full color copies
from any original print or 35mm slide.
We can enlarge up to 11" x 17"?use your
imagination and give us a try!
Of course?we do the standard print shop
operations?plus a whole lot more!
DESKTOP PUBLISHING ? PHOTO-TYPESETTING
BROCHURES ? MAGAZINES ? PROGRAMS ? BOOKS
CALENDARS ? POSTERS ? DECALS ? BUMPER STICKERS
COMPLETE PRINTING AND BINDING OPERATIONS
? MORGAN
? PRINTERS, Inc.
Corner Red Banks Rd. & Evans St.
GREENVILLE. N.C.
PHONE
355-5588
eastcamuna
university
hum aomncAnoM
TIM- ux
KELLY, David Bruce
?kJxl
FOR LIBRARY 10
Oft)
2-
YOUR TICKET TO
FITNESS AND FUN
THE DEPARTMENT OF INTRAMURAL-RECREATIONAL
SERVICES OFFERS TO ALL FACULTY, STAFF AND
STUDENTS:
?INTRAMURAL SPORTS -PHYSICAL FITNESS
?OUTDOOR RECREATION CLASSES
?INFORMAL RECREATION -CLUB SPORTS
?STUDENT EMPLOYMENT OPPORTUNITIES
?EQUIPMENT CHECK-OUT SERVICES
For more info call 757-6387 or Stop by 204 Memorial Gym.
Your One Stap Store For
-i i
.
Everything Creative
We Offer a Complete Line of
Camera Supplies and Equipment
Photofinishing by Eastman Kodak
48 Hour Kodak Slide Service
24 Hour Kodacolor Service
Nikon and Canon Cameras
A Complete Line of Kodak
Film Equipment & Supplies
Kodak, Agfa, and llford Photo Papers
art jt caacrci hop
' 518 SOUTH COTANCHE STREET
GREENVILLE, NX. 27834
752-0888
We Offer the Best Selection of
Art Supplies in the East
y Amatei
ort r camera hopft;
Supplies for the Student,
Amateur and Professional
y Letraset,
. Noor
south COTANCHE STREET" Custom Framing
, N.C. 27834 Drafting Supplies
0688 Largest Selection of Mat Board,
Artist Boards, and Artist Papers In the E
Ready Made Frames and Framing Supplies
Framed and Unframed Posters and Prints

P
Stu
RALEIGH (AP) ?
heat stroke ? which
life of a 16-year-oldl
High School football pf
rare event in high schJ
athletic officials said. 1
"From the numbers I
hands on, this is tl
(statewide, for at e
several years) sau
Lester, chief consuli
medicine for the stj
ment of Public Instrul
Clifford Hargrove,
ior, collapsed one evj
running wind sprints!
ball practice at Mill
School in Raleigh. He
Raleigh Community r
coma from which he
NFLp
SAN FRANCISCl
Blood-stained and
wounded men troo
and line up for the dj
Is this war?No,bul
the NFL, where teai
juggle their love of
ethical dilemmas si
of Army surgeons
with the game's we
The American Mc
tion has urged a ba
because of the braml
can result from rej
blows.
The fiery death of
every so often proi
shut down that spoi
Complaints abou
though, are much qi
long lists after eal
aching players ne(
among probable,
doubtful and out.
No sport matche
the sheer number c!
Kriva
COLLEGE PARK
Coach Joe Knvak.
boastful predict: i
usual self on the fii
University of Marvl
season.
"I'm going to dol
haven't done in a lor
vak told reporter
Maryland's media
"Ifca little out of chi
but I'm going to say
be a better footba
year
The Terrapins wi
to live up to Krival
when two-a-day pr
Maryland wounc
son by losing its fu
to finish at 4-7.
"This is a team
concerned about w
last year Krivak
that has been exj
work habits and w
want to get back
physical, real co
team
The Terps have
returning, led by
back Neil O'Donnel
O'Donnell complj
passes for 913 ya
touchdowns last yi
the season backing
Henning, but movi
ing role for the finaj
Krivak said theM
ing attack, which wj
Atlantic Coast Gj
1987, will be imrrc
Golden
want to i
Continued fr
Junior Marc Cat
end, has ability toj
and then do some
with it.
Redshirt freshm
and Mike Beaco
signee Kelvin Ml
quality depth to
position.
Junior Ryan Wej
as the place kicker
forward to anothe:
After struggling
early season last
improving to makl
si field goal atteml
try to get thinks goj
Sophomore Tr
punter, had a si
man season last y
the tools to becor
college career coni
had a 40.2 yard ai
son and had 11
inside the 20 yardl
This is the first t
has had the opj
East Carolina. Th
will give plenty
that will be the p
ECU to work out I
kinks.





al?
PIES
bpies
I 5mm slide.
?use your
l a try!
md print shop
ot more!
YPESETTING
RAMS ? BOOKS
lUMPER STICKERS
G OPERATIONS
GAN
RS, Inc.
PHONE
355-5588
THE EAST CAROLINIAN
AUGUST 23,1988 51
C.
oa
a.
el)
rr to
FUN
DNAL
vm.
ve
ion of
as i
the East
ipplies
'riots
i
;T
in
U,
1i
f
?
m
r
H
ib
Til
V
ni
00
ris
lie
rol
r
no
JW
oT
OS
nil
w
rw
iq
eV
de
I
3H
13J
?U:
flfi
1W
Student death causes heat stroke concerns
RALEIGH (AP) ? Death from
heat stroke ? which ended the
life of a 16-year-old Millbrook
High School football player?is a
rare event in high school football,
athletic officials said.
"From the numbers I can get my
hands on, this is the only one
(statewide, for at least the last
several years) said Robert H.
Lester, chief consultant in sports
medicine for the state Depart-
ment of Public Instruction.
Clifford Hargrove, a rising jun-
ior, collapsed one evening while
running wind sprints during foot-
ball practice at Millbrook High
School in Raleigh. He was taken to
Raleigh Community Hospital in a
roma from which he never recov-
ered.
He died Saturday morning. An
autopsy confirmed that his death
was caused by heat stroke.
One Wake County school offi-
cial said that an investigation into
Hargrove's death would take up
to two weeks. "On the surface, it
appears we have followed the
normal procedure for preventing
heat-related illnesses said V.
Vann Langston, assistant super-
intendent for secondary pro-
grams in the Wake County
Schools.
In the wake of Hargrove's
death, other experts and officials
tried to analyze how his death
could have occurred.
Dr. Greg H. Tuttle, an assistant
sports medicine physician at the hawks he said. "Symptoms such
University of North Carolina at as fatigue, chills, nausea and
Chapel Hill, said Monday that vomiting can be signs of heat
prc-practice physical exams don't exhaustion, a condition less se-
alvvays identify problems in ad- vere than heat stroke
vance. In Hargrove's case, athletic offi-
"The majority of those people cials said he gave little early warn-
who die suddenly from heat ing of his collapse and decline,
stroke have no family history "He had no symptoms of heat
Tuttle said in a telephone inter- stroke said G. Alan Haines, the
view with The News and Ob- athletic trainer who monitored
server of Raleigh. "It's just a ran- Hargrove's condition on the side
dom event of the playing field after he col-
Tuttle said mild to moderate lapsed. Haines said Hargrove
heat-related problems are com- appeared to be extremely tired
mon at UNC-CH football practice
sessions, and medical personnel
and was hyperventilating but
conscious enough to answer
are trained to spot them before questions,
they get severe. After several minutes, Haines
'We watch these people like said, "He was improving. He was
NFL physicians caught in ethical dilemma
SAN FRANCISCO (AP) ?
Blood-stained and limping, the
wounded men troop off the field
and line up for the doctors.
Is this war? No, but it'sclose. It's
the NFL, where team physicians
juggle their love of football with
ethical dilemmas similar to those
of Army surgeons as they cope
with the game's weekly carnage.
The American Medical Associa-
tion has urged a ban on boxing
because of the brain damage that
can result from repeated head
blows.
The fiery death of an auto racer
every so often prompts cries to
shut down that sport.
Complaints about pro football,
though, are much quieter, despite
long lists after each game of
aching players neatly divided
among probable, questionable,
doubtful and out.
No sport matches football for
the sheer number of injuries, and
that is a source of worry for many
doctors.
"It is ethically difficult says
San Francisco 49crs consultant
Dr. Jeffrey A. Saal. "The
physician's role, historically, is a
healer. This is a mutation of that
role. We're not healing, we're
patching up and sending people
back in, knowing they have a risk
of repeat injury because they're in
a violent sport
It may be easier for battlefield
doctors to rationalize fixing up
wounded soldiers so they can go
to war again, Saal says, because
they're fighting for life and coun-
try.
Pro football players are fighting
for their livelihoods, which may
be no less important to them but
may not justify the toll in wrecked
bodies.
Dramatic injuries, like Joe
Theismann's badly fractured leg
or Darryl Stingley's paralysis
from a broken neck, arc in some
ways less disturbing than the
hundreds of other disabling inju-
ries.
NFL teams reported an average
of 1,450 injuries each year from
1983 through 1986, when the
league averaged 1,582 players per
season, according to a study by
the NFL Players Association.
Twenty percent of the injuries
in the weekly post-game reports
were among the most serious ?
"out" or "doubtful the union
says, and another 35 percent were
listed as "questionable
In the NFL, "out" means the
clubbelieves there's no chance the
player will play the next game;
"doubtful" means there's a 75-
pcrcent chance he won't play;
"questionable" means 50 percent;
and "probable" means 25 percent.
"One of the major roles of team
physicians in the NFL is what I
term the "court soothsayer Saal
says. " you nave to be the predic-
tor for the coach, to say how long
someone's going to be out or how
healthy a guy is to make a trade
The doctor makes an educated
guess based on his "gut feeling"
and experience, Saal says, "but
that's a difficult position to be put
in. Where do they teach you that
in medical school? What book do
you read in?"
Equipment has improved over
the years and the NFL has made
rule changes to reduce injuries ?
barring certain types of tackles,
stopping plays when a quarter-
back is in the defender's grasp,
penalizing late hits. Yet the inju-
ries continue to mount.
At playoff time or during a
winning streak, a doctor's ethics
about allowing a player to stay in
a game "get pressed to the max
Saal says.
sitting up. He wanted some wa-
ter, and he started to drink but
then spit most of it out
When Hargrove lapsed into
unconsciousness about 8:41 p.m
Haines said, a call was made for
an ambulance and emergency
medical service.
Haines, who has received ad-
vanced first-aid training, said he
did not rub ice over Hargrove's
body to cool him off because it
might have worsened his condi-
tion. "It could throw them into
shock he said.
Haines said he was near the
football playing field most but not
all of the time during football
practice Thursday. Some of the
players had gone out early to
work in small groups before pcac-
tice began, but he did not know if
Hargrove was among them.
Haines said he was not aware
that Hargrove was having anv
problems before his collapse,
which he said occured at 8:15 p.m.
In retrospect, Haines said, some
medical experts have told him
that Hargrove might have been so
sick before his collapse he did not
realize what was wrong.
"This kid was hurting so bad he
should have told somebody
Haines said. "Somebody should
have known
Carey McDonald, executive
director of the National High
School Athletic Coaches Associa-
tion in Ocala, Ha said Monday
that his association recommends
having medical personnel avail-
able for games and practice.
Lester, the state athletic official,
said it? would be impossible to
require all high schools to have
physicians available for practice.
"You get in some counties, there
may not be but one or two doctors
in the county he said.
A
rmani
i Shoes
Krivak predicts the Terrapins will be solid
COLLEGE PARK, Md. (AP) ?
Coach Joe Krivak, who hates
boastful predictions, was not his
usual self on the first day of the
University of Maryland football
season.
"I'm going to do something I
haven't done in a long time Kri-
vak told reporters attending
Maryland's media day Friday.
"It'sa little outof character for me,
but I'm going to say we're going to
be a better football team this
year
The Terrapins will begin trying
to live up to Krivak's predictions
when two-a-day practices begin.
Maryland wound up last sea-
son by losing its final four games
to finish at 4-7.
"This is a team that is a little
concerned about what happened
last year Krivak said. "I think
that has been expressed by its
work habits and work ethic. We
want to get back to being real
physical, real consistent as a
team
The Tcrps have 31 letterman
returning, led by junior quarter-
back Neil O'Donnell.
O'Donnell completed 71 of 111
passes for 913 yards and four
touchdowns last year. He began
the season backing up senior Dan
Hcnning, but moved into a start-
ing role for the final four games.
Krivak said the Maryland rush-
ing attack, which was last in the
Atlantic Coast Conference in
1987, will be improved. Tailback
Golden Eagles
want to soar
Continued from page 50
Junior Marc Campbell, at split
end, has ability to catch the ball
and then do some fancy running
with it.
Redshirt freshman Johnny Orr
and Mike Beacom along with
signce Kelvin Maye will give
quality depth to the split end
position.
Junior Ryan Weeks will return
as the place kicker and is looking
forward to another excellent year.
After struggling somewhat in
early season last year and then
improving to make five of his last
six field goal attempts, Weeks will
try to get thinks going early in '88.
Sophomore Tracy Graham,
punter, had a successful fresh-
man season last year and has all
the tools to become better as his
college career continues. Graham
had a 40.2 yard average last sea-
son and had 11 punts downed
inside the 20 yard line.
This is the first time Tenn. Tech
has had the opportunity to play
East Carolina. The Golden Eagles
will give plenty of competition
that will be the perfect chance for
ECU to work out the early season
kinks.
Brcn Lowery and Fullback Dennis
Spinclli, who were Maryland's
leading rushers as sophomores
last year, open training camp as
Krivak's key backfield players.
"This year we have something
to prove, especially after finishing
last in the ACC last year Lowery
said. "It's a big challenge but I feel
good about our guys
The Tcrps will have to replace
Ferrell Edmunds at tight end.
Junior Dave Carr tops the Terp's
depth charts, but, as Krivak said,
"You can't replace a Ferrell
Edmunds
Vcrnon Jones, who led Mary-
land with five touchdown recep-
tions in 1987, returns at wide re-
ceiver.
Defensively, right tackle Ver-
non Powers could be Krivak's
biggest weapon.
'He caa be as gpodLas any 4c
. fensive lineman in the conference
and he could be a premier defen-
sive lineman in the country Kri-
vak said of the 6-foot-6 12, 277-
pound senior.
Maryland returns all four of its
starting defensive backs, but lost
all four of its starting linebackers
from a year ago.
Ladies Outlet and Quality Shoes
A-l Quality Prices
Greenville Square Shopping Center
(Next to Kmart)
756-8182
Open MonThurs.
10:00-8:00
i Fri. & Sat. 10:00-9:00
Open Sunday 1-6 p.m.
GRACE
CHURCH
Interested in Bible
Study? (Call 355-3500)
1 -r-k.
u
tsi:
ftIV?tfSIMr
Seafood ai?d Oyster Bar
710 North Greene Street
m 752-0090
AN You Can Eat
SEAFOOD BUFFET
Fried
Chicken
? Sed Scallops
? Fried Shrimp
? Trout
? Flounder
With SALAD BAR
? Catfish
? Deviled Crab
? Clam Strips
? Steamed Shrimp
$8.99 With Alaskan Snow Crab
Fresh King Mackerel Steaks
With Baked Potato And Salad Bd'
? Crab Calces
? Fried Chicken
? BBQ Pork
? Crab Nuggets
$ 15.99
$7.99
$7.99
We Do Chicken Right!
r
.for only $1.75 with this coupon. Limit one package per coupon. Good on combination
orders only. Customer pays all applicable sales tax.
GREENVILLE, KINSTON, GOLDSBORO, WILSON, TARBORO, WILLIAMSTON, JACKSONVILLE
Stuffed Flounder
With Ba?ed Potato And Saiad Ba'
Hours: Sunday-Thursday 11 am-9 pm; Friday 11 am-10 pm; Saturday 4 pm-10 pm
CATERING SPECIALISTS-WE CATER. ANYTHING ? ANYWHERE ? ANYTIME
C -r-?;??
THE
PROBLEM-
SOLVERS
FROM
HEWLETT
PACKARD
HP-11C
Slimline Scant if c Proqammobte
? lO-dlgfl LCO
a203 program line
?21 storage register1
Continuous Memory
?A broad rang of
sclenttftc and
statistical functions
make tbe MP-IIC an
Immediate problem-
solving lab instru-
ment or engineering
tool
ii u ii ii i. n ii
.Editing Irilurtt and In convwlnl u??r mode
llm and keystroke al lh louch ot a fc?
$54.95
HP-12C
Slimline Fnancol Programmable
Kentucky Fried Chicken.
? ?2 pieces Of Chicken (Original Recipe Or Extra Crispy)
11 Mashed potato & gravy
?Biscuit
I
I
I
I
I

I
I
I
I
I
I
I
I
$1.75
?3 Chicken Littles
?Small Pries
?Small Drink
$1.75
.for only $1.75 with this coupon. Limit one package per coupon. Good on combination
orders only. Customer pays all applicable sales tax.
GREENVILLE, KINSTON, GOLDSBORO, WILSON, TARBORO, WILLIAMSTON, JACKSONVILLE
Kentucky Fried Chicken.
?Baa MM om?ss See Ml
ol0 (Jiqtt LCO
099 program lines
? 20 storage registers
Continuous Memory
? Solves your tough
business calculations
?ith mn Miami in sei
of financial mr4
statistical functions
? Bond Analysts -
Depreciation
I! II I!
Mil If
Invaaimant Comparison ai tha louch o' a ?
$89.95
as
516 S. Cotanche ? Greenville. NC 27834
j ?6 Kentucky Nuggets
?Small Fries
?Small Drink
I
I
I
I
I
$1.75
.for only $1.75 with this coupon. Limit one package per coupon. Good on combination
orders only. Customer pays all applicable sales tax.
GREENVILLE, KINSTON, GOLDSBORO, WILSON, TARBORO, WILLIAMSTON. JACKSONVILLE
Kentucky Fried Chicken.
?vaaaaax
rinaMMl
I
I
I
I
I
I
I
I
u
9 Piece
Thrift Box
$4.95
.for only $4.95 with this coupon. Limit one package per coupon. Good on combination
orders only. Customer pays all applicable sales tax.
GREENVILLE, KINSTON, GOLDSBORO, WILSON, TARBORO, WILLIAMSTON, JACKSONVILLE
Kentucky Fried Chicken.





52
r
THE EAST CAROLINIAN
V
AUGUST 23, 1988
Charlotte remembers
CHARLOTTE (AP) ? North try. The coliseum became host to panded the seating in its coliseum
Carolina's largest city opened its major concerts, helped in the and lured the tournament 85
new coliseum with a bang, but the growthofcollegebasketballinthe miles to the north. The Sun Belt
man who ran the old building South and, with an adjacent audi- Conference also held its tourna-
wanted to leave with a whisper. torium, became the focal point for ments in Charlotte before moving
Paul Buck was the catalyst be- the arts in Charlotte,
hind the development of the The old coliseum hosted 68
11,666-seat coliseum which events in its first year, Buck said,
opened in 1955. He was one of the adding that it was dormant in the
prime movers in the construction summer months. Over time, that
of the 23,500-seat building which quiet period was transformed as
replaces the old building. While more performers, organizations
he was one of the guests of honor, and various other groups began
he preferred the sidelines to the to book the facility.
spotlight.
"I'd just as soon disappear
Buck said in an interview. "It's
still going to be difficult to leave
Buck was presented Thursday
nighi during the opening ceremo-
nies for the new Charlotte coli-
seum with a videotape of his ca-
reer.
This building has really done
what it is built for, and that was to
serve Charlotte Buck said.
Hockey was not a popular sport
in the South in the 1950s, but
Charlotte hosted its first hockey
game after a fire destroyed the
arena in Baltimore. Beth the Balti-
more and New Haven hockey
Buck's legacy of bringing top teams came to Charlotte to play a
January game which, because of
mixups, didn't begin until 11:30
p.m. It is reported that no one left
the building while waiting three
hours for the game to begin.
Charlotte soon had its own
entertainment and sports to Char-
lotte was honored with a bust in
his likeness in the lobby of the
new building. When patrons
drive to their parking spaces, they
will use Paul Buck Blvd. Some
wanted the building to bear his hockey team, but it began to cost
name, but he wouldn't hear of it. the coliseum money and the
"I still believe that building popularity waned. But when
should be named the Charlotte
Coliseum Buck said. "The name
Charlotte should be there, not
Paul Buck
Buck, 73, came to Charlotte
from St. Louis in the fall of 1954 to
help with the development of the
old arena, which at the time was to
become the largest in the South
and one of the biggest i n the coun-
hockey moved out in the 1960s,
the city fell in love with college
basketball.
Buck said 13 NCAA tourna-
ments were held in the old coli-
seum. It served as a non-campus
home for the Atlantic Coast Con-
ference basketball tournament
until 1970, when Greensboro ex-
to larger buildings.
"The ACC will return in 1990,
and the Sun Belt will be back next
season for the new building. The
major tenant 'ill be the NBA
expansion team, he Charlotte
Hornets. The old North-South
Doubleheaders will be replaced
by a December basketball tourna-
ment which this year will feature
North Carolina, Temple, Arizona
and Missouri
There have been many sugges-
tions for the future of the old coli-
seum, but Buck doesn't expect
any of them to work.
"We're starting to get phone
calls ? do this, do that Buck
said. "I don't think there will be
any shows in here for some time
until there's demand
In December, Buck will walk
away from the arena business for
good, something he says he lived
since his childhood in St. Louis.
His role will be filled by Steve
Camp, who worked with Buck in
the late 1970s and who returned to
Charlotte in April after working
in the Dean Smith Center at the
University of North Carolina at
Chapel Hill.
"I've never been any place
where I haven't had good memo-
ries Buck said. "I'll have them
here. I'll be proud to have had a
part of this.
Bosworth center of attention
KIRKL AND, Wash. (AP)?The
Seattle Scahawks have mixed
reactions to Brian Bosworth's
book "The Boz: Confessions of A
Modern Anti-Hero
Steven Largent says Bosworth
was out to make a buck but didn't
mean to divide the NFL team.
Keith Butler
says it's just a joke being taken
way too seriously.
Some insist it has nothing to do
with the team's job on the playing
field this season.
But Largent, the NFL record-
setting wide receiver headed into
his 13th professional scason,
hinted Bosworth may be sorry he
wrote the book with author Rick
Rcillv.
"Being on the inside, I can un-
derstand his motive for doing it,
not to be divisive, but to make
money Largent said. "That's
Something that motivates a lot of
people.
"Money can't buy ever thing,
but that's a lesson that takes some
people a long time to learn
Bosworth's book already has
drawn strong protests at the Uni-
versity of Oklahoma, where
Bosworth played his college foot-
ball. In the book, Bosworth claims
there was widespread use of co-
caine and steroids by Oklahoma
players.
The Seahawks left Wednesday
for Detroit for an exhibition game
tonight.
Asked for his reaction, team
president Mike McCormack re-
plied: 'I'm not going to help sell
the book
"He savs he wrote it as a fun
J
thing, a humorous thing" said
Butler, a veteran linebacker.
'React to it that way. It was writ-
1 don't foresee any problems.
"I think there's a lot of sensa-
tionalism. From what I've heard
so far, he wants to sell a lot of
books. That's the publicity end of
it. It will not affect our team in the
least
Linebacker Tony Woods said
Bosworth's book and the furor it
may create in rival locker rooms
might bring the Seahawks closer
together. In the book, Bosworth
says he does not like Denver quar-
terback John Elway.
"We'll probably turn our inten-
ten to be funny. Maybe he should sjty level up a bit higher because
put a comic book cover on it. He
didn't realize everybody was so
sensitive
"I don't even pay any attention
to it added linebacker Sam Mcr-
riman. "People are taking this all
too seriously but then people
take Brian way too seriously
Kicker Norm Johnson is called
"Scab" in Bosworth's book be-
cause Johnson crossed the picket
line during last year's players
strike.
"I have no idea what's in the
book Johnson said. "But it
doesn't bother me at all. He can
sav whatever he wants about me
we know other teams are going to
come after him Woods said.
"He's part of our team and we'll
have to protect him
"That's (the book) off-thc-field
stuff, and that's where it belongs
? off the field. That's his own
personal choice. Hopefully every-
thing will work out for him, and
he won't create a situation that
could hurt him
"It's his book, it's what he does
on his own time said offensive
lineman Bryan Millard. "It
doesn't matter to me. We're still
going to have to block and tackle.
He's free to do whatever he wants'
MAKE A RUN FOR THE
BORDER AND GET A
REGULAR TACO AND A
LARGE PEPSI PRODUCT
Pizza
it
America's Best
WE GUARANTEE IT
JJ
GRAND OPENING SPECIALS
1 LARGE
14 INCH
PEPPERONI
PIZZA ONLY
3
Good Saturday 927 and Sunday 928 Only
830-9400
1011 S. Charles St.
Minute Delivery
or
$3.00 Off
Limited Area
r
1?
Iff
4
Pizza Party
Special
T
3 Large 14"
3 Item Pizzas
coupon1
2 Whole Subs
1 Liter Pepsi
$9
45
$lg30
j Coupon Expires 10-31-88 EC Coupon Expires 10-31-88 EC
DOUGI
jVALUE
16 Lbs. Buffalo Wings, 2 Liters Pepsi
j Explrcs10-31 -88
BOY
PAK
ff
ff
IPJ
- FREE DELIVERY ? FREE DELIVERY ? FREE DELIVERY ? FREE DELIVE
Steroi
NEW YORK (AP) - For
(first time, NFL players who
positive for steroids this sel
will face disciplinary action
eluding possible suspensions
j NFL confirmed.
In a 15-page directive sent
26 teams, Commissioner
Rbzelle said that any pla
tests positive for steroid
second time will be subx
cipline by the league i
ings against steroids
eluded in last year's d -
is the first time league d
has been mentioned.
Other drugs alread)
include cocaine
amphetamines.
"Each instance this
Diver
TAMPA,
prosecutors fil
manslaughter cl
U.S. Olympic diver I
Kimball growii
accident two v. -
killed two and infur
Kimball, 23, the
silver medalist, is in
where the C
trials are being
Summer Game in S
Fenn
BOILING SPRIN - N
? As former ?'?
ference rushing
Fenner prepar
with Gardner-Webb of th
it appears that many e
watching to mak(
do anything he
"There will be rm
guidelines placed upon I
and he has accepted tl
tions Woody Fish, the s
athletic director ar I
coach, said Tuesday as
accepted a schol d
the college in Boiling Sj
"We cannot divulge t e
lines
Fenner, who last :
1986 season for i
will report for footba
Gardner-Webb C.
said. "Given the na-
stitution, we believe
some folks who are -
other chance. Derrick
pressed his desire to
campus citizen and si
"I think evervt!
fine Fenner said.
Thompson
to win decci
AP-Thompson was
from a severe gromil J
last year's World Cl
ships, and it caused h j
his first defeat in the d
since 197S. Despite that
thinks he can bee
decathlete to amass -
He holds the world re
8,847.
The African distance
showed their durab
World Championships, w
tones bv Kenyans Billy Kj
lah in the 800 meter
Kipkoech in the I0,0Cj
Douglas Wakihuru in th?
thon, bv Abdi Bile of v .
the 1,500 and bv Aou
5,000.
In addition, the African!
pic contingent will incluJ
rathoners Ibrahim Hussl
Kenya and luma Ikaneaa I
zania, 5,000-meter runnel
Ngugi of Kenya, and 3,00(1
steeplechasers Julius Kj
Peter Koech and Julius KcJ
of Kenya.
Track and field, the blue
event of the Games, also ?
ture several other world i
holders, world champioi
Olympic gold medalists.
the men include Bute
nolds of the U.S. and Tj
Schonlcbe of East Germanj
400- Joaquim Cruz of Brazj
800 and 1,500; John Wa
New Zealand in the 1,H
monn Coghlan of Ireland
5,000; Alberto Cova of Italj
10,000; R ob do Castella of
lia, Toshihiko Seko ot Jap
John Treacy of Ireland
marathon; Roger Kingdor
U.S. in the 110-mctcf
hurdles, and Harald Schj
West Germany in the 400 rf
Also, West Germanv





RE5 DELIVERY
CU!

?
CIAL
I
Y
Py
t.
ivery
ff
ibs
i
-88 EC
- - tv.
n
3
95
IPJ
4
?
c
.?-n
FREE DELIVER
THE EAST CAROLINIAN
AUGUST 23,1988 53
Steroids a concern in NFL
NEW YORK (AP) - For the
first time, NFL players who test
positive for steroids this season
will face disciplinary action, in-
cluding possible suspensions, the
NFL confirmed.
In a 15-page directive sent to all
26 teams, Commissioner Pete
Rbzelle said that any player who
tests positive for steroids for the
second time will be subject to dis-
cipline by the league. While warn-
ings against steroids were in-
cluded in last year's directive, this
is the first time league discipline
has been mentioned.
Other drugs already on the list
include cocaine, marijuana and
amphetamines.
"Each instance this year of a
second positive test will be
handled on a case by case basis.
Involved players will be subject to
appropriate discipline by the
commissioner the memo says.
Asked if suspensions might be
included, NFL spokesman Joe
Browne said:
"I can't rule that out
Earlier, the Atlanta Consrituti-
ton, in a copyright story, said it
obtained a copy of a 15-page di-
rective.
Stero'ds artificially enhance
muscle growth and have been
used by some athletes who want
to be bigger and stronger.
The memo said steroids de-
serve "special mention" because
there has been "widespread mis-
use throughout much of the
sports world, including football
Rozellc said studies have indi-
cated that steroids are harmful to
a person's physical and mental
health and "there is a growing
concern that players using ster-
oids can cause serious on-field
injuries
"The NFL Physicians Society
declares there are no legitimate
medical purposes to prescribe
steroids for NFL players the
newspaper quoted the memo as
saying.
Under the NFL's drug-testing
program, players are tested when
they report to training camp and
again if there is "reasonable
cause
Last year, the NFL included
steroids in the test for the first
time, but the league did not con-
sider disciplinary action against
players who tested positive for
them.
This year, "the league no longer
merely condemns the use of the
substance. It is prohibited in any
quanitity for any purposes the
memo said.
It said any player who tests
positive for steroids and shows
medical complications may be
considered unfit to participate in
football and may be placed on the
non-football illness list until the
complications are treated and
resolved.
ABORTIONS UP
TO 12th WEEK
OF PREGNANCY
$205 Abortion from 13 to 18 weeks at
additional cost. Pregnancy Test, Birth Control,
and Problem Pregnancy Counseling. For
further information, call 832-0535 (toll free
number: 1-800-532-5384) between 9 a.m. and 5
p.m. weekdays. General anesthesia available.
RALEIGH WOMEN'S
HEALTH
ORGANIZATIONS
It ? ' I I ' ?!????? ?
Diver Kimball in hot water
All New!
TAMPA, Ha. (AP) ? State
prosecutors filed alcohol-related
manslaughter charges against
U.S. Olympic diver Bruce David
Kimball growing out of a traffic
accident two weeks ago that
killed two and injured six.
Kimball, 25, the country's 1984
silver medalist, is in Indianapolis
vvhere the Olympic swimming
trials are being held for this year's
Summer Games in Seoul, Korea.
The Hillsborough State
Attorney's office filed an informa-
tion charging him with two
counts of driving under the influ-
ence-manslaughter and three
counts of driving under the influ-
ence with serious personal inju-
ries. The charges are second and
third-degree felonies, respec-
tively.
Arraignment is scheduled for
Aug. 26.
Kimball killed two teen-agers,
severely injured two others and
hurt four more Aug. 1 when his
speeding car crashed into a crowd
at a popular teen hangout,
sheriff's deputies say. Kimball
admitted drinking at least four
beers before the accident, accord-
ing to investigators.
Laboratory tests of a blood alco-
hol tests have been available to
prosecutors for a little less than
two weeks, but results have not
been released.
The charges indicate Kimball's
blood-alcohol level was over the
0.10 level, the threshold over
which a driver is considered le-
gally drunk in Florida. But State
Attorney Bill James refused again
Monday to make public the test
findings, saying lo do so wou.d be
professionally irresponsible.
?
M
GYM
;?
?
USA
A L1C OF POWERHOUSE GYM.LICENSINC ENT INC.
D.B.A. POWERHOUSE GYM, GREENVILLE, N.C
Fenner returns to football
BOILING SPRINGS, N.C. (AP)
? As former Atlantic Coast Con-
ference rushing leader Derrick
Fenner prepares to play football
with Gardner-Webb of the NAIA,
it appears that many eyes will be
watching to make sure he doesn't
do anything he's not supposed to.
"There will be some stringent
guidelines placed upon Derrick
and he has accepted these restric-
tions Woody Fish, the school's
athletic director and head football
coach, said Tuesday as Fenner
accepted a scholarship to play at
the college in Boiling Springs.
"We cannot divulge the guide-
lines
Fenner, who last played in the
1986 season for North Carolina,
will report for football careers at
Gardner-Webb College Fish
said. "Given the nature of the in-
stitution, we believe in giving
some folks who are sincere an-
other chance. Derrick has ex-
pressed his desire to be a positive
campus citizen and student
"I think everything will be
fine Fenner said. "I'm excited
and happy to get a second chance.
This is a small school, but the
opportunity is still here. It gives
me a good opportunity to prove
something, and that's what I'm
shooting for
Fenner said he did not commit
himself to attending Gardner-
Webb for the full two years he
would need to complete his de-
gree in communications. He has
two years of NAIA eligiblity, but
also will be eligible for the NFL
draft next spring. "Like coach
(Fish) said, we'll take things one
year at a time and hope things
work out Fenner saicf.
Fenner led the ACC in rushing
as a sophomore in 1986 with 1,250
yards and set a single-game rec-
ord of 328 yards against Virginia.
He was suspended from the Tar
Heel team foliccasons before the
Aloha Bowl in December 1986.
Fenner was arrested June 2,
1987, and charged with first-de-
gree murder in a drug-related
shooting in Hyattsville, Md. That
charge was later dropped, but
Fenner pleaded guilty in April to
one count of cocaine possession
and was placed on three years
probation.
Fenner, who has two years of
football eligibility left, had
planned to re-enroll at North
Carolina and rejoin the Tar Heel
football team, but could not.
"It's not a haphazard decision
McFarland said. "They made a
decision based on what they feel
like is a pretty decent kid, one that
Gardner-Webb College can help
Gardner-Webb was 11-2 last
season, winning the SAC-8 cham-
pionship. The Bulldogs lost in the
quarter-finals of the NAIA play-
offs to Carson-Newman.
FEATURING:
FLEX
POLARIS
NAUTILUS
WORKOUT PROGRAMS
DIET & NUTRITION SUPPLEMENTS
7000 LBS. FREE WTS.
CO-ED
OLYMPIC PLATFORM
h4000 sq. ft. Newly Remodeled Workout Area
Use This Ad For 1 Free Workout
?SPECIAL RATES FOR ECU STUDENTS
Hrs: M-F 10-9; Sat10-6; Sunl-6
1002 Evans St.
758-9584
ANNOUNCING
Thompson to make attempt
to win decathlon event
AP-Thompson was suffering
from a severe groin injury during
last year's World Champion-
ships, and it caused him to suffer
his first defeat in the decathlon
since 1978. Despite that loss, he
thinks he can become the first
decathlete to amass 9,000 points.
He holds the world record of
8,847.
The African distance runners
showed their durability at the
World Championships, with vic-
tories by Kenyans Billy Konchcl-
lah in the 800 meters, Paul
Kipkoech in the 10,000 and
Douglas Wakihuru in the mara-
thon, by Abdi Bile of Somalia in
the 1,500 and by Aouita in the
5,000.
In addition, the African Olym-
pic contingent will include ma-
rathoners Ibrahim Hussein of
Kenya and Juma Ikangaa of Tan-
zania, 5,000-meter runner John
Ngugi of Kenya, and 3,000-mcter
steeplechasers Julius Kariuki,
Peter Koech and Julius Korir, all
of Kenya.
Track and field, the blue-ribbon
event of the Games, also will fea-
ture several other world record-
holders, world champions and
Olympic gold medalists.
The men include Butch Rey-
nolds of the U.S. and Thomas
Schonlcbe of East Germany in the
400; Joaquim Cruz of Brazil in the
800 and 1,500; John Walker of
New Zealand in the 1,500; Ea-
monn Coghlan of Ireland in the
5,000; Alberto Cova of Italy in the
10,000; R ob do Castella of Austra-
lia, Toshihiko Seko of Japan and
John Treacy of Ireland in the
marathon; Roger Kingdom of the
U.S. in the 110-meter high
hurdles, and Harald Schmid of
West Germany in the 400 hurdles.
Also, West Germany Carlo
Thranhardt and Dietmar Mo-
genburg in the U.S. high jump;
Robert Emmiyan of the Soviet
Union and Larry Myricks of the
U.S. in the long jump; Willie
Banks of the U.S. and Khristo
Markov of Bulgaria in the triple
jump; Ulf Timmermann of East
Germany and Alcssandro Andrei
of Italy in the shot put; Sergei Lit-
vinov of the Soviet Union in the
hammer throw, and Jan Zcleznv
of Czechoslovakia in the javelin.
Other leading women include
Evelyn Ashford of the U.S. and
Silke Gladisch-Moller and Mar-
lies Gohr of East Germany in the
sprints; Petra Muller of East Ger-
many and Valerie Brisco of the
U.S. in the 400; Doina Melinte of
Romania in the 800 and 1,500;
Tatyana Samolenko of the soviet
Union in the 1,500 and 3,000;
Maricica Puica of Ramonia in the
3,000; Ingrid Kristiansen of Nor-
way and Liz Lynch McColgan of
Britain in the 10,000; Rosa Mota of
Portugal and Grete Waitz of Mor-
way in the marathon, and Yor-
danks Donkova and Ginka Zag-
orcheva of Bulgaria in the 100
hurdles.
Also, Stefka Kostadinova of
Bulgaria in the high jump; Na-
talya Lisovskaya of the Soviet
Union in the shot put, and Petra
Felke of East Germany in the jave-
lin.
There also will be some notables
missing. They include Britons
Sebastian Coc, the only man to
win two Olympic gold medals in
the 1,500, and Steve Ovett, the
1980 gold medalist in the 800; Joan
Bcnoit Samuelson of the U.S
winner of the first women's
Olympic marathon, and Greg
Foster of the U.S the two-time
world champion in the 110
hurdles.
EAST CAROLINA UNIVERSITY
SORORITY RUSH
AUGUST 28 - SEPTEMBER 2, 1988
REGISTRATION: AUGUST 22-25, 1988
AT 10:00 A.M3 P.M.
STUDENT STORES.CROATAN
AND ALL RESIDENCE HALLS
0 SORORITIES HELP YOU WITH YOUR COLLEGE GOALS
?" ' " COME SEE HOW!
v
.4s
?& STRESS





V
$$&
.
'?'?
M
m:i
1
Exchange
M Ljr m savings with
? m dv , fifty coupon:
The One For The Largest Used Book Inventory
Selection and Savings. That's what you get when you
buy your books from UBE. We have the largest selection
of used books in Eastern North Carolina and stock most
new books for every subject imaginable. Our access to so
many used books on so many subjects, means
you save money. Just think. That means a
little something left over for a night
out, the apartment, the dorm room, or
the bank account.
The One For ECU
While you Ye buying your books at
UBE, make sure you browse through our
large selection of ECU apparel and ECU
items. Choose from shirts and sweats to backpacks and
coffee mugs. And don t forget to pick up all
your notebooks, pens, and pencils, too. At
UBE, we ve got everything you need for a
great year at ECU.
The One For The Savings
The UBE Coupon Book
At UBE, back to school means back to
k
iwb
the UBE COUPON BOOK. Over
ifty coupons offer savings on everything from
ice cream to a car wash?food to fashion. Its
the UBE Coupon Book and the savings are
just for you.
UBE For ECU
So stop by UBE. Were ,
located in Downtown
Greenville across from Chicos
restaurant. And to kick off the new
semester, well be giving away term
planners and even a campus trial pak
which includes everything from a cup-
a-soup to shampoo. All this for free.
We're the one for the books
and so much more. Everyone's
meeting at UBE this fall because
we're The One For ECU.
Extended Book Rush Hours
8:00 A.M.9:00 P.M. August 22, 23, 24
Mon Tues Wed.
Regular Hours
9:00 A.M.5:30 P.M. M-F
10:00 A.M5:00 P.M. Saturday
9:00 A.M6.00 P.M. Football Saturdays
Largest SelectionOf
Used Books
m
-
i i
: Exctianse
519 Cotanche Street Downtown Greenville 758-2616





o
M
East Carolina University
Student
Government
Association
Published By The East Carolinian
August, 1988





Office ol tht President
Telephone 919 7W 6611. Exr 218
Student Government Association
EASTCA ROUNA UNI VFRS11 Y
Greenville, N C 27814
( atnmuirci
Board ol I ruMrrs
Media Board
Suidem Union Board of Otrruurs
EH1 Alumni B.j(.lil Dircunrs
Dear Students,
r?lVGA,??UmentS Publlcatlon is a detailed outline to all official
tainL it fhl k 8?Ver"in8 "udents of East Carolina University. Con-
M? . i 5??u a" th? Constitution of the Student Government Associa-
Yourle IT f t StUdCnt Lelslat-e ? Jicial Rules and Pro
Your knowledge of these documents will prove to be informative and beneficial
v?r IhiS P11"110" ls continuously changing to better serve students
year one such change is East Carolina's policy on Drug Abuse.
Each year numerous hours of dilieent wnrlr ?. ?ij . t.
This
P. Lawrence Murphy
President
Student Government Association





Constitution Of The
Student Government
Association
PREAMBLE
We, the students of East Carolina University, with resolute determination to preserve the best in our
tradition of responsible student self-government, assert our goals to preserve order, to make a
personal freedom secure, to establish justice, and to maintain a lasting opportunity for responsible
individual and collective action, and to these ends we ordain and establish this constitution of the
Student Government Association for the student body of East Carolina University.
ARTICLE I: SUPREME SI UDENT LAW
Section 1.
This Constitution and all laws thereto shall be the supremo student law.
Section 2.
All enactiments of the Legislature and the various agencies of the Student Government Association
shall continue in full force unless in direct conflict with this Constitution.
ARTICLE II: BILL OF RIGHTS
Section 1.
The Student Government Association recognizes and undertakes to guarantee the following rights to
all students, individually and collectively.
A. The Legislature shall make no law abridging the freedom of speech, or of the press; or the right
of the students to peacefully assemble, and to petition the government for a redress of griev-
ances.
B. Each student shall be secure in his possessions against invasion of privacy and unreasonable
search and seizure.
C Each student has the right to form, join, and participate in any group for any legal purpose.
D. Each student has the right, subject to reasonable regulation, to solicit money on campus for
recognized student organizations.
E. Each student shall have the right to use campus facilities, subject only to those uniform
regulations governing the facilities.
F. Each student shall have the right to be subject only to such uniform rules and regulations of
the University as have been published in official publications.
G. Each student shall have the right to be represented in the person of the President and or other
duly elected student officials in the formulation of Univeristy policies.
H. Each student shall have the right to inquire into, and to be fully and honesly informed of, the
reasons for any Univeristy policy affecting him, the process by which it was adopted, and the
means by which it was adopted, and the means by which it might be changed.
I. Each student shall have the right, in all cases of violation of the University Code of Conduct, to
be originally judged only by an independent, fair, and impartial judiciary, drawn from, and
responsible to, the student body.
J. Each student shall have the right to judicial due process, including
1. Due notice
2. A speedy hearing
3. An open hearing upon request
4. Representation by student counsel
5. Confrontation of accused with accusers
6. Protection against self-incrimination
7. Presumption of innocence until proven guilty
8. Protection against cruel or unusual punishment
9. A record of the hearing upon request
10. The right of appeal
1





L.
M.
N.
No student shall be placed in jeopardy more than once for the same offense.
Each student shall have the right to be exempt from suspension or expulsion from the Univer-
sity, except for academic failure, failure to pay a University debt, or violation of a University
regulation when such violation constitutes a threat to the general welfare of the University
community.
Each student shall have the right to initiate action within the regular judiciary structure for any
violation of rights guaranteed by this Constitution or its agencies.
Each student shall enjoy all these rights without discrimination by creed, race, sex, national
origin, or any other arbitrary or unreasonable consideration.
Section 2.
The enumeration of these rights shall not be construed as in any was nullifying or otherwise limiting
any other rights possessed by students, severally or together.
ARTICLE III: LEGISLATURE
Section 1.
Supreme Legislative power shall be vested in a Legislature, which shall be an assembly of students
elected by the residence hall or day students whom they represent.
Section 2.
No person except a full-time student at East Carolina University shall be eligible for a Legislative
Office; neither shall any person be eligible to that office who is serving on the Executive Council or a
judiciary body or is not on good standing at East Carolina University or does not maintain a 1000
average.
Section 3.
Representation in the Legislature shall be based on place of residence.
A. Each residence hall of not more than 350 student residents shall elect one representative to the
Legislature, and each residence hall of more than 350 students shall elect two representatives.
B. The total number of day student representatives shall be equal to the total number of full-time
day students divided by the average number of residence hall students represented by each
legislator from a residence hall.
Section 4.
The term of office of each Legislator shall extend from the fifth week of fall semester until the end of
spring semester.
Section 5.
The Vice-President of the Student Government Association shall be the President Pro Tempore of the
Legislature.
Section 6.
There shall be a Speaker elected from and by the Legislature at its first meeting of the Legislative
session.
Section 7.
The Legislature is empowered to enact laws as are deemed necessary to fill Legislature vacancies.
Section 8.
The Legislature shall enjoy the following powers and duties:
A. To appropriate the funds of the Student Government Association.
To approve or reject by majority vote all standing committee appointments made by the
President of the Student Government Association.
To establish procedures for the execution of its businesses.
To enact, by two thirds (23) vote, laws governing Student Government Association elections.
To impeach and remove from office any elected student official.
1. A Legislator must present formal charges to the Attorney General, and if these charges
are found to be in good order within the limits of this Constitution, then the Attorney
General shall formally present said charges to the Legislature.
B.
C.
D.
E.





F.
G.
H.
I.
2. The Legislature shall determine whether the official shall be impeached. A majority vote
by the Legislature is necessary for impeachment.
3. When the impeachment proceedings are initiated, the official charged shall be given seven
school days to prepare a defense, after which time a special session of the Legislature shall
be called by the President of the Student Government association and shall be presided
over by the Chairman of the Review Board. A two-thirds (23) vote is necessary to
remove any elected student official from office.
To require reports from all organizations receiving appropriations from the Legislature.
To approve all appointments to the Judiciary by the Executive council.
To approve biennially the constitution andor by-laws of all organizations recognized by the
Student Government Association Legislature.
To make all laws which shall be necessary and proper for carrying into execution the foregoing
powers, and all other powers vested by this Constitution.
Section 9.
The Legislature is empowered to override a presidential veto by a two-thirds (23) vote.
Section 10.
The Legislature shall enact no laws which do not afford equal protection to each student and all
recognized organizations thereof.
Section 11.
The Legislature shall enact no ex post facto law, nor shall it enact any law affecting any incumbent
except as directed by an established Judicial body.
Section 12.
The Chancellor of the University shall appoint advisors to the Legislature as he deems necessary.
Section 13.
The Chancellor of the University shall have the final veto power over legislative action.
ARTICLE IV. EXECUTIVE
Section 1.
Supreme executive power shall be vested in a President of the Student Government Association.
A. The President shall be elected by the qualified voters of the student body for a term not to
exceed one year.
B. No person except a full-time student at East Carolina University who has successfully com-
pleted 48 semester hours of work shall be eligible for the Office of President; neither shall any
person who has not been in attendance at East Carolina for at least two consecutive semesters,
is not in good standing, and does not maintain a 2.000 average.
C The President shall enjoy the following powers and duties:
I. To make recommendations to the Legislature.
2 To administer and enforce the laws enacted by the Legislature.
3. To veto acts of the Legislature provided that he shall exercise such power within ten
days of receiving the bill.
4. To call and preside at meetings of the student body.
5. To serve as ex-officio member of all executive committees.
6. To call emergency sessions of the Legislature provided the Speaker is notified at least 24
hours prior to the meeting.
7. To issue orders to executive committees and to require reports from them.
8. To be the chief representative of the student body in all matter, internal and external.
9. To appoint chairmen of all executive committees.
10. To establish such bodies subsidiary to him as he shall deem necessary and proper to aid
him in the performance of his duties.
II. To delegate the exercise of any of the above enumerated powers and duties, except the
veto power, the calling of emergency legislative sessions, and the power to appoint.
12. To perform all duties incident to such office.
Section 2.
There shall be a Vice-President of the Student Government Association to aid the President in the
performance of his duties. -





A. The Vice-President shall be elected in the manner prescribed for the President.
B. No person shall be qualified for the office of Vice-President who is not also qualified for the
office of President.
C. The Vice-President shall enjoy the following powers and duties:
1. To perform the duties and exercise the powers of the President in the event of the
President's absence or incapacity.
2. To succeed to the office of President should that office become vacant.
3. To perform all duties incident to such office.
Section 3.
Financial authority shall be vested in a Treasurer of the Student Government Assocation.
A. The Treasurer shall be elected in the manner prescribed for the President.
B. No person shall be qualified for the office of Treasurer who is not also qualified for the office
of President.
C. The Treasurer shall enjoy the following powers and duties:
1. To appoint the Financial Advisor to the Student Government Association and to consult
with himher on business matters of the Student Government Association.
2. To be directly responsible to the Legislature for all financial transactions.
3. To affix hisher signature to all requisitions isssued by the Student Fund Accounting
Office.
4. To confer with the Student Fund Accounting Office accountant each school day to transact
necessary business.
5. To advise the Legislature on all financial matters for their consideration.
6. To sign all valid requisitions for organizations sponsored by the Student Government
Association.
7. To keep an open record on all appropriation acts passed by the Legislature.
8. To perform all duties incident to such office.
Section 4.
There shall be a Secretary of the Student Government Association.
A. The Secretary shall be elected in the manner prescribed for the President.
No person except a full-time student at East Carolina University who has completed 16
semester hours of work shall be eligible for the office of Secretary; neither shall anyone who is
not in good standing at East Carolina University and does not maintain a 2.000 average.
The Secretary shall enjoy the following powers and duties:
1. To take minutes of all Legislature sessions and to keep such minutes in permanent form.
To handle official correspondence of the Legislature under the direction of the Speaker.
To make available to Legislators and Executive Officers copies of the minutes of all
Legislative sessions.
To perform all duties incident to such office.
B.
C.
2.
3.
Section 5.
The Executive Council, which shall consist of the Executive officers of the Student Government
Association and the five class Presidents, shall enjoy the following powers and duties:
A. To coordinate the action of its members.
To be responsible for employing and discharging full-time employees of the Student Govern-
ment Association.
To appoint, with the legislators' approval, all student members of all Judicial boards except the
residence hall councils.
B.
Section 6.
There shall be class officers, elected by their respective classses, to consist of a President and a Vice-
President for the Freshmen, Sophomore, Junior and Graduate classes, and a President, Vice-Presi-
dent, and Secretary-Treasurer for the Senior class.
A. No person except a full-time student at East Carolina University who is a member of the class
from which he is elected, is in good standing, and has a 2.000 average shall be eligible for class
office.
The Presidents of the several classes shall enjoy the following powers and duties-
1. To be a member of the Executive Council.
2. To be an ex-officio member of the Legislature.
3. To perform all other duties as delegated to him by the Legislature
The Vice-Presidents of the several classes shall enjoy the following powers and duties:
B.





1. To perform the duties and execute the powers of the class President in his absence or
incapacity.
2. To succeed to the office of President of the class should that office become vacant.
3. To perform all other duties as delegated by the Legislature.
D. The Senior Class Secretary-Treasurer shall enjoy the following powers and duties:
1. To handle all secretarial matters pertaining to the Senior Class.
2. To manage the financial affairs of the Senior Class.
3. To assist the Senior Class President in whatever way deemed necessary by him.
Section 7. Vacancy
A. There shall be the following order of succession to the office of President.
1. Should the office of President become vacant, the office shall devolve on the Vice-
President.
2. Should both the offices of President and Vice-President become vacant, the Treasurer, or
in his absence the Speaker of the Legislature, shall assume said office until a President
shall be elected.
B. Should any other executive office become vacant, there shall be an election to fill the vacancy
within three weeks of its occurrence.
Section 8.
The President, Vice-President, and Treasurer shall be required to attend summer school and assume
all duties for the operation of the Student Government Association during summer school. They shall
receive normal salaries during the summer, and as an addition, their tuition shall be paid by the
Student Government Association. Exceptions to this rule can only be made by the Review Board. Any
officer desiring an exception must file a formal request no later than 30 days before the end of Spring
Semester.
ARTICLE V. JUDICIAL
Section 1.
The supreme judicial power shall be vested in the Review Board.
Section 2.
The Review Board shall be the board of final appeal from all boards established under the authority
of this Constitution. It shall have the power to affirm, dismiss for violation of students' right, or refer
back for further deliberation, the decision of any lower board brought to it on appeal. The Review
Board shall also have the final authority to interpret this Constituion and the laws passed under its
authority.
Section 3.
The Review Board, sitting as a Board for the Redress of Grievances, shall have exclusive jurisdiction
over cases of a non-discriminatory nature where a student is being or would be harmed by any on-
campus student organization. The Board shall have such power as is necessary to redress grievances
brought to its attention.
Section 4.
There shall be such residence hall councils as shall be established for the maintenance of good order
in the residence hall, provided that the original jurisdiction of these boards does not extend beyond
one or a group of residence halls and that the decision of these boards may be appealed to a higher
board.
Section 5.
The following all-campus boards are hereby established. The Honor Board and the Academic Honor
Board. These boards shall have such powers, duties and original or appellate jurisdiction as the
Legislature shall from time to time grant to them, including the power to interpret the Constitution
and laws of the Student Government Association as it pertains to disciplinary matters.
Section 6.
The Legislature may establish such other all-campus boards as it deems necessary and proper for the
orderly administration of student justice.





Section 7.
Final appeal from the derision of the review Board shall be to the Chancellor of the University.
Section 8.
No person except a full-time student, faculty member, or administrative official at East Carolina
University shall be a member of any judicial board or council; neither shall any student be eligible
who is serving on the Legislature or the Executive Council, does not maintain a 2.000 average, or is
not in good standing at East Carolina University.
Section 9.
There shall be an Attorney-General who shall be the coordinator of the judicial system.
A. There shall be a selection committee composed of the Chairman of the Review Board and the
Honor Board, and incumbent Attorney-General, and two administrators appointed by the
Chancellor of the University, which shall select two names and submit them to the President of
the Student Government Association. He shall choose one of the people submitted to serve as
Attorney-General, subject to the approval of the Legislature The Attorney-General shall take
office by April 20.
B. The Attorney-General shall enjoy the following powers and duties:
1. He shall appoint and assist in the training of his staff, which shall be composed of men
and women.
2. He shall review all cases and complaints and shall determine the proper board to hear the
case
3. In all questions or constitutional interpretation and procedures, he shall issue advisory
opinions which shall stand unless questioned before the Review Board.
4. He shall be responsible for the publication of and compliance with guidelines, not
inconsisitent with this Constitution, for the operation of the judiciary.
ARTICLE VI. RECALL
Section 1.
The power to recall any elected offical shall be vested in the constituency of that official, which shall
be defined as that body of students who are qualified to vote for that official. Officials shall be
recalled in the following manner:
A. A petition to recall either the President, Vice-President, Secretary or Treasurer of the Student
Government Association must contain the signatures of at least 15 of the entire student body.
B. A Legislator may be recalled by a petition which contains the signatures of at least 15 of
those student eligible to vote in his constituency.
C. A class officer may be recalled by a petition containing the signatures of at least 15 of the
students in that class which elected him.
Section 2.
The petition to recall shall be handed to the Attorney-General, who shall have ten (10) school days to
determine the validity of said petition. If he declares the petition valid, the Student Government
Associaiton President shall direct the Elections Committee to hold an election, in which the incum-
bent may be a candidate. The incumbent shall remain in office pending the outcome of the election.
ARTICLE VII. INITIATIVE
The student body shall have the power to initiate any act within the power of the Legislature,
provided that 10 of the student body shall sign a petition calling for the consideration of a bill
which they shall submit in writing with the petition to the President. The President shall if he is
notified by the Attorney-General that the petition is in good order within the limitations of this
Constitution, provide that a referendum be conducted on the bill in not less than eleven (11) nor more
than sixteen (16) school days after he receives the petition on the bill. Public notices of such referen-
dum shall ne given not less than four (4) days before it shall take place. A majority of the votes cast at
the referendum shall be sufficient to pass the bill. This article shall not apply to constitutional
amendments and appropriation bills.





ARTICLE Vm. OATH OF OFFICE
Section 1.
All Student Government Association executive, judicial, and legislative members shall take the
following oath:
Lhereby pledge myself to uphold the Constitution of the
Student Government Association of East Carolina University, to promote the highest ideals
of honor, and to execute to the best of my ability the duties of my office"
Section 2.
Any member of any constitutionally established judicial body, who has previously taken the Oath,
shall be empowered to administer it.
ARTICLE DC AMENDMENT PROCEDURE
Section 1.
All the amendments to this Constitution must be proposed by one of the following methods:
A. By a vote of two-thirds (23) of the membership of the Legislature on three readings.
B. By a petition presented in writing to the President carrying the signature of 15 of the
membership of the student body.
Section 2.
All proposed amendments to this Constitution must be reviewed before voting by the Attorney-
General to insure consistency in both form and content.
Section 3.
All proposed amendments to this Constitution must be adequately publicized at least one week prior
to the date on which a vote is taken by the student body.
Section 4.
Proposed amendments to this Constitution shall be adopted by a two-thirds (23) vote of the
students voting on the amendment provided that at least 20 of the student body votes.
Section 5.
All changes to this Constitution shall be incorporated as chronologically enumerated Amendments
thereto.
Section 6.
Within 24 hours after the polls are closed, the President must sign the amendment into the
Constitution if it is ratified.
Section 7.
After complying with Sections 1-6, all amendments shall become effective immediately unless
otherwise specified.





By-Laws of the
Student Legislature
TITLE I. ORDER OF BUSINESS
Rulel.
Convening Hour ? The Legislature shall convene at the hour fixed by the preceding meeting. In the
event the Legislature adjourns the preceding meeting without having fixed an hour for convening,
the Legislature shall convene on the following Monday at five o'clock p.m. (5:00 p.m.)
Rule 2.
Opening the Session ? The Speaker shall, upon order being obtained, have the sessions of the Legisla-
ture opened with a moment of silence.
Rule 3.
Convening in Absence of Speaker ? In the absence of the Speaker the Chairperson of the Rules and
Judiciary Committee shall be Speaker pro tempore, and shall perform all duties of the Speaker until
such time as the Speaker may assume the Chair.
Rule 4.
Quorum ?
(a) A quorum consists of a majority of all the qualified members of the Student Legislature
(b) When a lesser number than a quorum convenes, the members may sit as a body politic but no
business can be concluded in the name of the Student Legislature.
RuleS.
Approval of Minutes - After the moment of silence, and upon the presence of a quorum, the Speaker
shall ask for additions or corrections to the printed minutes. Upon hearing objections and afteV
concluding additions and deletions, the Speaker shall approve the minutes without the necessity of a
vote of the Legislature. J
Rule 6.
Order of Business - After approval of the minutes, the order of business shall be as follows-
(a) Reports of the standing committees
Reports of select committees
Correspondence
Questions and Privileges
Introduction of Bills, Petitions, and Resolutions
Unfinished business of previous meetings
(G e'rReSOlutionS'Memorials- Messages, and other papers on the calendar in their numerical-
(h) Notices and Announcements
Rule 7.
Duties and Powers of the Speaker ? The Speaker shall have general dinvtinn nr?i a ? ? ,
T and shan bea u.honzed Jo .he suction as is neceso nT, tSSSS
Rule 8.
Substitution for the Speaker ? The Speaker shall have the right to call on th q, v
Perform the duties of the Chair, buHubstitution shall not 2 " "
8
(b)
(0
(d)
(e)
(0





Rule 9.
Limitation of Debate ? No member shall speak more than once in the affirmative on the main motion
until all other members who wish to speak have done so. Speeches shall be limited to no longer than
five minutes for the first speech (first affimative, and first negative debate), and two minutes for each
speech thereafter, unless allowed to lengthen time allotted by the affirmative vote of the majority of
the members who wish to speak have done so upon our amendment, or motion to commit or
postpone, and then not longer than ten minutes.
Rule 10.
General Decorum ?
(a) The Speaker shall preserve order and decorum.
(b) Decency of speech shall be observed and personal reflection carefully avoided.
TITLE 1L MOTIONS
Rule 11.
Motion Generally ?
(a) Every bill andor resolution submitted to the Legislature shall be reduced to writing in proper
form and on a proper motion sheet.
After a motion has been stated by the Speaker or read by the Speaker or Secretary, it shall
become the possession of the Legislature, but it may be withdrawn before a decision or
amendment, except in the case of a motion to reconsider, which motion, when made by a
member shall not be withdrawn without the leave of the Legislature.
No undebatable motion may be made by any person at the conclusion of his debate, but must
be made immediately after being recognized by the speaker.
(b)
(0
TITLE in. VOTING
Rule 12.
Determining Questions ? Unless otherwise provded by the Constitution of the Student Government
Association, all questions shall be determined by members present and voting.
Rule 13.
Voting by Absentees ? No member shall vote on arty questions when he was not present when the
question was put by the Speaker.
Rule 14.
Voting by the Speaker ? In all elections the Speaker may vote. In all other instances the speaker may
exercise the right to vote, or the speaker vote, or the speaker may reserve this right until there is a tie,
but in no instances may the speaker vote twice on the same question.
TITLE IV. COMMITTEES
Rule 15.
Committees Generally ?
(a) All committees shall be appointed by the Speaker, unless otherwise specifically ordered by the
Legislature.
(b) Any member may excuse himself from serving on any committee if they are a member of two
standing committees.
(c) The committee chairperson shall determine a quorum for the transaction of business.
(d) A majority of committee members shall be present for the quorum.
Rule 16.
Appointment of Standing Committees ?
(a) At the oommencemnt of the session the Speaker shall appoint the following standing commit-
tees:
(1) Rules and Judiciary
(2) Screening and Appointments
(3) Appropriations
(4) Student Welfare





Rule 17.
Standing Committee Meetings ?
(a) Standing committees and subcommittees of standing committees shall be furnished with
suitable meeting places, if desired, pursuant to the schedule with the Student Center Informa-
tion Office.
(b) The chairperson or other presiding officer shall have general direction of the meeting places of
the committee or subcommittee and in case of any disturbance or disorderly conduct therein,
or if the peace, good order, and proper conduct of Legislative business is hindered by any
individual or individuals, the chairman or presiding officer shall have the power to exclude
from the session any individual or individuals so hindering Legjslatuve business; or if
necessary to order the meeting places cleared of all persons not members of the committees or
subcommittee.
(c) Upon affirmative vote of a majority of the members of any standing committee or subcommit-
tee, executive sessions may be held, provided they are not in violation of the appropriate
North Carolina Statute.
(d) Procedure in the committee shall be governed by the rules which the committee determines
applicable for the committee.
TITLE V. HANDLING BUSINESS
Rule 18.
Reference to Committee ? Each bill, resolution, or other matters shall immediately upon its introduc-
tion be referred by the Speaker to such committee as he deems appropriate.
Rule 19.
Introduction of Bills and Resolutions ?
(a) Every bill shall be introduced in regular order of business, except upon permission of the
Speaker or on report of a committee.
(b) Any member introducing a bill or resolution shall briefly state in the title the substance of
same and the title shall not be amended.
Rule 20.
Papers Addressed to the Legislature ? Petitions, Memorials, and other papers addressed to the Legisla-
ture shall be presented by the Speaker, and a brief statement of the contents thereof may be verbally
made by the introducer before reference to a committee, but such papers shall not be debated or
decided on the day of their first being read, unless the Legislature shall direct otherwise.
Rule 21.
Introduction of BUls, Copies Required ?
(a) Prior to any resolution or bill introduction, a duplicate copy thereof shall be sent to the
Secretary where the bill is duplicated and shall cause the same to be available at all times to
any member of the Student Legislature.
(b) Numbering of Legislature Bills shall be designated as L. B.(No. following). A
resolution shall be designated as L. R.(No. following).
(c) Whenever a bill is introduced, it shall be in such form and have such copies a accompanying
same as designated by the Speaker, and any bill submitted without the required number of
copies shall be immediately returned to the introducer. The Secretary shall stamp the copies
with the number stamped upon the orignial bill.
Rule 22.
Duplication of Bills ? The Speaker shall so designate to the Secretary the number of duplications to be
made of an introduced bill. Prior to the convening hour, the Secretary shall have one copy put upon
the desk of each member and shall retain the other copies in their office. A sufficient number of
copies for the use of the committee to which the bill is referred shall be made available
Rule 23.
Report by Committee ? All bills and resolutions shall be reported from the committee to which
referred, with such recommendations as the committee may desire to make.
(a) Favorable Report: When a committee reports a bill with the recommendation that it be passed,
the bill shall be placed on the favorable calendar.
(b) Report without Prejudice: When a committee reports a bill without prejudice, the bill shall be
10





(c)
(d)
placed on the favorable calendar.
Unfavorable Reports: When a committee reports a bill with the recommendations that it not be
passed, and no minority report accompaines it, the bill shall be placed on the unfavorable
calendar. ,
Minority Reports: When a bill is reported by a committee with a recommendation that it notbe
passed, but it is accompanied by a minority report signed by a least one-fourth of the members
of the committee who were present and voting when the bill was considered m committee, the
question before Legislature shall be: The adoption of the Minority report" If the minority
report is adopted by a majority vote, the bill will be placed on the favorable calendar for
consideration. If the minority report fails adoption by the majority vote, the bill shall be placed
on the unfavorable calendar.
Rule 24
Removing Bill from Unfaoorable Calendar - A bill may be removed from the unfavorable calendar upon
motion carried by two-thirds vote. A motion to remove a bill from the unfavorable calendar is not
debatable, but the member may before making the motion, make a brief and concise statement not to
be more than three minutes in length of the reasons for the motion.
Rule 25. .
Reports on Appropriation Bills ? All committees, other than the Committee on Appropriations, when
favorably reporting any bill which carries an appropriations, shall indicate same in the report, and
the said bill shall also be referred to the Committee on Appropriations for a report before bemgjicted
upon by the Legislature. The report from the Committee on Appropriation shall indicate that there
are sufficient funds in the Treasury for the Appropriation.
Rule 26. t
Recall of Bill from Committee - When a bill has been inttroduced and referred to a committee and, if
after thirteen days, the committee has failed to report thereon, then the introducer of the bill or some
member designated by him, on motion supported by a vote of two-thirds (23) of the members
present and voting, recall the same from the committee to the floor of the Legislature for considera-
tion and such action thereon as a majority of the members present may direct.
Rule 27. ,
Calendar ? The Secretary shall keep a separate calendar of the bills and shall number them in the
order in which they are introduced, and all bills shall be disposed of in the order they stand upon the
calendar.
Rule 28. t .
Effects of Defeated BUI ? After a bill has been tabled or has failed to pass the second reading, the
contents of such bill or the principal provisions of its subject matter shall not be embodied in any
other measure. Upon the point of order being raised and sustained by the Chair, such measure shall
be laid upon the table, and shall not be taken therefrom except by a two-thirds (23) vote
Amendments and Riders ? No amendment or rider to a bill before the Legislature shall be in good
order unless such rider or amendment is germane to the bill under consideration.
Rule 30
Appropriation Guidldines - The following appropriations guidelines shall be strictly adhered to by the
Legislature, with the understanding that all student groups are educhonal:
(a) No group(s) which advocate violation of federal state or local laws shall be funded.
(b) No partisan, political or social action groups or activities shall be funded.
(c) No religious groups or activities shall be funded.
TITLE VI LEGISLATIVE OFFICERS AND EMPLOYEES
General Admittance to Room ? No person except members, officers and employees of the Student
Legislature and advisors shall be permitted on the floor of the Legislature during its meetings unless
permitted by the Speaker or provided by the Constitution of the Student Government Association,
but shall remain in the area designated for visitors by the Speaker.
11





Rule 32.
Extending Courtesies ?
(a) Courtesies of the floor shall only be extended by the Speaker.
(b) If there is any objection from any member of the Legislature to a non-member speaking, then
the non-legislator cannot speak unless by a majority vote of the Legislature.
TITLE Vn. GENERAL RULES
Rule 33.
Selection of the Secretary Pro-Tempore ?
(a) The Secretary shall have the power to appoint a Secretary Pro-Tempore, with the approval of
the majority of the Legislature. The Secretary Pro-Tempore shall be a member of the Legisla-
ture and shall be appointed no later than the second session of the newly elected Legislature.
The Secretary Pro-Tempore shall enjoy the follwoing powers and duties:
1. To perform the duties and exercise the powers of the office of Secretary, excluding those
powers of the Executive Council, in the event of the Secretary's absence or incapacity.
2. To perform those duties delegated by the Secretary.
Rule 34.
Attendance of Members ?
(a) No member or officer of the Legislature shall be absent from the service the Legislature without
leave, unless from sickness or disability.
Written excuses must be turned in to the Speaker or the Secretary prior to or within twenty-
four hours after a meeting of the Student Legislature.
Upon three (3) unexcused absences from regular scheduled meetings per semester the Speaker
may remove any member from the membership in the Legislature. In addition, any member
removed by the Speaker, shall also be suspended for one year from the date of suspension,
from holding any appointed or elected office in the Student Government Association.
The Speaker may also remove any member of the Legislature for: Four unexcused committee
meetings per semester; six unexcused early leaves (explanation); absenteeism from six Legisla-
ture meetings per semester or four consecutive legislature meetings.
The departure from any two Legislature meetings without "just reason" before these meetings
have been legally adjourned will be considered an infraction of the same magnitude as an
unexcused absence from any one of the Legislature meetings. Four unexcused early leave
equal two unexcused absences. The Speaker of the Legislature decides on "Just Reason
Rule 35.
Documents to be signed by the Speaker ? All acts, resolutions, correspondence and official copies of the
Legislature Minutes shall be signed by the Speaker or presiding officer in the Speaker's absence.
Rule 36.
Placement of Material on Members' Desks ?
(a) Persons other than member of the Legislature, officers or staff advisor thereof, shall not place
or casue to be placed any materials on members' desks without obtaining approval of the
Speaker. Any printed material so placed shall bear the name of the originator.
(b) There shall be no printing or reproducing papers that are not legislative in essence without
approval of the Speaker.
(b)
(0
(d)
(e)
Rule 37.
Procedure of the Rules ? The rules used by the Student Legislature of East Carolina University shall
take the following order:
(a) Constitution of the Student Government Association of East Carolina Univerity.
(b) By-Laws of the Student Government Legislature of East Carolina University.
(c) Roberts Rules of Order ? Latest edition.
12





Judicial Rules
and Procedures
CONTENTS
1. Principles and Policies Governing the Judicial System
2. Code of Conduct and Disciplinary Offenses for Students
3. Academic Integrity Violations
4. Offenses Against the Judiciary
5. Penalties
6. Remedies
7. Records
8. Notification
9. Compliance
10. Ejection
11. Administrative Procedures
12. Procedures for Judicial Records
13. Members of the Judiciary
14. Residence Life and Government
15. Open House Visitation Policy
16. Policies Regarding the Possession and Consumption of Alcoholic Beverages on the Campus of
East Carolina University
17. Current University Policy on Illicit Drugs
18. University Policy and Procedure Concerning Disruptive Conduct
19. East Carolina University Student Grievance Procedures For Grievances Involving Sex Dis-
crimination and Other Equal Opportunity Complaints
20. Registration of Student Organizations
TERMS AND DEFINITIONS
The following terms and definitions will be used for The Code of Conduct:
A. Student ? Any person officially enrolled in the academic courses at East Carolina University.
Instructor ? Any person employed by East Carolina University to teach one or more aca-
demic courses.
Test ? Any written or oral examination of a student by an instructor on material included in
the academic course taken by the student and taught by the instructor.
Suspension ? "Dismissal for a specified period of time
An Individual Offense ? Any violation of University rules, regulations, or a disciplinary
offense by a student.
A Group Action ? Any action by a number of students, participants in a University spon-
sored activity, or an official function of a University chartered organization.
B.
D.
E.
13





EAST CAROLINA UNIVERSITY
GREENVILLE. NORTH CAROLINA 27834
Dear Students:
The Student Judicial System at East Carolina University attempts to
provide a just and equitable process of educational discipline based on the
percepts of "The joint Statement on the Rights and Freedoms of Students It
establishes the essentials of procedural due process, and it creates a structure
of student and student-faculty judicial boards which deal with alleged rule
violations. In addition, the system is intended to be a part of the total
educative process of the University.
As the coordinator of the student judicial system, I encourage you to read
this handbook and familiarize yourself with the rules, regulations and
procedures. I am especially grateful to the Student Government Association
for paying for its publication.
Sincerely,
Ron Speier
Assistant Vice Chancellor
for Student Life





East Carolina University
Judicial System

Chancellor
Viced-incellor
For
Studerit Life
AssiLViceUniversityS.R A
ChancellorReviewAcademicHearingsAppeal Rnard
&DirectorBoardIntegrityBoard
Of StudentBoard
Services
?Res.Hall
UniversityBoard OfJudicial House
HonorInquiryCouncil
BoardBoard

15





JURISDICTION OF CAMPUS JUDICIAL BOARDS
Vice-Chancellor for Student Life ? All judicial findings are subject to review by the Vice-Chancellor
for Student Life. Final appeals from the Vice-Chancellor for Student Life shall go to the Chancellor.
Review Board ? The Review Board shall have original jurisdiction in all cases involving constitu-
tional questions in the interpretation and application of the S.G.A. Constitution. The Review Board
shall have appellate jurisdication in all other cases which originate before any board of the Judiciary
except the Academic Integrity Board.
Honor Board ? The Honor Board has orinigal juisdiction in cases of lying, stealing, and other
violations of the Code of Conduct and disciplinary offenses.
Academic Integrity Board ? The Academic Integrity Board shall have orignial jurisdiction over
academic violations of the Honor Code only if the faculty member elects to omit the primary inter-
view. The Academic Integrity Board shall have appellate jurisdiction in cases where the faculty
member elects to hear the case.
Board of Inquiry ? The Board of Inquiry, at the Vice-Chancellor of Student Life's request, has
orignial investigative jurisdiction in alleged cases of disruptive conduct.
Hearing's Board ?The Hearing's Board has original jurisdiction of all cases of disruptive and
disorderly behavior as referred to the Board by the Vice-Chancellor for Student Life, Board of
Inquiry, Assistant Vice-Chancellor for Student Life or other University officials.
Residence Hall House Council Board ? The Residence Hall House Council Boards have original
jurisdiction of violations of Residence Hall Rules and Regulations which occur around or in the
residnce halls. These Boards also have original jurisdiction over violations of rules and regulations
passed by the House council Boards. They have the authority to refer any violation to the Honor
Board for proper disposition.
Intramural-Recreational Services Advisory Council ? The Intramural-Recreational Service
Advisory Council has original jurisdiction of all cases of disruptive and disorderly behavior relating
to programs or services conducted under the auspices of the Department of Intramural-Recreational
Services. This Council also has the authority to refer any violation to the Honor Board or Hearing's
Board for proper disposition.
S.R.A. Appeal Board ? The S.R.A. Appeal Board has appellate jurisdiction on all appeals from
violations of Residence Hall rules and House Council Board action.
HONOR CODE
The heart of E.C.Us Judicial System is the Honor Code. This code states: You are on your honor not
to cheat, steal or lie.
DUE PROCESS AND CODE OF CONDUCT FOR ALL STUDENTS
East Carolina University recognizes the rights of all students, as responsible members of society and
as(citizens ofthe United States of America; the right to respect and consideration of the constitution-
ally guaranteed freedoms of speech, assembly and association; the rights of all students within the
institution to freedom of inquiry, and to the reasonable use of the services and facilties of the Univer-
sity which are intended for their eduction.
In the interest of maintaining order on the campus and guaranteeing the broadest ranee of freedom
to each member of the community, some rules have been established by the students and other
members of the University community, acting in concert. These rules limit some activities and
proscribe certain behavior which is harmful to the orderly operation of the institution and the pursuit
of its legitimate goals. All students are held to be informed of these rules which are printed in the
Student Government Association Documents Handbook and The East Carolinian issue
If any student is accused of a violation of any of these rules, heshe has the right to a speedy and fair
hearing before an appropriate hearing board. Appropriate due process safeguards havebeen built
16





into the procedures which govern each of these boards so that no permanent or recorded penalty
shall be meted out until the student accused shall have a fair chance to be heard. Appropriate appeals
are allowed from the decisions of these boards.
All judicial findings are subject to review by the Chancellor of East Carolina University and shall
have the final authority to sustain, change, or reverse any findings.
I. PRINCIPLES AND POLICIES GOVERNING THE JUDICIAL SYSTEM
A. Instructor and Classroom Control ? The instructor has the ultimate control over classroom
behavior and can dismiss from the classroom any student engaged in disruptive conduct. The
instructor should, in the event such action is necessary, immediately report the incident to the Head
of the Department or Dean of the School and the Assistant Vice Chancellor for Student Life. "Except
for the risk to the physical and emotional well-being of a student, faculty member or the University,
the status of the accused student will not change pending disciplinary action on the reported inci-
dent
B. Traffic and Parking Regulations ? The student is responsible for compliance with the rules and
regulations governing the registration and use of motor vehicles as printed in the Campus Traffic
Regulations. This booklet may be obtained from the Director of Public Safety. Students should
familiarize themselves with these regulations.
C. Solicitations ? Solicitation, selling, merchandising, posting, and or other distribution of posters
and or handbills or similar activities on University controlled property is prohibited. Exceptions
shall be approved by the Vice-Chancellor for Student Life, his designated representative, or the
committee on Canvassing and Soliciatation.
D. Use of Amplifying Equipment ? The use of amplifying equipment, including sound tracks, on
University property requires permission of the Vice-Chancellor for Student Life, or his designated
representative.
E. Distribution of Literature on Campus ? Distribution of commercial literature or leaflets by
organizations not chartered by the Student Government Association or by individual students, or
people not officially connected with the University is not permitted within the buildings located on
University controlled property without approval of the Vice-Chancellor for Student Life, or his
designated representative. Literature and materials for distribution on University controlled property
must not contain: writings which are libelous, obscene or in violation of Federal, State or local laws.
F. Identification Card ?The I.D. card is the property of the University. The card must be surren-
dered upon the request of any official of the University in the performance of hisher duty. Any
student who does not have a student I.D. in hisher possession will be treated as a non-student.
G. Security ? In order to provide necessary protection of student and University property, and to
enforce University rules and regulations, East Carolina University provides a special force of Univer-
sity police officers.
H. Check Cashing ? Students must be aware of the penalities involved in giving the University a
bad check. The Cashier's office, Student Bank, Cafeteria, and Student Supply Store, all charge a fee for
returned checks. Student should also recognize and realize that the University reserves the right of a
disciplinary hearing in repeated or flagrant incidents pertaining to returned checks.
I. Violations of the Law and Disciplinary Regulations. ? These rules should give you an adequate
picture of your position within the University community. However, you should also realize the
commission of act which violate laws as well as the rules and standards of the University may legally
result in steps against you by an appropriate court and by the University as well. (This is not a
violation of the legal prohibition against "double jeopardy) For example, students convicted of
possession or sale of drugs in a court of law (for on or off-campus violations) face the possibility of
suspension from the Univeristy as well as appropriate legal penalties.
The following paragraphs summarize some of the area in which the University rules and state laws
coincide and in which students may have to answer to both forums for their behavior.
Under North Carolina law, a student may be convicted of a criminal offense for instigating, aiding, or
17





participating in a riot or for entering a building for the purpose of destroying records or other
property.
To carry a concealed weapon or display firearms in public areas or areas adjacent thereto is prohib-
ited by state law.
Students should know that the sale, possession or transportation into this state of many typ? of
fireworks is a violation of state law.
North Carolina law prohibits mishcievous interference with a fire alarm box or misuse of fire
equipment. Any person who aids or causes the burning of a school building or other public property
may be convicted of the crime of arson.
The use of indecent language, harassment, or false statements over the telephone; the malicious
damage of utility equipment; or the intentional avoidance of payment of bills for telecommunications
services are all violations of a state law.
It is unlawful for any person to manufacture, possess, have under his control, sell, administer or
dispense any narcotic, stimulant, depressant, or hallucinogenic drug except as authorized by a
licensed physician.
II. CODE OF CONDUCT AND DISCIPLINARY OFFENSES FOR STUDENTS
Any student whose conduct, on or off campus, becomes unsatisfactory in the judgement of Univer-
sity officials in the light of the foregoing statements or policies will be subject to appropriate discipli-
nary action. Disciplinary action can be initiated by campus police, students, staff, faculty, or adminis-
trative personnel. No student will be permitted to graduate or officially withdraw from East Carolina
University while disciplinary action is pending against himher. Unwarranted charges shall not be
subject to disciplinary action.
A student shall refrain from:
A. Knowingly publishing or circulating false information which is damaging to any member of
the University community (slander, lying, or libel).
Using abusive, obscene, vulgar, loud, or disruptive language or conduct directed toward and
offensive to a member or a visitor to the University community.
Using any University or privately rented telephone in:
1. Avoiding the payment of tolls or long distance calls.
2. Using the telephone to make harassing, intimidating, nuisance or obscene phone calls.
Harassing, abusing, or threatening another by means other than the use or threatened use of
physical force.
Endangering, injuring, or threatening to injur the person or property of another.
Entering residence halls, buildings, classrooms, or other University properties, or student
properties (i.e. automobiles, lockers, or residences) without authorization.
Vandalizing, destroyig maliciously, damaging or misusing public or private properties
including library materials.
Stealing or attempting to steal, aiding or abeting, receiving stolen property, selling stolen
property, or embezzling the property of another person, the University, or associated units.
1. Book Selling ? When a student resells a book to an individual or the the Student Supply
Store, that student is held responsible if the book which is being resold is stolen property.
If, and when, a student buys a book from another student, it is the purchaser of seller's
responsibility to be able to identify the student involved. If the student buying the book
will not or cannot identify the seller, the student buying the book will be held responsible.
The student who sells the book to another student should always have his I.D. number in
the book.
2. In addition to penalties given by the Honor Board, a student convicted of stealing or
knowingly possessing stolen goods shall make immediate and complete restitution.
Disruptive and disorderly conduct as outlined in University Policy and Procedure concerning
disruptive and disorderly conduct.
Illegally manufacturing, selling, using, or possessing narcotics, barbituates, amphetamines,
marijuana, sedatives, tranquillizers, hallucinogens, andor other known drugs and or
chemicals. A student shall also refrain from buying, selling, possessing, or using any kind of
drug paraphernalia or counterfeit drugs.
Being intoxicated in public, displaying, or driving under the influence, or illegally possessing,
18
B.
C.
D.
E.
F.
H.
I.
I
I





or using alcoholic beverages or liquors. When a student is referred to the Judiciary office on an
alcohol related incident, that student is required to attend the Alcohol Workshop. This
Workshop is designed to increase awareness of the role alcohol played in the incident and
minimize the probability or recurrence. Within a two week period after completing the
Workshop the student will go for a follow-up individual session with a counselor.
L. To refuse to comply with any lawful order of a clearly identifiable University official acting in
the performance of his duties in the enforcement of University Policy. Residence staff members
are considered University officials when acting in an official capacity.
M. Failing to present hisher I.D. card when requested to do so by a University official.
N. Participating in hazing or harrassment of East Carolina students.
O. Gambling.
P. Forging, altering, de-frauding, or misusing documents, charge cards, or money, checks,
records, I.D. cardsactivity cards of an individual or the University.
Q. Furnishing false information to the Universtiy with intent to deceive.
R. Issuing bad checks to the University.
S. Violating academically the Honor Code, which consists of the following:
1. Cheating ? The actual giving or receiving of any unauthorized aid or assistance or the
giving or receiving of any unfair advantage on any form of academic work.
2. Plagiarism ? Copying the language, stucture, ideas, and or thoughts of another and
passing same as one's original work.
3. Falsification ? Statement of any untruth, either verbally or in writing, regarding any
circumstances relative to academic work.
4. Attempts ? Action towards the commission of any act which would constitute an
academic violation as herein (that is cheating, plagiarism, andor falsification) shall be
deemed to be a violation of the Honor Code and may be punishable to the same extent as
if the attempted act had been completed or consumated.
T. Possessing or using firearms, fireworks, explosive, or illegal weapon on University controlled
or owned property.
U. Withholding, with knowledge, information from the University.
V. Obstructing justice by hindering or impeding a duly authorized function of any judicial body,
council, or Board.
W. Violation of city ordinances, State or Federal laws.
X. Failing to repay, in full, any SGA loan within the allotted time period.

III. ACADEMIC INTEGRITY VIOLATIONS
A. Principle ? Academic Integrity is expected of every East Carolina University student.
Academic honor is the responsibility of the students and faculty of East Carolina University.
B. Academic Integrity Violations ? Academically violating the Honor Code consists of the
following:
1. Cheating ? Unauthorized aid or assistance or the giving or receiving of unfair advantage
on any form of academic work.
2. Plagiarism ?Copying the language, structure, ideas, andor thoughts of another and
adopting same as one's own original work.
3. Falsification ? Statement of any untruth, either spoken, or written, regarding any
circumstances relative to academic work.
4. Attempts ? Attempting any act which if completed would constitute an academic
integrity violation as defined herein.
C Student Observation of Suspected Violation ? A student or group of students knowing of
circumstances in which an academic violation of the Honor Code may have occurred or is
likely to occur is encouraged to bring this knowledge to the attention of the responsible
faculty member, or to the Dean or Department Chairperson or to the attention of the a member
of the University Academic Integrity Board.
D. Organization and Procedures
1. The faculty member has original jurisdiction in all suspected violations. In cases where the
faculty member believes a violation has occurred, the faculty member must summon the
student to a primary interview in accordance with the procedure below.
2. Primary Interview
a. Notification. A student who is believed to have violated academically the Honor
Code shall be informed of the charge by the faculty member who identified the
violation. Subsequently, the student will be called to an interview with the faculty
concerned. The interview shall be set within three class days after the alleged
19





violation has come to the attention of the faculty member.
b. Composition. The student and the faculty member may each have a non-participat-
ing observer at the interview. The faculty observer shall be the Chairperson of the
Department, or Dean, Associate Dean, or Assistant Dean of the College or School. The
student may select a student or faculty member as heshe desires. The observers) is
are to observe the procedures impartially and to be prepared to testify in the event of
an appeal from the judgement of the faculty member.
c. Procedure.
(1) At the interview, the faculty member shall present evidence in support of the
charge or charges against the student. The student shall be given the opportu-
nity to respond and present evidence to rebut the charge or charges.
(2) After hearing the student, the faculty member may either dismiss the charge or
find it supported on the basis of evidence. If supported, the faculty member
may record a failing grade in the course or some portion thereof or take other
appropriate action. HeShe shall report the action taken to the Associate Vice
Chancellor for Student Life.
d. Referral to Academic Integrity Board. After completion of the primary interview and
on the basis of the evidence presented, if the faculty member is of the opinion that a
failing grade in the course(s) is inadequate disciplinary action, the faculty member
may refer the entire case to the Academic Integrity Board for appropriate action. In
each case a new hearing will be conducted by the Academic Integrity Board without
regard to the findings made or any disciplinary action taken during the primary
interview.
e. Appeals.
(1) The student may appeal the decision of the primary interview to the Academic
Integrity Board if:
(a) The student believes the penalty too severe.
(b) The student contests the decision of the faculty member on the basis of the
evidence presented.
(2) The appeal must be submitted to the Office of the Associate Dean of Students
and Director of Student Services within five class days after notification of the
decision by the faculty member.
University Academic Integrity Board,
a. Composition.
(1)
Four faculty members and four alternates elected for three-year staggered
terms by the Faculty Senate.
Three students and four alternates nominated by the SGA Executive Council
and elected by the SGA Legislature. These students shall serve for a year and
may be reelected for one additional year.
A quorum shall consist of four faculty members and three students.
The Chariperson, elected for a one-year term, shall be a faculty member of the
Board, elected by members of the entire Board and may be reelected.
The Assistant Vice Chancellor for Student Life shall serve as administrative
officer of the Board.
Original Jurisdiction. The Academic Integrity Board shall have original jurisdiction
over academic violations of the Honor Code if the faculty member elects to refer the
case after the primary interview.
Appellate Jurisdiction. The Academic Integrity Board shall have appellate jurisdic-
tion in cases appealed by the student pursuant to the provisions of D.2.e, above,
d. Procedures.
(2)
(3)
(4)
(5)
b.
c.
(1) The Assistant Vice Chancellor for Student Life and Director of Student Services
on behalf of the Chairperson, shall notify the parties involved of a meeting of
the Academic Integrity Board within ten class days after an appeal by a
student. The faculty member, the student, witnesses, and the independent non-
participating observers), shall be provided not less than seven days notifica-
tion of the date, time, and the place of the meeting. If a grade for a student in
the course must be submitted, the faculty member shall record a grade of
incomplete, pending a decision by the Board.
(2) Those present at the hearing shall be:
(a) The student, who has the right to be accompanied by witnesses.
20





(b) The faculty member, who has the right to be accompanied by witnesses.
(c) Independent non-participating observers) if present at the primary
interview.
(d) Any other person called by the Chairperson.
(e) The Student Attorney General and the Student Public Defender.
(3) Should the student or the faculty member faul to appear without prior
approval of the administrative officer, the Academic Intergrity Board shall
proceed with an absentia hearing.
(4) The Academic Integrity Board will follow the hearing procedures established
for the University Honor Board.
(5) A majority of the Board shall decide the issue. The Chairperson shall vote only
in the case of a tie.
(6) The Assistant Vice Chancellor for Student Life and Director of Student Services
shall serve as administrative officer for maintaining accurate and complete
records of the proceedings.
(7) The administrative officer of the Academic Integrity Board shall, on behalf of
the Chairperson, notify each party of the decision of the Board.
Actions by the Board
(1) Evidence insufficient to sustain charge or charges. When this action is taken,
in order to protect both the student and the faculty member, continuation in
the class(es) and other related issues must be resolved by the Dean or Depart-
ment Chairperson in consultation with the student and the faculty member.
(2) Evidence sufficient to support the charge or charges.The Board may impose
one or more of the following sanctions:
(a) Sustain the decision of the faculty member; or recommend to the faculty
member that the student receive a failing grade for the course(s) or some
portion thereof.
Impose probation for a period of time not to exceed one year.
Impose suspension or dismissal from the University.
Require a period of counseling with a member of the University staff or a
counseling professional of the student's choice. It will be the responsibility
of the student to provide evidence to the Board of having fufilled this
requirement.
Take any other action commensurate with the findings.
(Reference: SGA Documents Handbook, Section IV Penalties.)
f. An appeal of a decision of the Academic Integrity Board may be submitted to the Vice
Chancellor for Student Life. The Vice Chancellor for Student Life and the Vice
Chancellor for Academic Affairs shall jointly review the decision and take appropri-
ate action.
g. Annual Reports. The Academic Integrity Board shall submit a summary report of its
proceedings to the Faculty Senate, the SGA Legislature, the Vice Chancellor for
Student Life and the Vice Chancellor for Academic Affairs.
(b)
(0
(d)
(e)
IV. OFFENSES AGAINST THE JUDICIARY
Any duly authorized member of a Judicial Board, including the Chairman, may bring the charge of
Contempt or Perjury before the Board. This charge may result from any of the following actions by a
student or students:
A. Contempt ? Students are forbidden to disobey or disrupt any judicial board proceedings, to
refuse to answer a judicial summons, to violate any mandamus or injunctive order received by
any judicial board, or to fail to honor a normal request of the Chairperson.
B. Perjury ? Any student who tells a deliberate falsehood during any judicial board hearing or
any administrative hearing of the Student Government Association shall be considered to have
perjured himself herself.
Trial by Absentia ? Any student who refuses to appear at any judicial preliminary, without just
cause, or who fails to appear at the regularly scheduled time of the hearing shall be tried in absentia.
The student in questions shall be sent a letter (parcel post), outlining the charges, rights of the
student, and date, time and place of the hearing. This constitutes procedural due process and if the
student refuses to appear, an absentia hearing shall take place.
Violation of Procedures ? Any student or recognized body of the Student Government Association
who shall violate a bill of the SGA Legislature not considered a disciplinary offense as defined in
number II, nor considered grounds for impeachment, shall be in violation of procedures. Procedural
21





violations shall not result in any disciplinary action by any judicial board, but may result in a
mandamus proceeding a violation of which is contempt.
V. Penalties
The following penalties may be imposed on all cases arising under the jurisdiction of the University
Judicial System. In some cases a student may be referred for conseling.
Section 1. (Individual Student)
A. Written reprimand,
B. Fine of not less than $10.00 nor more than $250.00 payable to the Judicial Service Fund, unless
the defendant and the assessor of the penalty agree that it shall be payable in whole or in part
by community service performed in a manner acceptable to the assessor of the penalty with
one hour of service equivalent to minimum wage.
C. Voluntary work under supervision, with an alternative penalty may also be assessed. The
maximum number of voluntary work hours which may be assigned is 75. Work assigned a
student by the Honor Board shall commence in one week, and shall be completed within 30-45
days of the penalty. The student shall get in touch with the Assistant Vice Chancellor for
Student Life for assignment.
D. Taking of Activity card for a specified period of time.
E. Probation ? an official notification to the student compelling himher to exhibit good conduct
during the probationary period. Any further violations during the probationary period will be
referred to the Assistant Vice Chancellor for Student Life and may result in a more serious
disciplinary action. Terms of probation shall be for a designated period of time not to exceed
one year.
In addition, probation may include:
1. In cases of misconduct in connection with University or facilities, the student may be
prohibited from further use of the facilities involved other than those used in hisher
couse of work or study.
2. In cases of misconduct in connection with University owned or operated housing, the
student may be ordered to vacate such housing.
F. Forced removal from University properties andor buildings, including residence halls and
or section thereof.
Suspension from the University for one semester.
Suspension from the University for one year.
Suspension from the University for an indefinite period of time with the right to petition the
Honor Board for readmission after one year.
Expulsion from the University.
Section 2. (Registered Organizations of Members of the ECU Community)
A. Written reprimand.
B. Fine of not less than $25.00 nor more than $500.00 payable to the University.
C. Restriction of privileges for a stated period of time not to exceed one year.
D. Suspension of privileges for a stated period of time not to exceed one year.
VL REMEDIES.
The following remedies may be imposed in all cases arising under the jurisdiction of the University
Judicial System
A. Restitution to the victim of the violation.
B. Order to the offender to perform or to cease and desist from stated actions.
VIL RECORDS.
Violations, penalties, and remedies shall be recorded in the Office of the Vice Chancellor for Student
Life andor Director of Public Safety in all cases arising under the University Judicial System. Copies
of such records shall be released to outside sources without written consent of the subject record.
Vm. NOTIFICATION
All notifications of violations, penalties, and remedies shall be sent as directed by the tatUUi board
to the University officials necessary to make the penalties and remedies effective and to other persons
who might provide counseling assistance to the offender. For purposes of residence credit the
appropriate University officials shall be notified of penalties involving suspension or dismissal, but
such notification shall not become a part of the permanent academic record of the offender.
G.
H.
1.
K.
22





DC. COMPLIANCE
For noncompliance with penalties or remedies, the offender shall be suspended until heshe has
complied.
X. EJECTION
For conduct adversely affecting public order, offenders may be ejected from the University campus or
property, or any part thereof, by the Chancellor for the University or his designated representative.
XI. ADMINISTRATIVE PROCEDURES
A. General Information ? Penalties by a judicial board become matters of record. Until the
affected student has been reinstated or until a particular penalty not longer applies, such
students shall be considered to be under probationary status. All disciplinary action becomes
effective upon the date of the board action unless otherwise specifically designated. Students
dismissed by a recommendation of the proper board follow the same withdrawal procedure as
other students. A student accused of academic dishonesty during the final examination period
shall be permitted to take all examinations that come prior to the completion of hisher final
examination heshe will be prevented from taking the remaining tests. Nor credit will be
issued for such courses. Any student who leaves or withdraws from the University and seeks
readmission while disciplinary action is pending must secure a clearance from the Office of the
Assistant Vice Chancellor for Student Life before being readmitted in good standing. In
addition to penalties given by the Honor Board, a student convicted of stealing or know-
ingly possessing stolen goods shall make immediate and complete restitution.
B. Sanction without Hearing ? When the Assistant Vice Chancellor for Student Life or Student
Attorney General, after investigation into an alleged violation of the Code of Conduct, believes
a student has committed a disciplinary offense, heshe shall counsel with such student and
may outline disciplinary punishment or treatment. If after so counseling with the Assitant Vice
Chancellor for Student Life or Student Attorney General, the student wishes to have a hearing,
the Assistant Vice Chancellor for Student Life shall forward the reports and evidence concern-
ing the alleged disciplinary violation to the Attorney General, who may be responsible for
appropriately administering the case through the Student Government Judiciary. From that
point on, the Assistant Vice Chancellor for Student Life is concerned with the keeping of
records and aiding the student to comply with the punishment decreed by the Board.
XII. PROCEDURES FOR JUDICIAL BOARDS
PRELIMINARY CONFERENCE
At this conference, which must take place at least 72 hours before the hearing, the Attorney General
or hisher agent shall inform the accused student of these facts:
A. The composition of the Board which shall hear hisher case;
B. The charge against himher;
C. Possible penalties involved;
D. HisHer right to an assigned counsel or a counsel of hisher own choosing from the students
under the jurisdiction of the board in which hisher case shall be heard.
E. HisHer right to mandatory summoning of material witnesses and procurement of evidence;
F. HisHer right to summon as many as two character witnesses and have a reasonable number
of statements attesting to hisher character in hisher behalf at the hearing;
G. HisHer right to a separate hearing upon request;
H. HisHer right to request a resonable postponement of hisher hearing;
I. HisHer right to face hisher accuser upon request; and
J. HisHer right to be presented with the court procedures, organization and any other pertinent
information.
RIGHTS OF THE ACCUSED
A. The presumption of innocence until guilt is proven.
B. The right to face the accuser (if requested).
C. The right of timely notice of hearing which shall be defined as not less than 72 hours prior to
the hearing.
D. The right to a defense counsel (student only, except for final appeal to the Chancellor).
E. The right to summon material witnesses and present documentary material evidence.
F. The right to summon as many as two character witnesses and to have read a reasonable
number of statements attesting to the defendant's character.
23





G. The right to be present in the hearing room at all times while testimony is being presented and
to cross-examine any witness.
H. The right to an objective and impartial hearing.
I. No student is required to testify against himselfherself (self-incirmination).
J. The right of appeal.
HEARING PROCEDURES FOR UNIVERSITY HONOR BOARD
A. The Chair calls session to order and reminds all persons involved in the hearing of the Honor
Code. HeShe questions respondent or respondents as follows: "Have you been advised of
your due process rights in regard to this hearing?"
B. If the answer is negative, the Chairman instructs the Attorney General to read the rights to the
respondent.
C After the Attorney General reads the rights, the Chairman again asks the respondent if heshe
understands hisher rights.
D. The Chair asks the accused if heshe challenged the objectivity of any member of the Board. If
so, the accused must state the reason(s). The Board will meet in executive session to consider
the challenge and determine whether or not the member should hear the case.
E. The Attorney General reads the charges and specifications to the charge(s) from the incident
report. Chairman asks the respondent's plea to each charge.
F. The Attorney General presents the facts and evidence which substantiate the charges.
G. Witnesses in support of the charges are presented. Both sides have, at this time, the right to
cross-examine any and all witnesses and to examine any and all documents before being
received in evidence. No member of the staff, faculty, or administration o( 't Carolina
University may be called as an expert witness.
H. The Public Defender presents the facts and evidence which support the accused.
I. Witnesses in support of the accused are presented. Both sides have, at this time, the right to
cross-examine any and all witnesses and to examine any and all documents before being
received in evidence. No member of the staff, faculty, or the administration of East Carolina
University may be called as an expert witness.
J. The Attorney General shall make a closing statement.
K. The Public Defender shall make a closing statement.
L. The Board will make its deliberations in closed session.
M. The Board will announce its decision and if appropriate, the specific action(s) taken.
REVIEW BOARD PROCEDURE
The following procedures will be followed by all persons appearing before the Review Board.
A. The Review Baord shall have original jurisdiction in all cases involving constitutional ques-
tions in the interpretation and application of the SGA Constitution. In such cases the Review
Board will follow the hearing procedures established for the University Honor Board.
The Reveiw Board shall have appellate jurisdiction in all other cases which originate before
any board of the SGA Judiciary except the Academic Integrity Board.
In all appeal cases, the respondent will be represented by student counsel of hisher choice.
The University will be represented by the Student Attorney General or a member of the staff.
In cases involving appeals of decisions made by the Honor Board, no written briefs will be
presented.
At the scheduled hearing each side will be allowed thirty minutes for oral argument. Oral
arguments will be limited to the issue set forth in the written briefs filed with the Review
Board.
No new evidence will be considered on appeal.
During oral arguments, board members may ask questions of the parties.
After each party has rested the case, and all relevant questions have been asked by board
members, deliberations will be made by the Board in closed session.
Actions by the Review Board:
B.
D.
E.
F.
G.
H.
I.
1. Affirm the findings and decision of the hearing board.
2. Amend the original decision.
3. Refer back for further deliberation ona specifically defined questions.
4. Order a new hearing.
5. Any case involving new evidence discovered subsequent to hearing below, the case will
be referred back for further consideration in the discretion of the Review Board.
6. Any case involving violation of a student's constitutional rights may be dismissed.
J. A record of proceedings will be kept for each Review Board case.
24





B.
In the appeal of all judicial cases involving a property right or action, a record of the proceedings will
be made and will be forwarded to the proper authority for appellate review. Appellate review in all
cases will be on the basis of and limited to the written record of the proceedings below.
JUDICIAL APPEALS PROCEDURE
A. A student found guilty of a violation may request an appeal for one of the following reasons:
1. Insufficient proof of guilt.
2. Violation of a sudden right.
3. Judicial action inappropriate for the circumstances of the violation.
Note: Requests for consideration based on new evidence are not grounds for action by an
appellate body, but should be directed to the judicial body or original jurisdiction. The
judicial body of original jurisdiction will re-open a case at the request of the accused only
if significant new evidence, not available for presentation at the original hearing is to be
presented. Whenever possible the same judicial membership shall serve when a case is re-
opened.
All appeals are to be submitted to the Assistant Vice Chancellor of Student Life's Office for
delivery to the Chairperson of the appropriate appellate body or person. An appeal must be
requested in writing within 48 hours after the judicial decision of the judicial body of original
jurisdiction has been announced to the accused. Subsequent appeals, which are permitted only
in cases resulting in a recommendation of suspension or dismissal, must be submitted to the
Assistant Vice Chancellor for Student Life's Office within 24 hours after an appellate body has
announced its decision to the accused. Time limits do not include weekends or University
holidays.
The specific reason(s) for the appeal and detailed explanation of the reason(s) must accompany
the initial request for appeal. If a subsequent appeal(s) is requested, the accused may request
action on any and all reasons listed in the initial appeal; however, new reasons will not be
considered after the initial appeal has been completed.
Appellate bodies may uphold, reduce, or dismiss charges, uphold or reverse verdicts, or
uphold, alter or dismiss judicial actions determined by a lower judicial or appellate body. If an
appellate body determines that a judicial action should be altered, it may reduce but not
increase the term of the judicial action or it may assign a more appropriate judicial action
providing the subsequent action does constitute a level of probation or separation from the
University which is more severe than that assigned by the judicial body of original jurisdiction
or lower appellate bodies.
If the appellate body determines that the rights of the accused have been violated it may
dismiss charges, remand the case to a new board of original jurisdiction for a new hearing or
not do anything to alter the original decision or sanction.
If an appeal hearing is granted the investigator, the accuser and the Chairpersons and repre-
sentatives of the judicial body of original jurisdiction and of appellate bodies which have acted
on the case will be notified of the reasons for appeal.
C.
D.
Xm. MEMBERS OF THE JUDICIARY
REVIEW BOARD AND HONOR BOARD
Members of these boards are screened and selected by the Executive Council and are approved by the
Legislature. Members of all Judicial Boards shall be appointed for one academic year. An academic
year runs from the first day of Fall semester classes until the end of the Spring examination period. A
Summer Honor Board and Review Board may be appointed, if necessary.
ACADEMIC INTEGRITY BOARD
The Chairperson, elected for a one-year term, shall be a faculty member of the Board, elected by
members of the entire Board and may be reelected. The students, nominated by the SGA Executive
Council and elected by the SGA Legislature, shall serve for an academic year and may be reelected
for one additional year. An academic year runs from the first day of Fall semester classes until the
end of the Spring examination period. A Summer Academic Integrity Board may be appointed, if
necessary.
ATTORNEY GENERAL
The Attorney General works in conjunction with the Assistant Vice Chancellor for Student Life on
matters relating to the judicial system. HeShe is to be completely free and objective in rendering
decisions and services with regards to the administration, faculty, and students. Those who seek this
25





position are screened by the Selection Committee composed of administrative, faculty, and student
representatives. Two names are then forwarded to the President of the SGA who, with the approval
of the Legislature, chooses one to be Attorney General.
The duties of the Attorney General include the following:
A. Involvement with violations of the disciplinary offenses, Code of Conduct and the Honor
code.
B. Coordination of the judicial system.
C. Safeguard of the procedural and substantive due process.
D. Rule on constitutional questions.
E When formal charges are filed, only the Attorney General has the authority to dismiss them.
F. When a judicial board is scheduled to meet and several members will be absent, the Attorney
General has the authority to appoint up to three members, from another judicial board.
G. The presider at the preliminary conference.
1. States hisher names and duties.
2. States the charges against the defendant.
3. Notifies the defendant of the date, time, and location of the hearing.
H. Performance at the hearing.
1. Reads to the board the charges against the defendant.
2. Presents to the board all relavant facts concerning the case.
3. Recommends to the chairperson that a particular case be tabled due to absence of a
witness, or any other unusual circumstances. The chairman may agree to table the case, or
may poll the board to a majority opinion.
PUBUC DEFENDER
For the purpose of insuring a completely fair and unbiased presentation of his case, the Assistant Vice
Chancellor for Student Life shall appoint Public Defenders to become well aquanted with he appro-
priate board procedures and to render conscientious service to the defendants at all times. Their job is
to be sincere in their beliefs and to insure the defendant a fair, impartial, and unbiased hearing. The
Assistant Vice Chancellor for Student Life reserves the right to replace any of the Public Defenders if
the majority of the board members so desire.
The duties of the Public Defender include the following:
A. Interview with the accused at preliminary conference.
1. State hisher name and duties.
2. Explain the charges and the procedures of the hearing.
3. Go over the rights of the accused as guaranteed in the student constitution and the
procedures of the court involved.
4. Assure the defendant that the Board is available to assist the defendant in any way
possible, remembering at all times each student's responsibility to the Honor Code
B. Duties at the hearing.
1. Make sure the defendant's side of the case is presented completely.
2. Make sure the student's constitutional rights are guaranteed in full
C Duties after the hearing.
1. Explain, if necessary, the disposition, the penalty, and the right to appeal to a higher
board.
2. If heshe so desires, go with the student to hisher conference with the Assistant Vice
Chancellor for Student Life the following morning.
JOINT JUDICIAL BOARD
The purpose of the Joint Judicial Board is to periodically review the state of the judiciary and recom-
mend changes to the Student Legislature. The Speaker of the Legislature shall refer all bills touching
on the judiciary to this Board for its recommendation unless such bills shall be needed in an emer-
gency and are certified as such by the President of the Student Government Association, the Attorney
General, the Assistant Vice Chancellor for Student Life, and the Associate Dean and Director,
Residence Life.
The membership of the Joint Judicial Board shall be as follows:
A. The Attorney General, ex offkio, as chairperson.
& Assistant Vice Chancellor for Student Life Director of Student Services.
C Assistant Vice Chancellor for Student Life Director of Residence Life, ex of ficio.
D. Two faculty members appointed by the Vice Chancellor for Student Life.
E Two student members appointed by the President of the Student Government Association.
F. Two student legislators appointed by the speaker.
26





Insofar as possible, it is recommended that in exercising their appointive power, the proper officials
attempt to provide equal male and female residence hall and day student representation.
Members of all judicial bodies shall be appointed for one academic year, except that member os the
Academic Integrity Board may be reelected.
XIV. RESIDENCE LIFE AND GOVERNMENT
East Carolina University accommodates over 5,000 students in its residence halls, and they usually
operate at or near maximum capacity. There are coed, male and female residence halls. These are
stimulating and pleasant places to live; however, its is imperitive in community living that all
residents be considerate of the rights and needs of each other.
Living in the residence halls is a privilege granted by the University. Once a student signs the
uniform housing contract the relationship between student and University becomes a contractu?!
one. Failure to adhere to the terms of the contract ca ? ' r-tion of the "????? ' "
University also reserves the right to 6 prioi iesi uig t.
acceptance of and compliance with the provisions ot the uniform housing contract.
There are also other factors mat all residents u.i th ir gue .
Carolina is the owner and landlord of residence halls, thereby maag uiem ?jett o aic i?i.v, v
there are certain helth and safety standards that must be maintained f? all housing and Hous
Council regulations have been carefully considered and have specific reasons behind them.
All residents are held responsible for the residence hall rules and should realize that as mature adults
they must respect these and not infringe on the rights of others. The following conditions are made
illegal by laws of the State of North Carolina and are applicable to the residence halls:
1. Possession, use, or sale of illicit drugs.
2. Theft, possession, or the receiving of stolen property.
3. Vandalism by defacing, damaging, altering or destroying State property.
4. Arson by willfully starting fires in or about the buildings.
5. Possession and or use of firearms.
6. Intoxication, displaying, or possession alcoholic beverage s in public areas.
7. Trespassing.
8. Gambling or conducting lotteries.
9. Willfully setting false fire alarms or tampering with the alirm system or extinguishing
equipment.
10. Physical or verbal abuse.
The above are representative, but in no way totally inclusive, of the State laws which apply to peop'e
living in the residence halls. However, residents are subject to all State statutes.
Regulations for the health and safety or the residents are:
1. Maintine safe electrical conditions by not overloading circuits with more than 1800 watts at a
time.
2. Keep no pets, other than fish
3. Keep the halls, stairs, and fire exits empty of any blocking items such as trunks, boxes, tables,
and bicycles.
4. Leave doors completely closed that have been officially locked for the night
5. Place trash and garbage in designated receptacles only.
6. Use proper procedure for entering and leaving the building.
7. Throwing anything out the window.
Violators of the above regulations will be subject to House Council Board judicial action, which mav
include referral to the Associate Dean of Students.
There are also other established regulations which are necessary for community living situations in
the residence halls. In order to provide an atmosphere that is conducive to rest or study at all times it
is necessary that residents show proper consideration for each other These include: (1) keep down
excessive noise due to loud stereos, skateboards, yelling, partying, or generally boisterous conduct.
(2) attend all mandatory hall or house meetings and responding to calls or messages because neces
sary information is being dispersed, (3) have overnight guest of the same sex only on Friday and
Saturday nights because residence halls are too crowded to accommodate guests on other nights, and
(4) show respect for and cooperation with other residents, the House Council Board, staff member,
and the Administration.
The individual House Council Board may establish regulations, with approval, which pertain onlv to
that residence hall.
The House Council Boards are composed of the elected officers and hall representatives. T e student
and professional staffs serve as advisors, but not voting member of the councils.
27





The House Council Boards are responsible for judicial matters, except visitation violations, regarding
hall living.
Penalties which may be imposed by the House Council Boards are (1) warnings, (2) reprimand, (3)
fine, (4) probation, (5) recommended removal from residence halls. Violations may also be referred
the the University Honor Board.
XV. OPEN HOUSE VISITATION POLICY
I. General
Subject to the following provisions and limitations, each Residence Hall may establish its own
regulations and policies pertaining to informal social activities and study dates in which members of
the opposite sex are entertained by residents.
A. The hours of visitation shall not exceed:
12:00 Noon to 1:00 A.M. Sunday through Thursday
12:00 Noon to 2:00 A.M. Friday and Saturday
B. Visitation hours in coed residence halls are the same as in others. However, residents of the
building do not have to be escorted during this time.
C. No student is allowed to have a guest of the opposite sex in hisher room over the objection of
the roommate. No male or female under the age of eighteen is allowed to participate in the
visitation program.
D. Escorted males may use any entrance or exit for women residence halls until 8:00 P.M. After
8:00 P.M. they must use the front door only.
E. Members of each residence hall ? cooperatively and individually ? must agree to conduct
themselves in a manner publicly defensible for members of the University community and
residents of University housing and to be responsible for assuming that such conduct prevails
in the residence halls.
F. This policy and any rules adopted by an individual residence hall shall be posted conspicu-
ously within the hall. Copies of all individual hall policies shall be furnished to the Depart-
ment of Residence Life.
This policy does not supersede other University policies.
Procedures
At the beginning of Fall semester or the summer term each residence hall will vote on its hours
for visitation within the guidelines. Also, the House Council Board will establish its own
regulations and policies.
A petition, signed by one-tenth of the members of a residence hall, shall at any time cause a
residence hall to call an official house meeting to reconsider the Open House policies.
If there are instances of violating by a section, flow, or entire residence hall the offending
parties may be penalized by suspension of visitation privileges for a period of time decided
upon by the Assistant Vice Chancellor and Director, Residence Life.
At any time, for due cause, the program in any residence hall, or any part thereof, may be
terminated by the Assistant Vice Chancellor and Director, Residence Life.
E. All unescorted males found in the women's residence halls are subject to Judicial action. This
does not include the lobby during the hours between 8:00 A.M. and 1:00 A.M.
G. Any male student found in the residence hall room of a female student or a female student
found in the room of a male student between the hours of 1:00 A.M. and 12:00 noon, will be
reported to the Assistant Vice Chancellor for a violation of the visitation policty.
H. Any non-student found in a residence hall room of a student of the opposite sex between the
hours of 1:00 A.M. and 12:00 noon will be banned from the residence halls of East Carolina
University. The student should be reported to the Assistant Vice Chancellor.
I. The penalty for a visitation violation will vary from a written reprimand, volunteer work, loss
of I.D. privilege, probation, fine, loss of privileges, or removal from Residence Hall. The
deciding factor in applying these penalties is the severity of the violation, and the degree of
involvement.
G.
II.
A.
B.
C
D.
XVI. POLICIES REGARDING THE POSSESSION AND THE CONSUMPTION OF
ALCOHOLIC BEVERAGES ON THE CAMPUS OF EAST CAROLINA UNIVER-
SITY
A. Introduction
The possession and consumption of alcoholic beverages on the University campus shall be
restricted to Residence Halls, Mendenhall Student Center and other sites specifically approved
by the Chancellor or his Designee.
B. University policies concerning the possession and consumption of alcoholic beverages do not
28





3.
4.
contravene Federal, State, or Municipal law regarding their purchase, possession, or con-
sumption.
1. The North Carolina Alcoholic Beverage Control Laws make it unlawful for any person
under twenty-one (21) years of age to purchase, possess, or consume; or for anyone to aid
or abet such a person in purchasing, possessing, and consuming any alcoholic beverage.
(General Statute 18B-300 &301)
2. Persons who are twenty-one (21) years of age or older may purchase, transport, and
consume alcoholic beverages. (General Statue WB-300 6-302)
It is unlawful for anyone to aid or abet a person under twenty-one (21) years of age in
purchasing, possessing, or consuming alcoholic beverages. (General Statute 12B-302)
Under no circumstances may any type of alcoholic beverages be sold by any person,
organization, or corporation on the campus of the University.(Generai Statute 18B-1006(a))
5. It is unlawful for any person to drink alcoholic beverages or to offer a drink to another
person, or persons, whether accepted or not, on any public road or street, parking lot,
sidewalk, or other publicly owned or leased place within the City of Greenville. (Greenville
Ordinance No. 812-1-2, General Statute 12B-301 & 302)
C. General policies regarding the possession and consumption of alcoholic beverages on the
campus of East Carolina University.
1. Only beer and unfortified wines shall be served. Consumption of beer and unfortified
wines at University approved functions is limited to persons 21 years of age or older with
proof of age required. There shall be an adequate "check" system at all events where
alcoholic beverages are served. Even though an organization has a check-in system at the
door, it is still necessary to have a system which allows the server to identify those who
may be served alcoholic beverages.
2. Alcoholic beverages may not be sold by any person, organization or corporation on the
University campus. All alcoholic beverages shall be purchased by the sponsoring organi-
zation. There shall be no "gimmicks" to collect any monies, before, during, or after the
social event, and student activity fees shall not be used for the purchase of alcoholic
beverages. Only alcoholic beverages served by the sponsoring organization will be
permitted at any type of activity except dinners sponsored by registered University
organizations. Indiviuals attending such dinners may bring unfortified wine.
(Mendenhall Student Center)
3. Permission for such functions shall be obtained in advance, and any policies regarding the
scheduling and use of public areas shall be adhered to.
4. Alcoholic beverages will be permitted only a functions sponsored by registered student
organizations, departmental, or shcool or college organizations, and admission to any
University sponsored event on campus where alcoholic is served is limited to members of
the University community and their bona fide guests.
5. The sponsoring organization shall assume all responsiblity for serving alcoholic bever-
ages, behavior, and housekeeping. Servers may be paid and shall not serve to anyone who
appears to be intoxicated.
6. Persons who are noticeably intoxicated will not be admitted to the functions or, if they
become intoxicated at the function, they will not be served and may be asked to leave.
7. Alcoholic beverages will be served only in the area(s) reserved. Food and non-alcoholic
drinks shall be available in suitable quantities.
8. Alcohol beverages will not be dispensed for a reasonable (15-20 minutes) time prior the
the end of the event.
9. A member of the faculty or staff acting as advisor to the organization, or his representa-
tive, will be present at all events where alcoholic beverages are served. Advisors are not
responsible for forcing compliance with the law unless they voluntarily assume such
responsibility. Damage, if any, must be reported to the appropriate authority for action.
D. Possession and consumption of alcoholic beverages in residence halls.
1. Approved social functions
a. Alcoholic beverages (beer and unfortified wines) will be allowed only at scheduled
functions sponsored by recognized campus organizations and only within the
confines of that function with regard to time and place of consumption. These
functions shall be held in designated areas, in and around the residence halls as
approved by the Assistant Vice Chancellor and Director of Residence Life and
Housing or her representative.
b. All requests to serve alcoholic beverages at a social function shall be forwarded to
the Assistant Vice Chancellor and Director of Residence Life and Housing or
representative three days before the scheduled event.





c.
d.
e.
g
h.
2.
a.
c.
The sponsoring organization shall assume ALL responsibility for serving alcoholic
beverages, behavior, and housekeeping. Failure to adhere to the above policy shall
result in appropriate disciplinary action andor a fine to pay for cleaning up the area.
Examples of unacceptable behavior are: intoxication, loud, vulgar, or obscene
language; and disorderly conduct.
All alcoholic beverages shall be purchased by the sponsoring organization. There
shall be no "gimmicks" to collect any monies, before, during, or after the social event.
Any sponsoring organization which allows behavior as described in letter c. is also
subject to disciplinary action by the appropriate judicial council, and or the admini-
stration.
At all social functions where alcoholic beverages are served, supervisory personnel,
as decided upon by the Assistant Vice Chancellor and Director of Residence Life and
Housing shall be present.
At all social functions where alcoholic beverages are served, non-alcoholic beverages
and food must also be served.
At all social functions where alcoholic beverages are served, only students of East
Carolina University, and their bona fide guests shall be admitted. There shall be an
adequate "check" system at all events where alcoholic beverages are served. Even
though an organization has a check-in system at the door, it is still necessary to have a
system which allows the server to identify those who may be served alcoholic
beverages.
i. All social functions will be held subject the the following:
(1) Not more than two per month at night on Mondays through Thursdays.
(2) Friday, Saturday, and Sunday nights during the month.
Residence Hall Rooms
For definition purposes the University defines a party as being more than six people
present, regardless of age.
Public display, profanity, obscenity, intoxication, and disorderly conduct are a few
examples of violations of the drinking policy.
All possession and consumption of alcoholic beverages by those twenty-one (21)
years of age or older shall be only in residence hall rooms where all the residents are
of the legal age for alcohol possession and consumption.
The resident(s) of the room are responsible for the behavior of the people in the room,
including the guests.
Kegs are not permitted in residence hall room.
Possession and consumption of alcoholic beverages in Mendenhall Student Center.
1. Only beer and unfortified wines may be served in Mendenhall Student Center
2. Alcoholic beverages will be allowed only at scheduled functions sponsored by registered
campus organizations and only within the confines of that function with regard to time
and place of consumption.
a. Only alcoholic beverages served by the sponsoring organization will be permitted at
any type of activity except dinners sponsored by registered University organizations.
Individuals attending such dinners may bring unfortified wine.
b. Sponsoring organizations are responsible to restrict the consumption of alcohol
beverages to persons twenty-one (21) years of age or older.
Permission for such functions must be obtained from the Assistant Vice Chancellor ?
Student Activities. Reo:c s for permission must be made at least one week in
- ? - -i during the regular office hours of the Assistant Vice Chancellor ?
Stude:tr Activities.
Reservations must be made with the University Central Reservations Office in
fendi 11 Stud ont Center atlrt one week in advance.
y tin alcoholic beverage, are sen ud at a function the sponsoring organizations
ill also provide non-alcoholic bevt rages and snacks or food
A ; Pi?n of ear and wine is restricted to the Multi-Purpose Room, Coffeehouse,
and Auditorium 44 Wine mav bo served m the Art Gallery on special occasions
aPro ' ' tht or No aoholic beverages may be consumed under any circum-
stance m any o'her areas on the Student Center. Alcoholic beverages may be used only as
acomplement to programs, never as the main feature (e.g. beer blasts are prohibited)
Officers of the spo. soring organization shall be responsible for the enforcement of all
University policies and regulations. Failure to comply with any of these policies and
regulations may result in a suspension of reservation privileges.
30
e.
c.
o.
Ill





a.
c.
The faculty advisor of a student organization or a Student Center staff member,
approved by the Student Center director, must be in attendance during any function
where alcoholic beverages are served in the Student Center.
It is implicit in these rules that the officers of the sponsoring organization insure
adequate safeguard for compliance with Federal, State, and Municipal ordinances
and laws and all rules of the University.
Drunkeness or disorderly conduct in any manner may subject the offender to
disciplinary action andor arrest by law enforcement personnel.
This policy guideline was recommended by the University Alcohol Drug Education
Committee and apporved by the Chancellor's staff, April 15,1980.
XVH. POLICY ON DRUG ABUSE
East Carolina University is dedicated to the pursuit and disemination of knowledge and, as such,
expects members of the academic community to behave in a manner conducive to that end. The
highest standards of personal and professional conduct must be maintained by faculty, staff, and
students. Illegal or abusive use of drugs by members of the University community adversely affects
the mission of the University and is prohibited.
Accordingly, the East Carolina University Board of Trustees adopts the following policy, consistent
with the UNC Board of Governors' Policy on Illegal Drugs. The policy is intended to accomplish the
following:
1. Prevent drug abuse through a strong educational effort;
2. Encourage and facilitate the use of counseling services and rehabilitation programs by those
members of the academic community who require their assistance in stopping drug abuse; and
3. Discipline appropriately those members of the academic community who engage in illegal
drug-related activities.
Education Efforts to Prevent Drug Abuse
In keeping with its primary mission of education, East Carolina Unversity will conduct a strong
educational program aimed at preventing drug abuse and illegal drug use. Educational efforts shall
be directed toward all members of the academic community and will include information about he
incompatibility of the use or sale of illegal drugs with the goals of East Carolina University; the health
hazards associated with illegal drug use; the incompatibility of drug abuse with the maximum
achievement of educational, career, and other personal goals; and the potential legal consequences of
involvement with drugs.
Counseling and Rehabilitation Service to Prevent Drug Abuse
Those faculty, staff, or students who seek assistance with a drug-related problem shall be provided
with information about drug counseling and rehabilitation services available through East Carolina
University and also through community organizations. Those who voluntarily avail themselves of
University services shall be assured that applicable standards of confidentiality will be observed.
Disciplinary Actions to Prevent Drug Abuse
Students, faculty members, administrators, and other employees are responsible, as citizens, for
knowing about and complying with the provisions of North Carolina law that makes it a crime to
possess, sell, deliver, or manufacture those drugs designated collectively as "controlled substances"
in Article 5 of Chapter 90 of the North Carolina General Statutes. Any member of the University
community who violates that law is subject both to prosecution and punishment by the civil authori-
ties and to disciplinary proceedings by the University.
It is not "double jeopardy" for both the civil authorities and the University to proceed against and
punish a person for the same specified conduct. The University will initiate its own disciplinary
proceedings against a student, faculty member, administrator, or other employee when the alleged
conduct is deemed to affect the interests of the University.
Penalties will be imposed by the University in accordance with procedural safeguards applicable to
disciplinary actions against students, faculty members, administrators, and other employees, as
required by Sections V and VI of Appendix D of the East Carolina University Faculty Manual, by
Board of Governors' policies applicable to other employees exempt from the State Personnel Act, the
East Carolina University Student Judicial System, and by regulations of the State Personnel Commis-
sion.
The penalties to be imposed by the University may range from written warnings with probationary
status to expulsions from enrollment and discharges from employment. However, the following
minimum penalties shall be imposed for the particular offenses described.
31





1. Trafficking in Illegal Drugs
a. For the illegal manufacture, sale, or deliver, or possession with intent to manufacture, sell
or deliver, of any controlled substance identified in Schedule I, N.C. General Statutes 90-
89, or Schedule II, N.C. General Statutes 90-90, (including, but not limited to, Herion,
mescaline, lysergic acid diethylamide, opium, cocain, amphetamine, methaqualone), any
student shall be expelled and any faculty member, administrator or other employee shall
be discharged.
b. For a first offense involving the illegal manufacture, sale or deliver, or possession with
intent to manufacture, sell or deliver, of any controlled substance identified in Schedules
III through VI, N.C. General Statutes 90-91 through 90-94, (including, but not limited to,
marijuana, penrobarbital, codeine) the minimum penalty shall be suspension from
enrollment or from employment for a period of at least one semester or its equivalent. For
a second offense, any student shall be expelled and any faculty member, administrator, or
other employee shall be discharged.
2. Illegal Possession of Drugs
a. For a first offense involving the illegal possession of any controlled substantce identified
in Schedule I, N.C. General Statutes 90-89, or Schedule II, N.C. General Statutes 90-90, the
minimum penalty shall be suspension from enrollment or from employment for a period
of at least one semester or its equivalent.
b. For a first offense involving the illegal possession of any controlled substance identified in
Schedules III through VI, N.C. General Statutes 90-91 through 90-94, the minimum
penalty shall be probation, for a period to be determined on a case-by-case basis. A person
on probation must agree to participate in a drug education and counseling program,
consent to regular drug testing, and accept such other conditions and restrictions, includ-
ing a program of community service, as the Chancellor or the Chancellor's designee
deems apropriate. Refusal or failure to abide by the terms of probation shall result in
suspension from enrollment or from employment for any unexpired balance of the
prescribed period of probation.
c. For second or other subsequent offenses involving the illegal possession of controlled
substances, progressively more severe penalties shall be imposed, including expulsion of
students and discharge of faculty members, administrators or other employees.
When a student, faculty member, administrator, or other employee has been charged by the Univer-
sity with a violation of policies concerning illegal drugs, he or she may be suspended from enroll-
ment employment before initiation or completion of regular disciplinary proceedings if, assuming the
truth of the charges, the Chancellor or, in the Chancellor's absence, the Chancellor's designee
concludes that the person's continued presence with the University community would constitute a
clear and immediate danger to the health or welfare of other members of the University community;
provided, that if such a suspension is imposed, an appropriate hearing of the charges against the
suspended person shall be held as promptly as possible thereafter.
State personnel policy provides that employees subject to the State Perssonel Act may not be suspended from
employment for punitive reasons for more than three days. Whenever this policy mandates "suspension" os an
employee subject to the State Personnel Act as a minimum penalty, that employee must instead be terminated
in accordance with the State personnel policy.
XVm. UNIVERSITY POLICY AND PROCEDURE CONCERNING DISRUPTIVE
CONDUCT
East Carolina University has long honored the right of free discussion and expression, peaceful
picketing and demonstrations, the right to petition and peaceable assembly. That these rights are a
part of the fabric of the institution is not questioned. They must remain secure. It is equally clear,
however, that in a community of learning willful disruption of the educational process, destruction of
property, and interference with the rights of other members of the community cannot be tolerated.
A. Definition of Disruptive Conduct ? Any student, who willfully, by the use of violence, force,
coercion, threat, intimidation or fear, obstruct, disrupts or attempts to obstruct or disrupt the
normal operations or functions of the University, or who advises, procures, or incites others to
do so, shall be subject to suspension or expulsion from the University. The folio wing, while
not intended to be exclusive, illustrate the offenses encompassed herein: occupation of any
University building or part thereof with intent to deprive others of its use; blocking the
entrance or exit of any University building or corridor or room therein; setting fire to or by any
32





B.
D.
G.
H.
other means substantially damaging any University permises; except as necessary for law
enforcement, any display of or attempt to threaten to use firearms, explosives or other weap-
ons for the purpose of the convening, continuation or orderly conduct of any University class
or activity or of any lawful meeting or assembly in any University building or on the campus;
inciting or organizing attempts to prevent attendance at class; and, except with the permission
of the Vice Chancellor for Student Life, blocking normal pedestrial or vehicular traffic on the
University campus.
Disorderly Conduct ? For the protection and convenience of all of the community, University
regulations prohibit disorderly conduct. Students participating in any unauthorized mass
demonstrations, or whose presence andor actions constitute or abet a general disturbance, or
who fail promptly to obey an order to disperse given to a group by any University authority or
by any duly constituted law enforcement officer, shall be subject to suspension or expulsion
from the University, pending a hearing before the University Hearing Board or University
Honor Board, the degree of involvement and seriousness of the offense shall determine the
appropriate hearing board. This determination shall be made by the Vice Chancellor for
Student Life, or his Assistant.
Responsibility of the Vice-Chancellor for Student Life ?
1. The Vice-Chancellor for Student Life and or his representatives, shall have a duty to
identify persons who violate the provisions of Section B. The Vice-Chancellor andor his
representatives, shall marshall the evidence, and the Vice Chancellor for Student Life shall
report it to the Chancellor in writing.
2. The Vice-Chancellor for Student Life andor his representatives may recommend to the
Chancellor that injunctive relief be sought from the courts to prevent reoccurrence,
continuance, or recurrence of a violation of Section B.
Responsibility of the Vice-Chancellor for Student Life ? When it appears that there is a
violation of Section B, it shall be the duty of the Vice-Chancellor for Student Life, and he is
fully authorized to act, to take all steps which he deems advisable to protect the best interest of
East Carolina University, and to see that its rules, regulations and policies are enforced. He
shall insure that any person or persons found guilty after a proper hearing shall be disciplined
in such a manner as may be warranted.
In carrying out these duties, the Vice-Chancellor for Student Life may call upon the Assistant
Vice Chancellor, any member of the Administration or member of the Faculty. Conviction in
any State or Federal court shall not preclude the University from exercising its disciplinary
authority in any offense under this or any other section of this policy if it is required by law to
do so, or if any of the three conditions described in the University policy on off-campus
conduct are present.
No Amnesty ? No administrative official, faculty member, student or employee of the
University shall have authority to grant amnesty or to make any promise as to prosecution or
non-prosecution in any court, state or federal, or before any student, faculty, administrative, or
Trustee committee to any student charged with or suspected of violating Section I of this
policy.
Delegation of Authority and Due Process ? It shall be the duty of th Vice-chancellor for
Student Life to exercise full authority in the regulation of student conduct and in the matters of
student discipline at the University. In the discharge of this duty, delegation of each authority
may be made by the Vice-Chancellor for Student Life to faculty committees and to administra-
tive or other officers of the institution, or to agencies of student government, in such manner
and to such extent as may be deemed necessary and expedient by the Vice-Chancellor for
Student Life; provided, that in the discharge of this duty it shall be the duty of the Vice-
Chancellor for Student Life to secure for every student the right of due process and fair
hearing, the presumption of innocence until found guilty, the right to know the evidence and
to face witnesses testifying against himher and to have counsel in hisher own defense as
may be allowable as approved by the Vice-Chancellor for Student Life.
Firearms and Other Weapons Prohibited ? The possession of bowie knives, dirks, daggers,
loaded canes, sword canes, machetes, pistols, rifles, repeating rifles, shotguns, pump guns and
other firearms or explosives upon the University campus, or in any University owned or
operated facility, unless explicitly permitted by the Vice-Chancellor for Student Life or his
designated representative in writing is forbidden. Violation of this prohibition constitutes
grounds for suspension from the University.
Chemicals Used for Disruptive Purposes ? The possession, threat to use or use of any
explosive, inflammatory or disabling chemical for disruptive purposes is expressly forbidden.
Violation of this prohibition constitutes grounds for suspension from the University.
33





PROCEDURES TO IMPLEMENT POLICY ON DISRUPTION
To implement the University policy of disruptive conduct, the following procedures shall be adhered
to:
A. The Vice-Chancellor for Student Life shall establish a Board of Inquiry consisting of not fewer
than three nor more than six member of the University community. To this board the Vice-
Chancellor for Student Life shall appoint at least one faculty member, one student, and if
available, one person with legal training. The appointments shall be made annually at the
opening of the academic year for a twelve month term. The Vice-Chancellor for Student Life
shall designate one member of the University Hearings Board to serve as its chairperson. No
member of the Board of Inquiry established under paragraph A, above, shall be appointed to
the University Hearings Board.
B. Vacancies on the Board of Inquiry and on the University Hearings Board shall be filled by
appointment of the Vice-Chancellor for Student Life.
C. In case of disruptived action, the Vice-Chancellor for Student Life shall determine whether
there is evidence sufficient to warrant charging any individual in the institution with violation
of the University policy on disruptive conduct as defined in Section I in the Policy on Disrup-
tive Conduct. In making this determination the Vice-Chancellor for Student Life may, at his
discretion, seek assistance from the Board of Inquiry constituted as provided in Paragraph A,
above.
D. If the Vice-Chancellor for Student Life seeks the assistance of the Board of Inquiry it shall be
convened by its chairperson at the request of the Vice-Chancellor for Student Life. When
convened, it shall be the duty of the Board:
1. To proceed without delay to investigate allegations of disruptive conduct;
2. To advise the Vice-Chancellor for Student Life in writing whether there is sufficient
evidence to warrant charging any person with violation of the University policy on
disruptive conduct.
E. Upon receiving the report from the Board of Inquiry, the Vice-Chancellor for Student Life shall
determine whether it appears that there has been a violation of the University policy on
disruptive conduct requiring disciplinary action. If it appears to the Vice-Chancellor for
Student Life that such a violation has occurred he shall direct the Associate Dean of Students
to proceed as follows:
1. To give notice by personal service or registered mail, return receipt requested, to each
person charged stating:
(a) The specific violations of the University policy on disruption with which the accused
person is charged, together with a summary of the facts on which the charge is based.
That at a designated time and place, the accused person will be given a hearing on the
charge by the University Hearings Board provided for in Paragraph B, above.
That the accused student shall be entitled to the presumption of innocence until
found guilty, the right to counsel, the right to present the testimony of witnesses and
other evidence, the right to examine all documents and demonstative evidence
adverse to himher and the right to transcript of the proceedings of the hearing.
2. To instruct the chairperson of the University Hearing Board to convene hisher committee
at the time and place specified in the notice prescribed in paragraph E-l which shall be no
earlier than seven nor later than ten days following receipt of the notice. At the same time,
the Vice-Chancellor for Student Life shall instruct the Assistant Vice Chancellor to submit
to the members of the board a written statement of the charges against the accused
student, or students, and a summary of the information on which the charges are based.
Following any judicial hearing in which suspension from school may be a probable sentence, the
judicial body conducting the hearing will reach a decision within 24 hours. This decision will be
relayed to the Assistant Vice Chancellor. HeShe will likewise consult the Vice-Chancellor for
Student Life concerning this decision. The person is question will be notified of the decision within 24
hours.
(b)
(c)
XIX EAST CAROLINA UNIVERSITY STUDENT GRIEVANCE PROCEDURES FOR
GRIEVANCES INVOLVING SEX DISCRIMINATION AND OTHER EQUAL OPPOR-
TUNITY COMPLAINTS
PREAMBLE
East Carolina University is committed to equality of education opportunity and does not discriminate
against applicants, students, or employees based on race, color, national origin, religion, sex, age, or
34





m
all
?d.
the
id
tee
no
ne,
lit
24
R
R-
late
r
handicap. Moreover, East Carolina University is open to people of all races and actively seeks to
promote racial integration by recruiting and enrolling a larger number of black students.
In accord with Sections 901 and 902 of Title IX of the Education Ammendments Act of 1972, as
implemented by Section 86.8 (a) (b) of the Regulations published by the U.S. Department of Health,
Educations and Welfare, the following procedures have been established to provide prompt and
equitable resolution of student and employee complaints involving sex discrimination.
A. INFORMAL GRIEVANCE PROCEDURE
1. Informal Grievance Procedure Prerequisite ? Most student grievances based on sex
discrimination as well as other above listed equal opportunity factors can and should be
resolved in an informal manner. Therefore, the student must seek resolution of hisher
grievance in accordance with the Informal Grievance Procedure in "2" as a prerequisite to
the jurisdiction of a hearing committee to hear the complaint as set forth in "B" below.
It is University policy that any student who requests or has need for the services of an
interpreter because of impaired hearing shall be provided the services of an interpreter for
all administrative proceedings, hearings, and conferences related to any grievances or
disciplinary actions.
2. Steps in Informal Grievance Procedure
(a) Discussion with Associate Dean of Students
(1) If any student alleges a grievance based on sex discrimination or any of the equal
opportunity factors shown in Preamble above, an immediate appointment
should be made with any Assistant Vice Chancellor. These officials are in offices
on the second floor of Whichard Building and the student may make an appoint-
ment with any one of the said Assistant Vice Chancellors of choice.
(2) At the time of making the appointment, the student should state expressly the
need to discuss a sex discrimination grievance or other equal opportunity
grievance.
(3) The Assistant Vice Chancellor will set an appointment date and discuss the
grievance with the student as soon as possible but in any event within three
school days after the request.
(4) The grievance should be discussed freely and in an informal and relaxed manner
with the Assistant Vice Chancellor. Witnesses or other individuals who may
assist in resolving the grievance should be consulted at the request of the student
or the Assistant Vice Chancellor.
(5) The student will be advised of the corrective action and or decision of the
Assistant Vice Chancellor as soon as possible but not later than three school days
subsequent to the date of the conference.
3. Appeal to the Associate Director of Equal Opportunity Programs (Title IX Compliance
Officer)
(a) If the grievance is not resolved to the satisfaction of the student by the Associate Dean
of Students, the student has the right to appeal to the Associate Director of Equal
Opportunity Programs, Room 214, Wright Annex. The appeal must be made to the
Associate Director within two working days subsequent to the decision of the
Assistant Vice Chancellor.
(b) The Associate Director of Equal Opportunity Programs will review the case in its
entirety, interviewing any and all witnesses deemed necessary, including where
deemed appropriate, a conference involving all parties with the grievance and prior
decisions made in an effort to resolve the grievance.
(c) The Associate Director will render his opinion within five working days after receipt
of the appeal. The decision of the Associate Director will be final and will terminate
the student's rights pursuant to the informal grievance procedure.
(d) If the decision andor corrective action taken by the Associate Director is not satisfac-
tory, the student has a right to request a formal hearing of the grievance by a Griev-
ance Committee in accordance with the procedure in B.
B. FORMAL GRIEVANCE PROCEDURE
1. The Hearing Committee ? A hearing committe composed of anyone from the Faculty,
Staff, or student body of the University will be appointed in each case involving allegation
of discrimination against the student on the basis of sex discrimination or other equal
opportunity factor. The compassion of the committee will be formed according to the
following diagram.
35





Grievant
Administration
Second
Member
COMMITTEE FINDINGS
The aggrieved student will select the first member of the committee. The Vice-Chancellor
for Student Life or other member of the Administration will select the second member.
However, any offical of the Administration against whom the allegations of discrimina-
tion have been made will not select the second member. The two members selected will
then agree upon the selection of a third member who will become the chair.
Steps in Formal Grievance Procedure
(a) Hearing Request From Student and Selection of First Committee Member
(1) The formal procedure required the request for a hearing by the student to be in
writing. The letter will set forth the nature of the grievance including the names
of individuals involved in the complaint. The letter will also nominate, by name,
the first member of the hearing committee.
(2) If necessary, the student may obtain the assistance of the Student Attorney
General in drafting the letter of request. The letter should be submitted to the
Vice-Chancellor for Student Life.
(b) Selection of Second Committee Member
(1) Upon receipt of the letter of request from the student, the Vice-Chancellor for
Student Life will take appropriate action to nominate a second member to the
committee.
(c) Selection of Third Committee Member
The first two members of the hearing committee wil mutually agree upon a third
member of the committee who will act as chair.
(d) Hearing
(1) The Committee thus formed should complete hearings of the grievance within
fifteen days after being formed where possible. Rarely should it be necessary to
extend this time. The request for an extension of time should be made to and
approved by the Vice-Chancellor for Student Life at his discretion.
(2) The Committee will comply with all the rules for a due process hearing set forth
eL vhere in the ECU Student Handbook.
(3) The Committee will maintain a complete record of the hearing by tape recording
or other method as deemed appropriate by the Committee.
(e) Committee Findings
(1) The Committee will summarize its factual findings, its conclusions and make
recommendations in writing as to its decision andor corrective action recom-
mended.
(2) The summary findings and recommendations will be forwarded to the Vice-
Chancellor for Student Life within three working days subsequent to the
conclusion of the hearing.
(f) Action By The Vice-Chancellor for Student Life
(1) The Vice-Chancellor for Student Life will act upon the recommendations and
findings of the Committee initiating any corrective action deemed appropriate to
resolve the grievance.
The entire record of the hearing and the action taken by the Committee wil be
retained on file for a period of one year subsequent to the hearing
(g) Appeal To The Chancellor
(2)
(1)
If the action taken by the Vice-Chancellor for Student Life is not satisfactory to
the student, heshe may appeal the case to the Chancellor within three school
days subsequent to the decision by the Vice-Chancellor in Section f. Action by the
Chancellor is final and will exhaust the administrative efforts of the student
36





XX. REGISTRATION OF STUDENT ORGANIZATIONS
All student organizations are expected to register with the Office of the Vice-Chancellor for Student
Life, 204, Whichard, in order to reserve and use University facilities for meetings and events and to be
listed m the Student Organization Directory. Such organizations must also have an up-to-date
constitution on file, and must comply with the provision of Title IX of the Educational Ammend-
ments Acts of 1972.
Student organizations which receive or wish to request funding from the Student Government
Association must be recognized and have their constitutions approved by the SGA.
GROUP CONDUCT OFFENSES
1. University societies, clubs, organizations and groups are subject to the same standards of
conduct, both on and off the campus, as are individuals in the academic community.
The commission of any of the offenses listed unter the Code of Conduct and Disciplinary
offenses for students by such groups or the knowing failure of any organized group to exercise
preventative measures relative to violation of the code by their members shall constitute a
group offense.
Revocation or restriction of charter, fine, probation, suspension, disciplinary probation or
lesser sanctions may result from the commission of a group conduct offense.
2.
g
37





Telephone (lll) 7S7 Mt, L
Aiiormv (Srnrral
Pul. DetcnJct
Honor Borird
Review Bonrd
Student QovcrHiHCMt Association
EAST CAROLINA UNIVERSITY
Grttnmlle, N C 27834
Dear Students,
In the past few years here at East Carolina, we have watched our
university grow in every aspect; an increase in student body, additional
buildings, new policies and new ideas.
With growth comes responsibility ? responsibility to ourselves, our
university and our community. Growth means more visability and more in-
terest in East Carolina. With it, we attract new and exciting students
and faculty. However, in order to continue to grow, it is up to us, the
students, to carry on and carry out the standards set by those before you.
While a student at East Carolina University, you are bound by an
honor code. This code states that "you are on your honor not to cheat,
steal or lie Failure to abide by this code not only impedes the uni-
versity's growth but tarnishes its reputation as well.
As Attorney General of East Carolina for the 1988-89 school year,
I am not only going to uphold existing standards but wish to improve upon
them as well. My goal, however, cannot be met alone. It is up to each
and every student to do their part. Set standards for yourself and live
up to them. Become involved in your school. Our campus offers a wide
variety of both social and academic groups. Take part in student govern-
ment. The Student Judicial System alone includes the Review Board, Honor
Board, Academic Integrity Board, Resident Hall Judicial Board, the Attorney
General staff, and the Public Defender staff.
East Carolina University's opportunities and your potential abound.
I encourage you to meet the standards you have set for yourself and let
us together live up to those of our university. Share in the growth.
Sincerely,
o.a?&iJ
Alice Harden
Student Government Association
Attorney General





'THE BEST PLACE'
ROSE'S STORES, INC.
APPLICATION FOR "V.I.C
CHECK CASHINGCOURTESY CARD
CONDITIONS OF CARD ISSUANCE AND USAGE
'THE BEST PRICE'
1. This application must be filled out completely (no blank spaces) and
presented in person to the Customer Service Desk at your local
Rose's Store.
2. Identification numbers and checking account numbers will be ver-
ified for accuracy by the store. If the application is approved, you
will be issued a permanent Rose's V.I.C. CARD which may be used
in any Rose's store. Allow four weeks for delivery. Card may be
picked up at the store.
3. A person must be 18 years of age, maintain a permanent local
residence, have a telephone, be presently employed, and furnish
two approved forms of identification. (Drivers license, credit card,
check guarantee card, Firearms license, military I.D.)
4. The pre-authorized check approval limit is the amount of purchase
plus $10 up to $100.00.
5. Checks over $100.00 will require management approval, which is
not assured in advance.
6. The card may only be used by the person whose name appears on
the front of the card.
7. Rose's cannot accept the following types of checks:
Counter checks
Two Party checks
Money Orders
Hand or typewriter written payroll checks
Checks made out to cash
Post dated checks
8. The V.I.C. CARD remains the property of Roses and expires at four
year intervals at which time a new application must be submitted for
re-issuance. Roses reserves the right to cancel any card at anytime
for any reason without notice.
Expiration Date:
PLEASE PRINT
File :
(Office Use Only)
(Office Use Only)
NAME
ADDRESS.
Last
First
Middle
(Street and Number)
HOME PHONE
BUS. PHONE:j
MALE
(City)
(State)
(Zip Code)
IF JOINT ACCOUNT, DO YOU NEED
A CARD FOR YOUR SPOUSE? YES) NO.
()
)?
MARRIED.
()or FEMALE.
()orSINCLE
A)
RENT()orOWN(") YOUR ACE.
NO. OF CHILDREN LIVINC HOME
SPOUSE'S FIRST NAME
YOUR EMPLOYER.
ADDRESS
(Company Name)
(City)
(State)
(Zip)
JOB TITLE
SPOUSE EMPLOYER.
ADDRESS
(Company Name)
(City)
(State)
JOB TITLE.
YOUR BANK.
ADDRESS
.CHECKING ACCOUNT .
(Name)
DRIVERS LICENSE .
CREDIT CARDS.
.STATE.
.HOW LONG?.
EXP
Type (Visa, Mastercard, etc.)
Expiration Date
Account Number
(Zip)
.YEARS
Type (Visa, Mastercard, etc.)
OTHER
Type I.D.
Expiration Date
Expiration Date
Account Number
I.D. Number
The information given is true and complete. Roses has my permission to verify any of the above information. I hereby authorize
any agency to furnish Roses with all information requested. I also accept the terms and conditions of Roses agreement as
outlined above.
Store .
.Date.
Approved By.
(Applicants Signature)
(Office Use Only)
(Spouse's Signature: If card needed)
MUST BE JOINT ACCOUNT
(Date)
(Date)





53
STORES, INC.
P.O. DRAWER 947 HENDERSON, N.C. 27536
EXECUTIVE & BUYING OFFICE
TELEPHONE 919492-?111
ACCOUNTING OFFICE & WAREHOUSE
TELEPHONE 919-438-3125
Dear Student,
We at Roses would like to welcome you to our area. During your years
at college we want to serve your needs and make your stay at college a
pleasant experience.
At Roses we have a special student check cashing procedure that makes
check cashing easy. You can write checks for more than your purchase if you
need extra cash. Simply fill in the V.I.C. application on the reverse side of
this letter and bring to Roses with your College ID. We will issue you a check
cashing card that can be used in any Roses store and will enable you to write
checks in excess of your purchase for extra needed cash. V.I.C. means "Very
Important Customer" and that is what you are to us.
Our store is stocked with a large selection of goods at very competitive
prices. If you have any questions, come by our store and ask for me.
Sincerely,
Store Manager





Title
The East Carolinian, August 23, 1988
Description
East Carolina's student-run campus newspaper was first published in 1923 as the East Carolina Teachers College News (1923-1925). It has been re-named as The Teco Echo (1925, 1926-1952), East Carolinian (1952-1969), Fountainhead (1969-1979), and The East Carolinian (1969, 1979-present). It includes local, state, national, and international stories with a focus on campus events.
Date
August 23, 1988
Original Format
newspapers
Extent
Local Identifier
UA50.05.06.02.618
Subject(s)
Spatial
Location of Original
University Archives
Rights
This item has been made available for use in research, teaching, and private study. Researchers are responsible for using these materials in accordance with Title 17 of the United States Code and any other applicable statutes. If you are the creator or copyright holder of this item and would like it removed, please contact us at als_digitalcollections@ecu.edu.
http://rightsstatements.org/vocab/InC-EDU/1.0/
Permalink
https://digital.lib.ecu.edu/58086
Preferred Citation
Cite this item

Related Search Results

Content Notice

Public access is provided to these resources to preserve the historical record. The content represents the opinions and actions of their creators and the culture in which they were produced. Therefore, some materials may contain language and imagery that is outdated, offensive and/or harmful. The content does not reflect the opinions, values, or beliefs of ECU Libraries.

Contact Digital Collections

If you know something about this item or would like to request additional information, click here.


Comment on This Item

Complete the fields below to post a public comment about the material featured on this page. The email address you submit will not be displayed and would only be used to contact you with additional comments or questions.


*
*
*
Comment Policy